登录社区云,与社区用户共同成长
邀请您加入社区
底层GPU图形管线:例如顶点着色器、光栅化、像素着色器;上层引擎渲染管线:例如URP、HDRP、UE Deferred Renderer可以将渲染管线理解为:把场景里的模型、材质、灯光、相机、特效,经过CPU、GPU处理,最终变成屏幕上一张图像的全过程。
在UE5开发中,我们经常需要在地面上放置道路标志线又或者魔法阵、裂缝、血迹等图案。如果直接放一个半透明的面片,遇到高低不平的地形必然会穿模。虽然官方推荐使用,但在某些需要复杂顶点动画、粒子特效绑定或特殊Mesh拓扑的场景下,我们。今天就来分享一下,如何纯靠材质节点让一个普通的半透明面片像投影仪一样,完美“印”在模型表面。
本文介绍基于Vue3和Three.js构建现代化3D模型编辑器的架构设计。系统采用分层架构,核心层通过SceneManager类管理3D场景、相机和渲染器,UI层使用Vue3组件实现交互界面。技术选型上,Three.js提供稳定3D渲染能力,Vue3组合式API简化复杂交互开发,TypeScript确保类型安全。文章详细解析了SceneManager的核心实现,包括类型定义、类结构和初始化流程,为
本文探讨了AI技术在CAD领域的进化历程,从最初的线性链式结构(LangChain)到黑盒代理(AgentExecutor),再到模块化表达式(LCEL),最终提出借鉴CAD特征树的图结构(LangGraph)作为更优解决方案。文章通过工业场景案例,揭示了传统AI架构在处理分支、循环和状态管理时的局限性,并展示了如何将CAD领域成熟的"节点-边-状态"图模型应用于AI系统设计,
水面表现是一个技术美术中一个常见的课题,在本篇文章中我参考了在2014年创作的Seascape,并以此代码为基础,翻译成ShaderLab语言,并分析其中每个函数的作用和必要性。ShaderLab代码:https://pan.baidu.com/s/1wuerhUVqQg8amo6a0rk2Ug?pwd=9527。
在数字化浪潮席卷全球的当下,视联网(Visual Internet)已不再是简单的视频传输工具,而是演变为融合5G、人工智能、云计算及边缘计算的下一代数字基础设施。作为信息技术领域的重要组成部分,视联网已成为深入政府治理和行业应用的新生产要素,也是促进数字经济生活、生产全面升级的新型信息服务基础设施。核心洞察:行业质变:视联网正处于从"视频监控能力"向"产业数字基座"跃迁的关键期,其核心价值在于连
Three.js则是建立在WebGL之上的高级库,它封装了WebGL的底层细节,提供了一套更易用的API,使得开发者可以更高效地创建3D图形。换句话说,Three.js是WebGL的一个抽象层,简化了WebGL的开发流程,同时保留了WebGL的强大功能和性能优势。通过理解Three.js的定义、特点、应用场景以及与WebGL的关系,开发者可以更好地把握Three.js的核心价值,从而在实际项目中更
展示了在OpenGL中如何进行单双字节字符混合渲染,并介绍了如何实现string单双字节混合字符串逐字分割、多纹理同时渲染及渲染时保持比例等。
电影色彩分级 Premiere Pro、Premiere Pro 教程、电影 luts、电影、adobe Premiere Pro、电影外观 Premiere Pro、免费电影 lut 包 Premiere Pro、premiere pro luts、电影外观,adobe Premiere Pro 教程,色彩校正 Premiere Pro,免费电影 luts,电影 lut,Premiere Pro
10个奈飞NETFLIX电影调色预设LUTS网盘下载地址适用于DaVinci Resolve, Premiere, Filmora剪映,电影效果刚刚的,欢迎下载!有人说这是澡堂子滤镜,实际上10个LUT各有特点,主要凸显电影的质感,对你拍的小电影有加持作用。
代码案例预览:https://z2586300277.github.io/three-editor/dist/#/codeMirror?
网上做草地渲染的方,有很多 有些用几何着色器进行优化,有些用gpu instance进行优化于是就萌生了这样的想法:能不能把这两个方案结合起来呢,于是有了下面的方案。
本文探讨了CAD开发者从OpenGL固定管线到现代GPU着色器管线的技术演进历程。文章以"拉丝金属"质感需求为切入点,揭示了固定管线时代(OpenGL 1.0)的局限性:开发者只能通过状态开关控制预设功能,无法实现自定义光照效果。随着硬件发展,现代GPU允许开发者编写顶点/片段着色器,实现法线贴图、边缘光等高级效果。作者通过项目实践,分享了从"傻瓜相机"式的
摘要:本文介绍了实现动态星空效果的着色器技术。通过顶点着色器转换坐标,片元着色器完成星图绘制,包含随机点生成、智能连线、辉光渐变等特性。采用分层渲染实现远近效果,远处星星数量更多且渐入渐出。通过噪声函数和利萨如曲线控制粒子运动,使用线段光绘函数创建发光连接线。系统支持鼠标交互,颜色随时间循环变化,并添加径向模糊和呼吸效果。关键技术包括动态粒子位置计算、距离衰减光照模型和时间驱动的动画控制,最终呈现
GPU着色器进化史:从固定管线到可编程渲染 本文梳理了GPU着色器技术的发展历程,揭示了从早期固定功能管线到现代可编程着色器的关键变革。文章通过CAD软件渲染问题的案例切入,对比了两种技术路线的本质差异: 固定管线时代(V1.0) 功能固化,开发者只能调整预设参数 顶点变换和像素处理由硬件固定算法完成 存在严重表现力局限,无法实现复杂材质效果 可编程着色器革命(V2.0) 开发者获得对渲染流程的完
在图形渲染中,X射线或激光扫描效果常用于突出显示特定物体的轮廓或边缘。通过调整光线与表面的夹角,可以产生类似于医学X射线或科幻风格的扫描效果。本文将介绍如何使用Unity Shader编写实现X射线或激光扫描效果的Shader。X射线或激光扫描效果是一种通过计算光线与物体表面的夹角来产生特殊视觉效果的渲染技术。当光线与表面垂直或接近垂直时,表面会呈现出更亮的效果,而当光线与表面较平行时,则会呈现出
预览:https://z2586300277.github.io/three-cesium-examples/#/codeMirror?开源地址:https://z2586300277.github.io/three-cesium-examples/#/example。
纹理采样是一种常用的图形学技术,它可以让我们在渲染物体表面时,使用一张图片来提供颜色信息,从而增强物体的细节和真实感 纹理采样,就是通过 uv 获取贴图对应位置的颜色。uv 是一种二维坐标系,它的取值范围是 [0,1],表示了贴图上的相对位置。例如,uv 值是 (0.5,0.5),此时采样到的就是贴图中心点的颜色值。
Z源逆变器,简单升压SPWM,三次谐波升压SPWM,最大升压SPWM,SVPWM的仿真模型,可用于学习研究。在电力电子领域,Z 源逆变器因其独特的结构和性能优势,越来越受到关注。今天咱就来唠唠 Z 源逆变器中几种常见的 SPWM 仿真模型,包括简单升压 SPWM、三次谐波升压 SPWM、最大升压 SPWM 以及 SVPWM,这些模型对于学习和研究 Z 源逆变器可是相当有用。
之前的文章中介绍了距离场,在开始整活之前还需要了解如何混合距离场。这篇文章中介绍如何平滑的混合两个以上的距离场。没错,根本没有所谓之前的文章,这堆文章现在还没写,我假装写了因为介绍距离场的文章挺多的,所有还在考虑是否有必要浪费网络资源。
在计算机图形学中,遮罩纹理是一种常用的技术,用于控制物体表面的某些属性或效果。通过使用遮罩纹理,可以实现诸如高光强度、反射率等在物体表面不同区域之间的差异化。在本篇博客中,我们将介绍如何使用Shader实现遮罩纹理效果。遮罩纹理的工作原理基于纹理映射的概念。在渲染过程中,每个像素的颜色都是由纹理采样和一系列计算操作得到的。而遮罩纹理作为额外的输入,会在片段着色器中被采样并应用到计算过程中。通常情况
昨天,Chaos 发布了V-Ray 6 for 3ds Max ,这是渲染器产品系列的下一个主要版本,也是整个 V-Ray 产品系列的下一代更新的第一个免费公共测试版。
()然而并没有效果,翻了半天网页也没查到结果,最后着色器生成的代码中找到了突破口。
在创建图片源的时候:1 加载图片 图片数据存储在:image->texture_data =gs_create_texture_file_data3(file, alpha_mode, &image->format, &image->cx, &image->cy, space);创建一个texture,使用image->texture_data 填充数据在gs_texture_2d中,最终调用到将
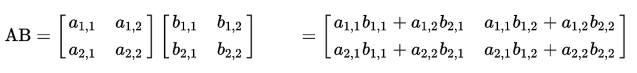
因此,如果我们想从一个着色器向另一个着色器传递数据,就需要在发送数据的着色器中声明一个输出变量,并在接收数据的着色器中声明一个类似的输入变量。在使用OpenGL中的uniform变量(例如:传递变换矩阵、灯光参数、材质等)时,必须先通过这个函数获取它在着色器程序中的“位置”,然后通过对应的glUniform*函数来进行赋值。所谓“全局”,意味着每个着色器程序对象中的uniform变量是唯一的,并且
记录本人在第一个UntiyChan项目后摸索学习的一个月的复杂过程跟随里面的细分草地进行学习首先要生成草地,直接点就是建模型,但这样的代价太大无论是人力还是算力很多时候都不值得。如果把草抽象一下,起始我们只需要一堆很窄的三角就可以了,把他们放在一起就差不多了。而这个功能几何着色器刚好可以胜任。
开发一款优秀的弹幕手游,本质上是在有限的移动算力与无限的弹幕美学之间寻找最优解。它要求开发者既要掌握DOTS、GPU Instancing等底层性能技术,又要理解弹幕模式设计、节奏控制等上层游戏体验,更要有将两者融合为工业化管线的工程能力。从ECS管理数万子弹,到GPU动画驱动数百敌人,再到WebSocket连接万千观众——每一个环节都是对"弹幕艺术"的技术诠释。以上提示词,希望能为你构建属于自己
维度传统互联网 (传输视频)视联网 (概念核心)核心任务传输数据包理解视频内容对视频的态度视频是其中的一种数据视频是整个网络的核心和目的智能程度依赖终端应用进行识别网络本身就具备内生智能(云边端协同算力)网络架构尽力而为的传输 (Best-effort)确定性体验(保障低延迟、高可靠)它是一个以视频为绝对核心,具备内生智能处理能力,能够实现从采集、传输、存储、分析到决策闭环的专用网络系统。它不仅是
Autodesk标准表面是一种面向影视特效与动画制作的标准化材质着色器,旨在解决不同渲染器间材质不兼容的问题。它采用分层混合模型,通过10个闭包组件(6个基础+4个可选)的组合来模拟真实材质的光学特性。核心特点包括:基于物理的渲染(PBR)原理、分层叠加(如涂层+基底)和比例混合两种操作方式、自动能量守恒机制,以及兼容模式以降低实时渲染负担。该标准提供了一套直观的参数系统,支持从简单材质到复杂多层
SVPWM 空间矢量调制 matlab simulink 仿真 四种SVPWM实现方法(1)该模型采用 matlab/simulink 2016b 版本搭建,使用matlab 2016b及以上版本打开最佳。(2)该模型已经代为转换到各个常用版本。【】(1)成品模型原则上不提供技术;(2)本模型简要说明文档和运行视频。(3)可要求simulink视频教程一份。最近在研究电力电子相关内容时,SVPWM
二阶RC等效电路模型能够较好地模拟电池动态特性。它包含一个电压源、一个内阻以及两个RC并联支路。这种模型可以更精确地反映电池在充放电过程中的暂态响应。
16进制RGB颜色代码是数字色彩表示的核心方式,通过#RRGGBB格式将红绿蓝三原色各8位数值(0-255)转换为紧凑的6位16进制字符串。这种表示法源于RGB加色模型,能生成1677万种颜色,在网页开发、UI设计等领域广泛应用。其优势在于计算机友好(1字节=2位16进制)、便于识别记忆,并支持#RGB简写形式。使用时需注意大小写不敏感、字符区分等问题,开发者可通过工具实现RGB与16进制转换。作
本开发大纲系统性地介绍了使用Unity引擎开发次世代写实手游的全流程,包含12个核心部分:从市场分析与技术准备开始,涵盖项目架构、UI交互、场景光照、角色动画、战斗系统、AI设计、玩家控制、游戏系统、多平台发布、性能优化到推广运营。重点讲解了Unity 2021.3 LTS环境下的关键技术实现,包括PBR材质、光照烘焙、动画状态机、导航寻路、对象池优化等核心模块,同时提供Android/iOS平台
ABAQUS折纸折叠状态建模,用MATLAB编程生成有限元模型(节点和单元数据),按照inp格式保存数据,替换到inp文件中,导入ABAQUS,生成《航天中基于origami的折展结构》中的模型在航天领域,基于origami(折纸)的折展结构因其独特的性能备受关注。今天咱们就来唠唠如何通过MATLAB编程生成有限元模型,并将其应用到ABAQUS中实现折纸折叠状态的建模,最终生成《航天中基于orig
你可以创建一个“团队领导 (Team Lead)”和多个“团队成员 (Teammate)”,每个成员都是独立的OpenClaw实例,拥有独立的上下文,并能互相通信、并行工作。例如,一个负责研究资料,一个负责编写代码,一个负责审查,最终由领导整合输出。至此,你已经拥有了一个 2026 年最新、功能完备的个人 AI 助理。它不仅能帮你处理文档、筛选信息,还能通过多智能体团队替你完成复杂的项目协作。你的
摘要:视联网技术正深度赋能农林牧渔产业数字化转型。农业领域,上海奉贤无人农场项目实现3756亩全程无人化生产,降低人工投入30%,增产8.6%;林业领域,湖南铁塔"智慧视联"平台实现秒级火情预警,内蒙古1200万元智慧林草项目构建"天空地"一体化防控体系;牧业方面,四川生猪智慧管理平台实现99.8%计数准确率。本指南系统阐述了视联网产品在各产业的应用场景、技
视联网正在经历前所未有的变革。中国电信将视联网定位为继移动网、宽带网、物联网、卫星网之后的第五张基础网络,天翼视联网用户已突破1亿。中国联通推出“AI+4+X”产品新策略,基于元景大模型打造视联网平台,实现视频采集、传输、存储和智能分析的一体化。与此同时,元宇宙概念从狂热走向理性落地,凝聚元界仅用一小时即可搭建一个元宇宙互动场景,视辰信息EasyAR Mega平台已覆盖全国几十个城市、上千个地标。
视联网产品迭代优化实战指南摘要 本文系统阐述了视联网产品的迭代优化方法论,聚焦用户反馈闭环体系构建与技术创新驱动。首先强调多渠道收集用户反馈并建立科学分类评估机制,通过真实案例(如山东日照项目)展示快速响应机制的价值。其次深入解析用户需求的四层模型,提出从表象需求挖掘真实痛点的"5Why分析法"。技术层面指出端云协同架构是解决算力失衡等瓶颈的关键,分享天翼视联"1+3
《视联产品规划与设计实战指南》摘要 本指南系统阐述了视联网产品从规划到落地的全流程方法论。基于头部企业实践,提出产品定位四步法:明确边界、设定量化目标、用户分层、差异化竞争。需求分析强调定量与定性结合,建立"场景-痛点-需求"映射库,通过KANO模型和ROI矩阵确定优先级。标准化文档体系包含PRD框架模板,详细功能需求列表及性能指标要求。指南特别指出视联网产品的关键特性:可靠性
STM32 Foc开源算法,包括观测器和Foc method STM32F0系列FOC 源代码,有单电阻采样和三电阻采样两种代码。都是ST很经典算法,代码学习,无感算法观测器是开源代码,Foc method也是开源,不是库。深夜调完电机准备收工,突然发现实验室角落积灰的STM32F0开发板。这玩意儿当年可是玩FOC的初代神器,今天咱们就扒一扒ST官方藏在GitHub暗处的FOC开源遗产——不带库的
摘要 本章详细介绍了Unreal Engine 5编辑器的核心界面布局和工作流程。重点解析了六大核心面板:主菜单栏(项目控制中心)、Modes面板(工具切换器)、Viewport(实时渲染的游戏世界窗口)、Content Browser(资源仓库)、World Outliner(场景清单)和Details面板(属性编辑器)。通过创建"BP_LightSwitch"蓝图类的实践案
视联网发展历程与趋势摘要(150字) 视联网经历了从技术探索到国家级基础设施的演进:1996年启动核心技术研发,2010年代进入视频管理阶段,2015年后AI赋能实现智能分析。2021年运营商入局后迎来爆发,中国电信发布"天翼视联网"并形成"云边端"协同架构,2023年接入设备超6000万。其核心特点是高清实时传输与智能融合,通过大小模型协同实现全域感知。当
课程PPT总结存档(from Qiong Zeng)
这是因为法线并不是空间内真实存在的向量,法线只是对空间内某一平面垂直的一个相对向量,或者说是对空间内真实存在的向量虚构出来的相对向量,具有一定的相对性。而切线是由空间内相邻两点确定的,也就是空间中真实存在的向量,因此可以通过普通的转换矩阵进行空间变换,并且我们可以利用切线来推导出使用于法线的转换矩阵。(3 * 3)是由坐标空间B的三个坐标轴组合得到的矩阵,而坐标轴组合的矩阵一定是正交矩阵,因此 M
无人机覆盖搜索路径规划无人机搜索目标路径规划无人机侦查路径规划对未知区域进行覆盖搜索,并且寻找目标matlab代码有详细注释,可快速上手。在现代科技领域,无人机的应用愈发广泛,其中覆盖搜索与目标寻找的路径规划任务极为关键。无论是在灾难救援中寻找幸存者,还是在广袤区域执行侦查任务,高效的路径规划都能让无人机发挥最大效能。
github地址: https://github.com/z2586300277/three-cesium-examples。su7 压缩模型加载, 道路流光 灰度贴图模型裁剪动画跳动心, 旋转圆, 空中的云。光柱效果,毛玻璃 着色器,立体热力图,模型拆解动画,地理边界流动,模型视图,地面反射效果。类似echarts 的 three.js 3d 地图。css2D css3D 交互标签使用。用 gi
着色器
——着色器
联系我们(工作时间:8:30-22:00)
400-660-0108 kefu@csdn.net