登录社区云,与社区用户共同成长
邀请您加入社区
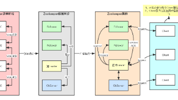
Kafka集群部署
1.选择合适的安装镜像文件2.拉取镜像:docker pull zookeeper:3.8.03.启动4.查看状态5.命令行客户端 docker run -it --rm --link zookeeper:zookeeper zookeeper:3.8.0 zkCli.sh -server zookeeper docker run -it --rm --link zookeeper:zookeep
zookeeper启动失败:Error: Could not find or load main class org.apache.zookeeper.server.quorum.QuorumPeer
运行zookeeper时Exception in thread "main" java.net.UnknownHostException: 不知道这样的主机。 (hadoop01)
zookeeper 阿里云服务器 安全组规则
本文介绍关于docker-compose安装zookeeper。
docker多实例安装zookeeper集群
在腾讯云安装docker及zookeeper和dubbo
之前在学springcloud的时候,提到有些项目还是使用zookeeper作为注册中心。因此决定掌握这个技能,但是部署zookeeper集群还是比较麻烦的。因此打算使用docker在本地上搭建zookeeper集群。
这个配置文件会告诉Docker分别运行三个zookeeper镜像,并分别将本地的2181,2182,2183端口绑定到对应的容器的2181端口上.ZOO_MY_ID和ZOO_SERVERS是搭建ZK集群需要设置的两个环境变量,其中ZOO_MY_ID表示ZK服务的id,它是1-255之间的整数,必须在集群中唯一.ZOO_SERVERS是ZK集群的主机列表.多个zookeeper实例部署到同一台ser
文章目录一、anaconda安装1.1 anaconda安装地址1.2 安装详细步骤1.3 检验安装是否成功1.4 更改conda源(后续安装第三方库可以加快速度)一、anaconda安装Anaconda 是一个用于科学计算的 Python 发行版,支持 Linux, Mac, Windows, 包含了众多流行的科学计算、数据分析的 Python 包。装anaconda,就不需要单独装python
文章目录前言一、jdk 下载二、windows1、jdk 安装2、环境变量的配置2.1 Java_Home 配置2.2 Path 配置2.3 CLASSPATH 配置3、检测是否配置成功前言java 环境配置,网上教程很多,那我为什么还要写?首先为了完善我的知识体系今后一些软件的安装教程也可能会用到想写一个更加详细的,因为这并不仅仅是写给 IT 行业的,其它行业可能也需要配置java环境如果你是想
解决Zookeeper出现Cannot open channel to 4 at election address hadoop104/192.168.10.103:3888问题
利用docker安装kafka和kafka-eagle想使用一下好用的kafka监控界面,于是看到了kafka-eagle这个工具,但是自己手动安装有点麻烦,就想着能不能在测试环境中使用docker,于是想到了使用docker-copmose进行安装,找到了一个github仓库https://github.com/nick-zh/docker-kafka-eagle这个仓库需要直接clone下来,
hadoop伪分布式配置和安装安装环境:Centos7.5,至少2核4G内存提前准备:Linux中要安装jdk1.8,Zookeeper-3.5.81.关闭防火墙:systemctl stop firewalldsystemctl disable firewalld2.修改主机名vim /etc/hostname删除原来的主机名,添加自己的主机名例如:hadoop013.需要将主机名和IP进行映射
异常[root@centos7_101 kafka]# bin/kafka-topics.sh --bootstrap-server 192.168.88.142:9092 --list\^HError while executing topic command : Timed out waiting for a node assignment. Call: listTopics[2022-04-
1.hadoop:首先要进入到hadoop的目录下,执行sh.sbin/start-dfs.sh命令启动dfs执行sh.sbin/start-yarn.sh命令启动yarn集群。启动完成后利用jps命令查看节点。2.zookeeper:也要进入到该目下下,执行sh bin/zkServer.sh start命令启动zookeeper3.hbase:进入到该目录下,执行sh bin/start-hb
安装包下载地址:https://downloads.apache.org/hadoop集群搭建教程:https://blog.csdn.net/qq_43650672/article/details/116485851zookeeper集群搭建教程:https://www.cnblogs.com/ysocean/p/9860529.htmlHbase集群搭建教程:
搭建hadoop高可用集群时可使用/etc/profile文件软件包安装路径为/opt/local/src/java hadoop zookeeper#hadoop enviromentexport HADOOP_HOME=/opt/local/src/hadoop#HADOOP_HOME指向JAVA安装目录export HADOOP_PREFIX=$HADOOP_HOMEexport HADOO
解决HBase的ERROR: org.apache.hadoop.hbase.PleaseHoldException: Master is initializing报错
关联问题:RocketmqRemoting closeChannel: close the connection to remote address[] result: true由关联问题寻到此问题,卡了两整天。给broker启动文件加了brokerIP1,怎么加都弄不了。妈的烦死了后来发现是nameserver的端口一直默认启动的是9876,网上部署教程全部都没改这个端口号,我就以为是自动从br
目录一.准备工作01.下载zookeeper镜像02.宿主机-创建映射目录03.创建容器04.查看容器的ip(核心)二.开始配置01.修改conf/zoo.cfg02.修改data/myid03.重启容器,检测状态是否成功三.去代码里试试前言:以下说的都是同一台机器上部署多个容器(伪集群)方式;docker版集群难点在于如何实现容器之间的相互通信。由于在同一台机器上刚好有便捷方式处理,实际生产上,
一、基本命令1、防火墙状态firewall-cmd --state2、系统服务管理命令systemctl status firewalld3、开启防火墙systemctl start firewalld4、关闭防火墙systemctl stop firewalld二、配置1、放行指定端口举例:放行80(Web默认端口)、443(支持https)端口firewall-cmd --add-port=8
zookeeper:在集群中的作用是负责管理集群中·包括(namenode,ReducerManger,的主备切换作用,以及一些分布式组件的配置信息,和状态信息,还提供发布/订阅功能其主要目的就是在zookeeper集群上通过创建znode节点记录集群中一些位置信息,状态信息的变化,然后通过zookeeper的watcher机制把变化的节点中的内容通知到客户端,然后客户端从hadoop集群上下载内
[Z3001] connection to database 'zabbix' failed: [1045] Access denied for user 'zabbix'@'localhost' (using password: NO)检查/usr/local/etc/zabbix_server.conf中口令是否配置正确配置后要关闭zabbix进程重新启动。zabbix server报错,需要
问题curator从2.12.0升级到5.2.0zookeeper被升级到3.6.3了,放到服务器运行项目报错:Unable to read additional data from server sessionid 0x101100ff7f2000a, likely server has closed socket或者KeeperException$UnimplementedException:
最近公司初次使用Kafka在刚使用当中一切顺利包括对接服务者和消费。但是在使用一段时间突然发现Kafka消费者在调用Kafka的时候报Failed to create new KafkaAdminClient 错在多方查找以后没有找到能解决错误的地方。在请教Kafka大神以后说检查下Kafka心跳检测突然发现没有配置心跳检测下面上代码。spring:kafka:bootstrap-servers:
zookeeper、kafka、kafka tool与spring boot之间访问时的身份验证配置一. zookeeper配置1. 非kafka自带的zookeeper安装目录/conf/zoo.cfg添加以下配置authProvider.1=org.apache.zookeeper.server.auth.SASLAuthenticationProviderrequireClientAuthS
错误现象FileNotFoundException: java.io.FileNotFoundException: HADOOP_HOME and hadoop.home.dir are unset解决方案Windows 依赖文件夹https://gitcode.net/mirrors/steveloughran/winutils/-/tree/master/hadoop-3.0.0/bin配置
Docker技术应用与实战一、 Docker的安装和介绍1 没有Docker的世界1.1 场景一 节省项目环境部署时间问题:每次部署项目到测试、生产等环境,都要部署一大推以来的软件,工具,花费很长时间。使用docker可以实现一次构建多次部署,一劳永逸。1.2 场景二环境一致性问题:程序在我这里跑跑得好好的,在你那怎么就不行呢?版本一致性:包括操作系统、数据库、中间件的版本,被测系统的版本。配置一
一.zookeeper1.zookeeper watcher(监听机制)watch机制是zookeeper自动监控某一个znode节点的生死和状态变化(节点创建,节点删除,节点改变,子节点改变);如果监控的事件发生了会触发执行行为;提供了分布式数据发布和订阅功能,一对多的订阅关系watch机制有三个过程:客户端向服务器注册watcher;服务端事件发生触发watcher;客户端回调watcher得
一、概述1、目的****** 服务A使用端口9001,只有允许的应用才可以访问,其它未经允许服务无法正常访问(即默认应用无法正常访问)。**2、处理思路****** 1)启用防火墙。2)关闭端口访问,默认应用无法直接访问。3)设置特定ip可以访问特定端口。**二、启用防火墙1、首先查看防火墙是否开启#查看防火墙状态systemctl status firewalld2、绿色active代表服务已启
1. 环境准备Docker 安装指南Docker Compose 安装指南2. 编写 Docker Compose# 创建并编辑 docker-compose.yml 文件vi docker-compose.ymlversion: '3.2'services:zookeeper:image: wurstmeister/zookeepercontainer_name: zookeeperports:
目录1、helm部署方式介绍2、利用bitnami开源部署方式3、验证消息队列是否正常4、kafka集群和zookeeper集群扩容1、helm部署方式介绍helm安装文档:https://helm.sh/docs/intro/install/helm添加仓库:$ helm repo add bitnami https://charts.bitnami.com/bitnamibitnamihttp
下载zookeeper官网直接下就行,地址:https://www.apache.org/dyn/closer.lua/zookeeper/zookeeper-3.7.0/apache-zookeeper-3.7.0-bin.tar.gz下载后解压,到bin目录下找到zkServer.cmd双击运行即可第一次双击运行时会闪退,可看一下博客解决https://blog.csdn.net/qq2798
一:tomcat1.启动tomcat(/opt/apache-tomcat-8.5.35/bin./startup.sh)2.Linux上访问tomcat3.windows上访问tomcat(这里写自己linux的ip地址和端口号)注意:从其它机器上访问需要关闭linux的防火墙。(systemctl stpo(start) firewalld)二:mysql1.启动mysql启动MySQL服务,
环境参考: 离线安装docker及docker-compose安装centos 7 镜像通过可连网的Linux执行: docker pull centos:centos7当前centos镜像打jar包: docker save -o centos.tar centos:centos7传入未联网linux中:docker load < centos.tar查看镜像:docker images自
问题描述:前段时间,由于数据占用太多强制进入安全模式而格式化了HDFS,然后使用Hbase shell 命令创建表时,报错:原因分析:首先,检查Hbase是否启动异常,经检查后发现 hdfs、hbase、zookeeper皆运行正常,启动日志也没有报错输出。(再结合之前hdfs、hbase都是可以正常创建、使用,可以排除配置错误)其次,检查集群时间是否同步,如果集群中某个节点的时间与其他主机不同步
#启动mysql时会提示找不到对应的服务[root@ceph-104 ~]# service mysqld restartRedirecting to /bin/systemctl restart mysqld.serviceFailed to restart mysqld.service: Unit mysqld.service not found.[root@ceph-104 ~]#...
一、问题描述:Kafka生产集群中有一台机器cdh-003由于物理故障原因挂掉了,并且系统起不来了,使得线上的spark Streaming实时任务不能正常消费,重启实时任务都不行。查看kafka topic状态,发现broker Leader出现-1的情况,如下图二、问题分析Kafka Broker Leader 为-1,表示有partition在选举Leader的时候失败了,因此引起了消费..
常见端口汇总:Hadoop:50070:HDFS WEB UI端口9870:3.x HDFS WEB UI端口8020 : 高可用的HDFS RPC端口9000 : 非高可用的HDFS RPC端口8088 : Yarn 的WEB UI 接口8485 : JournalNode 的RPC端口8019 : ZKFC端口...
该报错由于 /store/commitlog文件夹下的日志文件过大造成,df-h 指令查看当前磁盘占用内存情况 rocketmq默认会把剩余磁盘的比率不足75%当做磁盘空间不足处理解决办法:1.先删除掉/store/commitlog文件夹下的没用的日志文件2.编辑/conf/2m-2s-async/broker-a.properties文件,添加 diskMaxUsedSpaceRatio=98
hadoop生态的kerberos认证一、zookeeper1.准备工作2.配置2.1创建服务端用户2.2导出凭证:2.3修改zookeeper的配置文件2.4生成jaas.conf文件2.5创建client的priincipal并导出2.6配置client-jaas.conf文件3.验证zk的kerberos一、zookeeper1.准备工作停掉hadoop集群;安装好kerberos认证服务;
点击蓝色“架构文摘”关注我哟加个“星标”,每天上午 09:25,干货推送!来源:https://blog.csdn.net/fly910905/article/details/10002...
运行cmd(管理员)启动mysql服务:net start mysql关闭mysql服务:net stop mysql如下图所示:
1、准备环境Centos 7虚拟机三台Jdk 13(8以上的版本就可以,记住不要下arm散分的那个包。)Hadoop-3.2.0Zookeeper-3.6.2hbase-2.3.1远程连接工具(随意,没有也行)(要注意,这里jdk的版本,官网可以查看jdk、hadoop、hbase三者之间的适配关系,要注意这里的版本,不然非常容易出现一些不容易辨别的异常。下面有例子。)2、在搭建搭建hadoop集
一、HBase简介HBase是一个高可靠、高性能、面向列、可伸缩的分布式数据库,是谷歌BigTable的开源实现,主要用来存储非结构化和半结构化的松散数据;HBase的目标是处理非常 庞大的表,可以通过水平扩展的方式,利用廉价计算机集群处理由超过10亿行数据和 数百万列元素组成的数据表;HBase和BigTable的底层技术对应关系;二、HBase数据模型三、HBase实现原理四、HBase运行机
KafKa运行报错 : java.nio.file.FileSystemException: 另一个程序正在使用此文件.
1.环境准备zookeeper-3.4.6.tar.gzjdk-8u211-linux-x64.tar.gz2.安装步骤第一步:需要安装jdk环境。第二步:把zookeeper的压缩包上传到服务器。第三步:解压缩。(tar -zxvf)第四步:把zookeeper复制三份。[root@vmcentos~]# cp -r zookeeper-3.4.6 /mq_cloud/zookeeper01[r
从官网下载下来的最新版本zookeeper,解压修改配置后,启动出现错误:Error: Could not find or load main class org.apache.zookeeper.server.quorum.QuorumPeerMain原因是目前官网提供的三个版本只有3.4.14里面带有已经编译打包好的jar包,其他版本需要自己手动编译编译方法:cd 解压路径下cd zookee
zookeeper
——zookeeper
联系我们(工作时间:8:30-22:00)
400-660-0108 kefu@csdn.net