登录社区云,与社区用户共同成长
邀请您加入社区
大模型对齐场景里,PPO 往往被用作的强化学习算法:模型在给定问题q的条件下生成回答o,再由奖励信号引导策略更新。πθo∣qVψ⋅rφqoπref⋅在传统强化学习里,Actor/Critic 往往是轻量网络、环境奖励是“自带的规则函数”,因此 4 个模块的代价并不夸张。但在 LLM/RLHF 场景下,因此,很多工作从“能不能少一个模型?”开始重新审视 PPO 结构:Actor 是必须的;
PPO(Proximal Policy Optimization)在大模型对齐(如 RLHF)里已经形成了一套相对“标准”的工程范式:用 SFT policy 初始化 Actor,用 reference policy(通常就是 SFT policy) 做 KL 约束,再配合一系列稳定性技巧(GAE、归一化、loss clipping、混合训练目标等)。这些技巧背后的共同目标是:下面按“模型层面 →
强化学习(Reinforcement Learning, RL)研究的是:智能体(Agent)在环境(Environment)中通过交互学习策略(Policy),以最大化长期累计回报(Return)。它们共同把传统 Q-learning 从“小状态空间的表格算法”推进到“可处理高维状态(如图像)的深度学习算法”,使得强化学习第一次在复杂感知输入的任务上获得可规模化的成功。你看高手的比赛录像学习(行
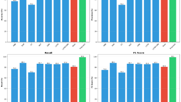
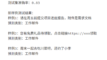
传统的垃圾分类主要依赖人工判断,效率低下且容易出错。随着深度学习技术的发展,我们可以使用迁移学习快速构建垃圾分类模型。本项目完整展示了从需求界定到模型部署的AI项目周期,通过迁移学习,成功构建了一个高准确率的垃圾分类识别系统。在实际应用中,可以根据具体需求扩展功能,如收集更多数据、模型优化、实际应用部署等
AMR自主移动机器人成本控制十年演进(2015-2025)摘要 2015-2025年,AMR行业成本控制实现了从粗放式单点降本到全产业链协同优化的范式革命。早期阶段(2015-2017)依赖进口零部件,硬件成本占比超80%,整机售价30-80万元,ROI超5年;2018-2020年通过标准化设计和国产化替代,成本下降50%,售价降至10-20万元;2021-2023年规模化生产与TCO管理使硬件成
摘要:具身智能在2015-2025年间经历了五大发展阶段,从深度学习赋能到场景落地,实现了从"感知-执行"到"认知-行动"的质变。关键技术突破包括感知系统从2D到3D理解、决策系统从规则引擎到大模型驱动、执行系统从机械运动到灵巧操作。应用场景从工业制造扩展到医疗、零售等领域,2025年市场规模预计达4.44亿美元。未来趋势显示,到2030年具身智能将实现通用
《移动机器人十年演进(2015-2025):从AGV到具身智能的质变飞跃》展示了移动机器人产业的技术突破与市场扩张。全球市场规模预计2025年达86.4亿美元,2030年突破300亿美元。核心技术实现三大跃迁:感知系统从单传感器升级为AI增强的多模态融合;导航方式从固定路径转向自主决策;硬件架构从拼凑组装发展为一体化智能体。产品形态从单一AGV演变为模块化、多形态的AMR,应用场景覆盖工业、医疗、
2015-2025年机器人技术实现跨越式发展:算法从传统控制转向大模型驱动的具身智能,深度学习重构感知与控制层,RT-1等模型实现自然语言到动作的端到端生成;系统从刚性执行升级为柔性协同,支持多任务链和预测性维护;架构演进为"通用底座+分布式执行",采用异构计算和Transformer统一处理多模态数据。这些突破使机器人从结构化场景迈向复杂未知环境,在工业、服务等领域展现出更强
摘要: 机器人诊断系统在2015-2025年间经历了从手工排障到流程化运维再到闭环治理的三阶段演进。2015年依赖工程师经验,2020年通过工单和Runbook实现流程化,而2025年则形成以“证据-处置-防复发”为核心的自动化闭环,成为Robot SRE的核心组件。关键能力包括触发式证据包(Replay Bundle)、自动分诊、变更归因、动作编排(如降级/回滚)及场景库驱动的防复发机制。系统成
机器人监控系统十年演进:从看板到治理控制平面 2015-2025年间,机器人监控系统经历了三个阶段演进:设备面板时代(2015-2017)仅监测基础状态;车队运营平台时代(2018-2021)扩展至业务指标;治理控制平面时代(2022-2025)实现闭环控制。2025年的系统核心包括SLO引擎、事件事故系统、动作编排和发布门禁,形成从观测到执行的完整闭环。系统架构从轮询升级为事件流,采用车端缓冲+
具身智能十年演进(2015→2025):从技能学习到平台化治理 过去十年,具身智能经历了从单一技能学习(RL/IL)到多任务泛化(多模态基准),再到可运营系统(VLA模型+数据闭环)的范式迁移。核心变化体现在: 训练方式:从仿真调参转向预训练+微调,吸收互联网知识(如RT-2模型); 数据引擎:从小规模实验升级为采集-筛选-场景化的闭环; 工程治理:仿真生产化(NVIDIA Isaac Sim)、
摘要: 移动机器人十年(2015-2025)经历了三大范式跃迁:从单机自动化(SLAM/ROS1)到车队系统(多机协作/ROS2),最终演变为可治理的机器人基础设施(云边端架构/Control Plane)。核心技术从定位、感知、规划到系统架构全面升级,平台化能力(OTA/SRE/治理)成为核心竞争力。商业应用从仓储扩展至医疗、配送等多场景,护城河从算法转向平台与数据闭环。未来将融合具身智能(LL
摘要:机器人诊断十年演进(2015→2025) 机器人诊断从经验排障(2015)发展为流程化运维(2020),最终迈向治理闭环(2025)。核心目标从“找原因”升级为降低MTTR、提升自恢复率、减少复发率和人工介入率。2025年的诊断体系基于证据链(指标/日志/追踪/回放)、事件模型和防复发闭环,实现自动采证→恢复→预防→优化。诊断能力成熟度分六级,重点从“可观测”进阶到“可治理”,并与自愈动作、
机器人日志十年演进:从调试文本到可治理证据链 2015-2025年,机器人日志经历了三阶段演进:2015年以本地调试文本为主,2020年转向集中检索式远程运维数据,2025年将升级为结构化证据链资产。核心变革体现在:1)日志结构化,从文本转为标准化事件;2)实现上下文贯穿,关联任务/版本/站点等关键信息;3)建立触发式证据包机制,重大事件自动采集可复现数据包。2025年的日志体系需同时满足MTTR
**摘要:**机器人监控体系在2015-2025年间经历了三阶段演进:从早期设备健康监测(2015-2018)、到任务/车队运营监控(2019-2021),最终发展为SLO驱动的治理闭环(2022-2025)。2025年的监控核心在于将观测系统升级为控制中枢,通过SLO/误差预算、事件模型、发布联动、自愈动作库和防复发机制,实现自动化治理。关键特征包括:指标从硬件状态扩展至质量/成本维度,告警需绑
摘要:机器人平台化十年演进(2015-2025) 机器人平台化从工具堆集成(2015)发展为治理控制平面(2025),核心是构建可持续运营的Robot SRE体系。 关键跃迁: 协议:从碎片化接口到契约化治理(状态机、错误码、版本兼容) 监控:从设备状态到SLO驱动的控制器(联动灰度/回滚/自愈) 日志:从调试文本到结构化证据链(上下文贯穿+触发式抓取) 诊断:从人工排障到防复发闭环(场景库+CI
摘要:日志系统十年演进(2015-2025) 日志从本地调试文件演变为可治理的证据链,服务于低MTTR和自动化运营。2015年日志为本地文件,依赖人工排查;2020年实现集中检索,支持远程排障;2025年升级为结构化证据链,与指标、追踪、回放等联动,形成防复发闭环。演进分为三个阶段:文件化(2015-2018)、集中化(2019-2021)、证据链化(2022-2025),关键变化包括结构化、上下
摘要:2015-2025年机器人/AMR协议演进呈现三阶段特征:从集成工程时代的碎片化连接(2015-2018),到统一API时代的标准化对接(2019-2021),再到契约化治理时代的可控协作(2022-2025)。协议功能从基础连通性发展为包含状态机语义、错误恢复、版本治理等完整控制平面能力,并形成车端/车队/站点/企业四层协议栈。关键演进包括:状态机明确定义、幂等设计、事件模型、安全合规等。
机器人/AMR/自动驾驶系统的平台化演进(2015-2025)经历了从研发效率到规模化运营的质变:初期(2015-2018)聚焦模块复用和工具链整合;中期(2019-2021)实现服务化交付和远程运维;最终(2022-2025)形成"控制平面+数据平面+治理闭环"的三层架构,通过版本治理、证据链管理和自愈机制实现可持续运营。平台化的核心价值从技术能力转变为治理能力,关键指标包括
机器人行业平台化十年演进(2015-2025)呈现三阶段跃迁:从早期"工具堆"解决基础连接(2015-2018),到构建可复制交付的"平台服务"(2019-2021),最终发展为"治理控制平面"(2022-2025)。核心能力从协议统一、监控告警等基础功能,升级为包含契约化接口、SLO驱动治理、结构化证据链和防复发闭环的Robot SRE
机器人技术十年演进(2015-2025)呈现三大范式迁移:从"几何+规则"的可用性验证(2015-2018),到"融合+工程化"的稳定交付阶段(2019-2021),最终迈向"平台化治理+数据闭环"的规模化运营时代(2022-2025)。技术演进体现在十大主干领域:感知转向风险表征、定位升级为可治理服务、规划关注系统交通治理、控制强化安全
摘要: 机器人质量控制十年演进(2015-2025)从传统QC(出厂检验)转向SRE式运营治理,核心解决系统性退化与长尾场景问题。2015-2018年聚焦硬件缺陷拦截(QC阶段),2019-2021年通过工程化提升交付稳定性(QE阶段),2022年后以SRE模式运营,构建防复发闭环:通过证据链(Metrics/Logs/Traces/Replay)自动复现问题,沉淀场景库并纳入CI门禁,指标从合格
机器人质量与成本控制十年演进(2015-2025) 2015-2018年以硬件QC和BOM降本为主,但现场问题频发;2019-2021年转向交付稳定性和工程复用,但复发问题突出;2025年核心是质量与成本合流,通过Robot SRE和TCO治理降低复发率、人工介入率和MTTR。 关键抓手包括:自愈策略、防复发闭环、灰度发布和站点复制工程。未来趋势是SLO合同化、场景库扩展和自治运维强化,质量与成本
摘要 机器人行业的质量与成本关系在2015-2025年间经历了显著演变:从割裂优化走向一体化治理。早期(2015-2018)关注硬件质量和BOM成本;中期(2019-2021)转向系统稳定性和运维成本;当前(2022-2025)则聚焦可用性、复发率和TCO管理。核心转变在于质量治理能力成为成本控制的关键,通过降低人工介入率、复发率和MTTR等指标实现双赢。2025年标杆体系强调数据贯穿、发布治理和
机器人十年演进:从算法创新到系统治理的转型(2015-2025) 过去十年机器人技术经历了从单点突破到系统化运营的范式迁移:2015年聚焦算法实现(ROS1/单机调参),2020年进入产品化阶段(ROS2/多传感融合/车队管理),2025年将转向平台化服务(SLA治理/TCO竞争)。这一演进体现在十大技术维度:感知从目标识别发展为风险建模,规控从规则驱动转向约束优化,中间件从通信总线升级为可观测数
机器人行业成本控制十年演进(2015-2025)呈现三个阶段:早期(2015-2018)聚焦BOM降本,通过供应链压价和国产替代降低单机成本;中期(2019-2021)转向工程降本,通过标准化和流程优化提升交付效率;当前阶段(2022-2025)则进入TCO降本,重点通过平台化运营降低人工介入率、复发率和运维成本。成本结构从硬件主导转向运营主导,2025年关键降本抓手包括:降低人工介入、控制复发率
摘要:2015-2025年机器人质量控制体系经历了从QC检测到QE工程化再到SRE运营治理的三阶段演进。核心转变是从缺陷拦截转向系统可用性管理,通过八大模块升级:指标转向SLO/P99、测试强调系统回归、变更实现平台化治理、构建证据链可观测性、自动化诊断RCA、建立防复发闭环(replay→场景库→门禁)、完善自愈策略、融合硬件软件质量。2025年标杆体系特征包括:数据贯穿的业务上下文、SLO导向
《质量与成本控制十年演进(2015-2025):机器人行业的体系化实践》摘要:本文系统梳理了机器人/AMR领域质量与成本控制的范式转变。质量管控从初期的出厂检验(2015),演进为工程过程控制(2020),最终形成基于数据闭环的治理体系(2025),关键指标转向系统可用性、复发率等运营指标。成本控制则从BOM优化发展为TCO管理,聚焦人工介入率、站点复制效率等运营指标。文章提出五大核心抓手:变更治
本文系统梳理了2015-2025年机器人/自动驾驶领域质量与成本管理的演进历程,提出三个阶段范式迁移:从制造质量(2015-2018)到工程质量(2019-2021),最终进入运营质量时代(2022-2025)。核心转变在于:质量从"检测问题"转为"系统治理问题",成本从BOM转为全生命周期TCO。2025年的关键特征是质量闭环治理(通过replay系统、场
机器人中间件十年演进(2015-2025)经历了三个阶段:从ROS1开发效率优先的"研发消息总线",到ROS2/DDS强调QoS和实时性的"工程可控通信基础设施",再到当前"治理型数据底座"阶段。核心演进体现在8个方面:通信语义系统化、QoS契约化、性能优化(零拷贝/P99)、时间同步精确化、分布式发现、安全机制、可观测性提升以及跨域桥接
摘要:2015-2025年机器人算法经历了从几何模型到学习增强再到基础模型的三段式范式迁移,核心转变是从追求单点性能转向"算法+数据+闭环治理"的综合体系。七大算法族群(感知、定位、规划、控制、决策、操作、学习)均呈现出可解释性、安全性和系统化治理的趋势。2025年后算法落地将更依赖治理系统,包括统一上下文、证据链、事件模型、自动回归和渐进交付等机制。未来确定性趋势包括:不确定
摘要: 2015-2025年机器人系统经历了从单机功能(Device)到规模化交付(Product)再到云化服务(Service)的三阶段演进。早期(2015-2018)聚焦单机算法实现,依赖现场调参;中期(2019-2021)实现多传感融合与车队管理,但治理能力不足;当前(2022-2025)转向云原生运营,核心壁垒变为平台化治理(如SRE、数据闭环)和规模化车队系统。十条主干技术(感知、定位、
摘要:2015至2025年机器人系统软件经历了从单机应用到云端治理平台的演进。第一阶段(2015-2018)以ROS1为主,面临版本漂移、运维困难等问题;第二阶段(2019-2021)实现平台化,采用ROS2/DDS和容器化技术,但治理闭环不足;第三阶段(2022-2025)形成云化服务体系,具备SLA管理、证据链诊断和自愈能力。核心子系统如OS实时性、中间件通信、设备管理等均实现标准化和平台化升
机器人系统软件架构在2015-2025年间经历了从单机应用到云服务的重大演进,主要受复杂度爆炸、规模化运营和学习数据化三股力量驱动。演进分为三个阶段:早期ROS1的单机应用架构(2015-2018),中期ROS2的平台化架构(2019-2021),以及当前云服务架构(2022-2025)。关键变化包括通信中间件升级、组件化、配置治理、可观测性提升以及安全架构强化。未来趋势将向任务语言化、运动安全核
机器人技术十年演进(2015-2025)摘要 过去十年机器人技术经历了三次范式迁移:从基于几何模型的经典算法栈(2015-2018),到学习与仿真驱动(2019-2021),再到基础模型与系统工程主导(2022-2025)。核心变化体现在:1)感知定位从精度转向可靠性治理;2)规控结合学习与安全护栏;3)平台化运维(SRE、数据闭环)成为规模化关键。未来趋势包括:基础模型分层落地(语言层快于运动层
机器人仿真技术十年演进(2015-2025)从开发辅助工具发展为质量治理核心平台。早期以Gazebo等实现基础功能验证,2019年后物理引擎、传感器仿真和域随机化技术提升,支持大规模场景并行与sim2real。2022年起进入治理型仿真阶段,通过场景库管理、回放复现、指标体系与CI门禁实现闭环质量管控,数字孪生工程化落地。关键技术包括分层物理引擎、传感器误差建模、场景自动生成及数据闭环。未来将向生
下面我从**可规模化部署(AMR/自动驾驶/具身)**的工程视角,系统梳理。这里的“标定”不只是“算个外参”,而是一整套围绕的平台能力——因为一旦规模上来,标定问题会从“算法问题”变成“运维与质量问题”。
机器人规控技术十年演进(2015-2025)摘要 过去十年,机器人规控技术经历了从理想模型优化到可部署闭环系统的范式迁移。2015-2018年以分层栈(A*/DWA等)为主,强调可解释性但受限于动态环境;2019-2021年转向优化主导(MPC/TO),引入约束与鲁棒性设计;2022年后聚焦学习增强与系统治理,融合感知不确定性、风险约束及运营指标(任务完成率/自愈能力)。技术族谱呈现五大演进路径:
分类
——分类
联系我们(工作时间:8:30-22:00)
400-660-0108 kefu@csdn.net