
简介
该用户还未填写简介
擅长的技术栈
未填写擅长的技术栈
可提供的服务
暂无可提供的服务
mermaid图详解(一)流程图|超详细的代码解释
mermaid流程图详解

数据库设计|游戏-玩家-活动数据库|期末课程设计
中山大学,数据库设计,期末课程设计,游戏-玩家-活动数据库

基于SLAM的规划算法仿真复现|SLAM|智能规划
SLAM,智能规划,中山大学,机器人

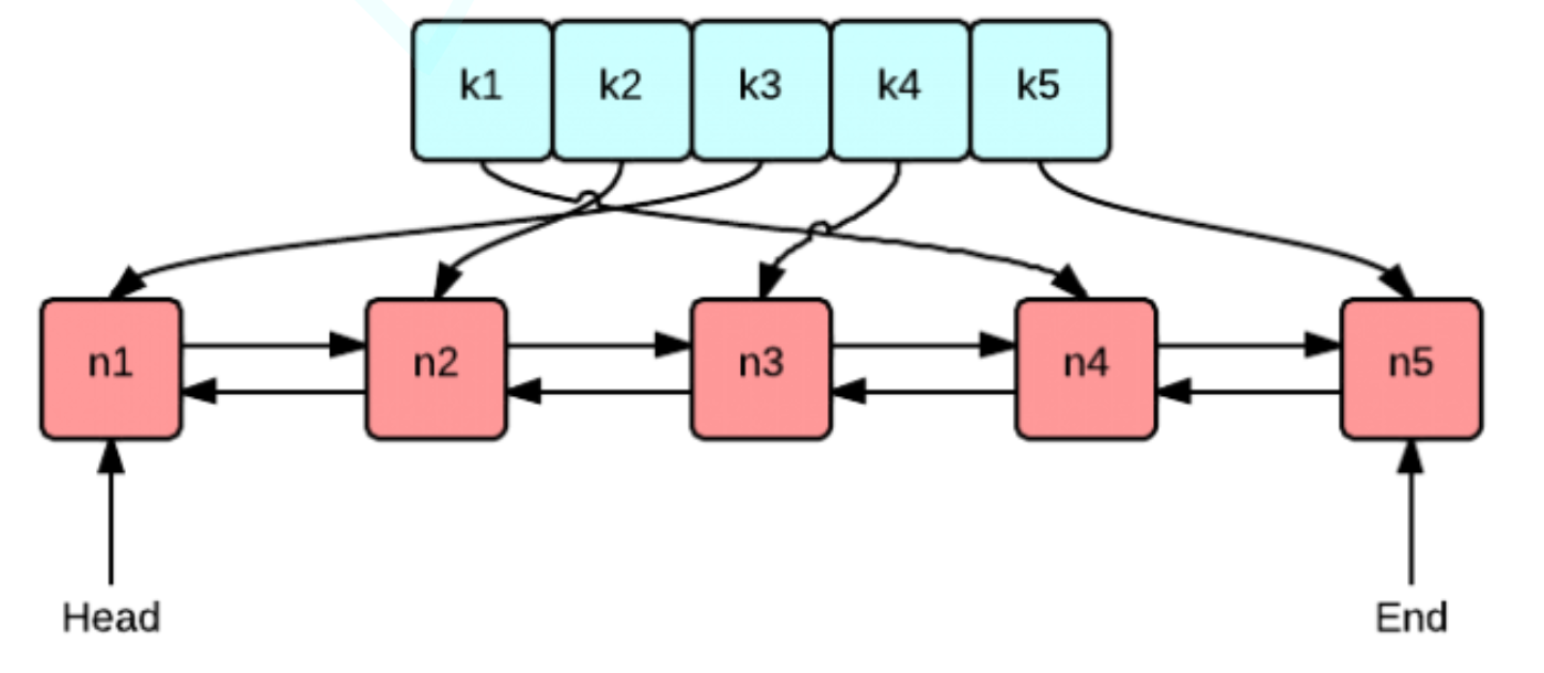
一篇搞懂什么是LRU缓存|一篇搞懂LRU缓存的实现|LRUCache详解和实现
一篇搞懂LRU缓存的原理

优化算法之梯度下降|Matlab实现梯度下降算法
梯度下降,matlab,可视化,全局最小

Git企业开发控制理论和实操-从入门到深入(七)|企业级开发模型
本栏目将带着大家从入门到深入,详细系统讲解Git的每一部分的知识。深入了解并使用Git。

到底了







