登录社区云,与社区用户共同成长
邀请您加入社区
本文通过七种不同场景的对比,展示了如何利用TiDB的性能诊断和分析工具(如TiDB Dashboard的TopSQL、Continuous Profiling功能及Performance Overview面板)对OLTP负载进行性能优化。文章详细描述了从使用Query接口到PreparedStatement接口的优化过程,并通过JDBC配置的调整,逐步提升系统性能。最终,通过启用执行计划缓存、减少
TiDB是一款开源分布式NewSQL数据库,兼容MySQL协议并提供水平扩展能力。本文详细介绍其Docker Compose部署配置、集群架构、SQL使用体验以及日常运维管理技巧。
在分布式数据库领域,TiDB 以其兼容 MySQL 协议、水平扩展能力强和强一致性的特性,成为越来越多企业核心业务系统的首选。然而,在实际应用中,我们经常会遇到等问题,尤其是在高并发读写场景下。本文将结合真实项目经验,深入剖析 TiDB 中常见 SQL 性能瓶颈,并提供一套可落地的优化方案。
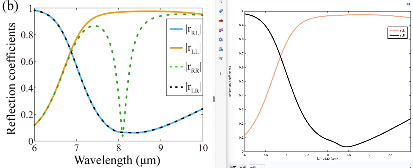
Comsol无偏振转换吸收器多重干涉理论。包含透反射计算,S参数特殊处理,Matlab脚本等。在研究Comsol无偏振转换吸收器时,多重干涉理论是其中的关键要点。多重干涉发生在吸收器的多层结构中,不同层之间的界面会导致光的多次反射和干涉,这对于吸收器的性能有着决定性的影响。
传统关系型数据库无法水平扩展NoSQL不支持完整的SQL和事务需要强一致性但又要高可扩展性OceanBase(蚂蚁金服)YugabyteDBTiDB:MySQL兼容 + HTAP能力强:PostgreSQL兼容 + 地理分布强强一致:Raft协议保证水平扩展:自动分片和负载均衡MySQL技术栈 → TiDBPostgreSQL技术栈 → CockroachDB需要分析能力 → TiDB需要全球化部
作者: 数据源的TiDB学习之路 原文来源:近年来,人工智能技术以前所未有的速度向前跃进,大模型、智能体、生成式AI等概念不断刷新我们对技术的认知。然而,在光鲜的技术表象之下,AI的深入发展和实际落地仍面临多重关键挑战。本文将深入剖析这些挑战,并分享TiDB作为新一代数据库,如何为AI时代构建坚实的数据基石。
TiDB 社区版和平凯数据库(TiDB 企业版)并非 “优劣之分”,而是 “阶段适配之分”:社区版是 “入门探索工具”,以开源自由为核心,适合技术验证、轻量非核心业务,帮助团队快速了解 TiDB 分布式架构,零成本完成从 0 到 1 的尝试;企业版是 “生产落地解决方案”,以稳定、合规、高效、省心为核心,在开源内核基础上做了全维度的企业级优化,搭配全流程原厂服务,解决企业核心业务从 “落地到规模化
Tidb 运维
2.Flow3d 软件操作过程介绍详细,包含二次编译文件及过程(含二次编译软件安装包),具有两种模型(各种常见物理模型具有涉及)包含单道,双道,激光功率,扫描速度,蒸汽反冲力,马兰格尼对流,热通量,孔隙,激光光斑直径,表面张力等都有涉及。2.Flow3d 软件操作过程介绍详细,包含二次编译文件及过程(含二次编译软件安装包),具有两种模型(各种常见物理模型具有涉及)包含单道,双道,激光功率,扫描速度
TiDB 结合行存储与列存储能力,通过TiKV 行存(OLTP)TiFlash 列存(OLAP)PD 调度TiDB SQL 层的架构,实现实时 OLTP 与低延迟 OLAP 混合处理;TiDB SQL 层在执行计划中智能选择访问行式或列式存储,从而实现真正的 HTAP 能力。HTAP 运行原理简要图示(逻辑层)组件作用SQL 解析/优化/执行,兼容 MySQL 协议全局调度与元数据管理TiKVro
三相负载dq阻抗扫频测量,通过扫频法测量三相RLC负载的dq阻抗,注意不是序阻抗而是dq阻抗仿真组成及功能:1.主电路:由电网三相交流电源(相电压峰值311V,频率50Hz)、正负序三相交流电源和RLC负载组成2.控制模块:由主控制程序和dq变换模块组成3.观测模块:示波器仿真具体功能、特点:1.正负序三相交流电源模块由分别由5个正序电压源和5个负序电压源组成,每次运行仿真的扫频点数可自行设置,最
Docker 部署 TiDB 伪集群的核心是足够的内存分配和正确的 PD 地址配置16GB 物理内存需为 Docker 分配 ≥ 8GB,同时限制 TiKV 内存 ≤ 2GB容器间通信依赖 PD 的配置为验证集群的关键是通过 MySQL 客户端/可视化工具成功连接并执行 SQL。
QT C++百度ren脸识别综合示例,源码1、集成活体检测、人脸检测、人脸注册、人脸检索、人脸对比等功能,这几项百度开放免费使用额度,参考https://ai.baidu.com/ai-doc/OCR/fk3h7xu7h。2、通用模式,用户只需要将百度人脸识别应用的API key和Secret key写入即可使用。3、源码支持mingw和msvc编译,无乱码。4、软件无后门,不会收录用户参数,请放
comsol异形超表面手性消光圆二向色镜在光学领域,超表面技术正引领着一场变革,尤其是在构建具有独特光学特性的元件方面。今天咱们来聊聊 Comsol 模拟下的异形超表面手性消光圆二向色镜,这可是个有趣又充满挑战的研究点。
源码扔到Android Studio直接能跑,建议用Pixel 3 API 29的模拟器,数据持久化表现最稳定。最近搞了个实用的小玩意儿——基于Android Studio的本地备忘录项目,麻雀虽小但登录注册、增删改查这些基本功都齐活。整个项目走的是极简路线,但该有的数据关联、事务处理、UI绑定一个不少。项目直接导入即可运行,推荐Android studio版本大于3.5,运行手机版本9或10。项
本文将详细介绍一种基于三环位置速度电流伺服控制系统的控制模型,采用线性自抗扰(LADRC)控制和电流转矩前馈控制方法,以提高系统的控制效果和稳定性。位置环LADRC 然后把位置环和速度环整合成一个环 所以整体是位置速度复合环+电流环 电流环用的PI 线性自抗扰+转矩前馈 中间那一段时间的波动是加入扰动的时间。位置环LADRC 然后把位置环和速度环整合成一个环 所以整体是位置速度复合环+电流环 电流
在总体框架设计上,苏大附一院湖仓一体化的新一代数据中心基座主要由汇聚、管理与应用三个层面组成,从而实现“统一汇聚输出、集中管理服务与全面智慧应用”的数据管理应用体系,以“一体化管理、高品质医疗”的模式为医院高质量发展提供坚实助力,实现医院资源整合共享,提高诊疗质量、科研能力、工作效率和管理水平。医院构建了自有、专业、自主的医疗大模型中台,推出了分诊导诊智能体、病历结构化智能体、科研论文智能体、报告
TiDB 是一款开源的分布式 NewSQL 数据库,兼容 MySQL 协议,支持水平扩展、强一致性和高可用。本文详细介绍如何在三台虚拟机上从零搭建一个生产级(简化版)TiDB 集群,并配置 HAProxy 作为统一的数据库访问入口(VIP 效果)。整个过程包括环境准备、TiUP 部署、配置优化、问题排查和最终验证,旨在帮助读者快速上手 TiDB 运维。至此,我们成功在三台虚拟机上部署了一个高可用的
让开发者像使用单机 MySQL 一样,轻松驾驭 PB 级分布式数据库。对开发者:告别分库分表,专注业务逻辑对 DBA:自动扩缩容、自愈、可视化运维对企业:一套系统支撑交易+分析,降低 TCO(总拥有成本)🌐开源地址📚官方文档如果你正在面临MySQL 扩展瓶颈或需要实时分析能力,TiDB 是一个值得认真评估的现代化数据库解决方案。
揭开"仿宋"和"仿宋_GB2312"的神秘面纱。「2026 平凯数据库新品分享会」议程来了。新疆之行(六星街 - 伊昭公路 - 夏塔)Linux的"aarch"是多了个"a"?微信公众号:@bisal的个人杂货铺。"红警"游戏开源代码带给我们的震撼。头条号:@bisal的个人杂货铺。
基于vivado的ad9680 FPGA芯片测试1g采样率lane4verilog编写,包括配置ad,配置时钟,jesd204b接收在FPGA开发领域,与高速ADC芯片如AD9680协同工作是一项充满挑战但又极具乐趣的任务。今天咱们就聊聊基于Vivado平台,针对AD9680芯片,实现1G采样率且4通道(lane4)的FPGA测试程序,并且是用Verilog语言来完成哦。
车辆参数m1 = 1000;% 车辆簧上质量m2 = 200;% 车辆簧下质量k1 = 20000;% 车辆悬架刚度% 轮胎刚度c1 = 1000;% 车辆悬架阻尼c2 = 2000;% 轮胎阻尼% 桥梁参数L = 50;% 桥梁长度EI = 1e7;% 桥梁抗弯刚度rho = 1000;% 桥梁单位长度质量% 桥梁固有频率% 轨道不平顺参数A = 0.01;% 不平顺幅值% 不平顺波长这段代码定
污水处理施耐德TM218PLC程序,SoMachine V4.3软件设计,带软件下载链接,带io分配和注释最近做了一个污水处理相关的施耐德TM218 PLC项目,用SoMachine V4.3软件进行设计,在这里和大家分享一下整个过程,还会给出软件下载链接以及详细的IO分配和注释。
TiDB 社区邀您新年“湘聚”,与行业实践者、技术专家共话数字化转型下的企业创新与实践!即可赢取 TiDB 社区多款重磅周边:双肩包、登山杖、咖啡杯、手机支架、《分布式数据库 TiDB:原理、优化与架构设计》书籍等。揭开"仿宋"和"仿宋_GB2312"的神秘面纱。新疆之行(六星街 - 伊昭公路 - 夏塔)Linux的"aarch"是多了个"a"?
最近在搞时间序列预测的项目,偶然发现把粒子群优化(PSO)和RBF神经网络搭配使用效果贼溜。先剧透个实验结果:相同数据下PSO+RBF的预测误差比传统BP神经网络低了38.6%!最后放个效果对比图(假装有图),蓝色是真实曲线,红色是PSO+RBF预测结果,灰色是传统BP网络的结果。明显看到在波峰波谷处,PSO优化后的预测更贴合真实数据。传统RBF的参数通常用K-means确定中心点,但这次我们用P
TiDB启动失败核心原因是PD的–advertise-client-urls配置缺失,导致地址解析错误容器环境下TiDB的–path参数无需添加http://协议头,直接使用pd:2379即可精简镜像无基础命令时,优先通过宿主机测试网络连通性,而非容器内排查ExitCode=1且日志为空时,优先排查参数错误和依赖服务地址配置。
本文总结了 TiDB 用户如何基于 DeepFlow 构建全栈可观测性的最佳实践,包括如何用 DeepFlow 高性能、零侵扰的可观测技术消除全链路追踪在 TiDB 侧的盲区,如何在 DeepFlow 中统一观测业务全景、SQL 事务全过程、网络性能、系统资源性能、文件读写性能、应用函数性能,从而为 TiDB 及其上应用构建出统一、立体、全方位的可观测性能力。
在工业自动化领域里,西门子1200系列PLC的编程总是带着点"理工男"特有的浪漫——用严谨的逻辑解决实际问题。这次分享的水处理项目程序包,就是个典型的实战案例。打开博图V16工程,你会发现程序结构里藏着几个SCL编写的宝藏功能块,咱们挑几个有意思的来拆解。仿真模式才是这套程序最过瘾的地方。这在甲方改需求如同吃饭的现场环境里,简直是难得的清流。这个块的厉害之处在于把原始AD值转换成真实的物理量,比如
这个研究是基于魏建平的《裂隙煤体注浆浆液扩散规律及变质量渗流模型研究》。在这个研究里,考虑不同注浆压力,进行各种压力下的注浆封堵模拟。结果发现,沉积颗粒浓度会随着注浆压力增大而变大,而渗透率呢,恰好跟它呈负相关。这背后的原理其实挺有意思的,想象一下,压力越大,更多的颗粒被“挤”进了裂隙,慢慢地就会堵住一些通道,导致渗透率下降。
遮阳条件下的光伏系统模型,并在正常条件下使用粒子群优化算法估算光伏系统参数。采用双积分滑模算法,根据太阳辐照度和环境温度的变化,跟踪光伏系统的最大功率点。在光伏系统的研究领域,如何在复杂环境下实现高效稳定的能量转换一直是关键课题。今天咱们就来聊聊遮阳条件下的光伏系统模型,以及如何利用算法进行参数估算与最大功率点跟踪。
Oracle用的时间格式化函数为TO_DATE,转换到TiDB的时间格式化函数为STR_TO_DATE。全局搜索项目中的STR_TO_DATE函数,并按如下方式进行整改:STR_TO_DATE(#{APLY_DT},’%Y-%m-%d’)的写法直接改成STR_TO_DATE(#{APLY_DT})即可,按上述写法,TiDB可兼容入参为’20230101’、’2023-01-01’、’2023/01
整个项目从设计到调试完成用了差不多一个星期。虽然中间遇到了不少问题,比如阀门的控制时序不对、模拟量采集不稳定等,但通过不断试验和调整,最后都解决了。基于西门子PLC多种液体混合装置系统程序 基于西门子S7-300PLC的液体混合装置程序。使用西门子博图V15.1及以上版本打开本程序用的西门子300 PLC,程序都有注释。文件包括plc程序、IO接线图和IO地址分配表。本程序为必社程序。我觉得这个项
3dec7.0单轴压缩实验。3dec三轴试验内容包含计算命令流,计算结果,计算结果真实有效,该命令对相关实验模拟具有一定参考性。在岩土工程等诸多领域的研究中,3dec 数值模拟软件发挥着重要作用。今天咱就来唠唠 3dec 里单轴压缩实验以及三轴试验的那些事儿,顺便附上超实用的计算命令流,还有真实有效的计算结果分析。
我们的仿真系统基于Matlab平台,结合CPLEX工具箱来解决优化问题。风光电源:风力发电和光伏发电,输出功率受天气影响。柴油发电机:作为备用电源,当风光出力不足时启动。储能系统:用于调节系统功率平衡,平滑风光出力的波动。上级电网:在必要时与主网进行电力交易。电动汽车(V2G):通过分时电价模型优化充放电行为。整个系统的目标是最小化综合成本,包括燃料成本、运行维护成本、环境成本(碳排放)、弃风光惩
通过MPC、Carsim和Matlab的联合应用,我们可以实现一个高效且精确的车辆自适应巡航控制系统。MPC通过预测系统未来的行为来优化控制策略,Carsim提供了精确的车辆动力学仿真,而Matlab则提供了强大的数值计算和控制算法设计工具。这三者的结合,使得ACC系统能够在复杂的交通环境中保持安全距离,并提供舒适的驾驶体验。在未来,随着智能驾驶技术的不断发展,MPC和其他先进控制方法将在车辆控制
NVMeHA这玩意儿乍看是硬件加速,实则是软硬协同的精细活。FPGA负责扛住高吞吐量的数据流,CPU在后台摸摸鱼搞搞管理队列,这才是真正的“共同富裕”。不过别忘了,硬件加速不是银弹,真要把4K随机读写压到极致,可能还得和主控固件工程师约个架——但至少,NVMeHA让你有了上擂台的资格。(测试代码和比特流配置已丢在Github:https://github.com/xxx/nvmeha-lab,欢迎
通过Comsol建模和Matlab分析,我们可以方便地计算一维光子晶体的Zak相位,从而研究其拓扑性质。这种方法为设计新型拓扑光子器件提供了理论支持。未来,可以进一步研究二维或三维光子晶体的Zak相位,探索更复杂的拓扑现象。
1月3日消息,近日,中国中煤能源集团有限公司(简称“中煤”)在金仓企业级统一智控平台KEMCC的支撑下,成功上线了生产运营管控体系,涉及智控平台及其支撑的50+生产运营系统,成为能源行业首例裸金属多数据库实例多租户部署的国产化替换项目,拉通中煤的煤炭、电力、化工、销售等业务链条,为“煤与煤电”“煤电与新能源”联营提供数据支撑。目前,GBase数据库已覆盖金融主管单位、政策性银行、国有大行、股份制银
LLC全桥仿真,matlab,有配套增益、伯德图分析,文档在电力电子领域,LLC全桥变换器凭借其软开关特性、高效性等优点,被广泛应用于各类电源系统。今天咱就聊聊如何用Matlab对LLC全桥进行仿真,并配套做增益和伯德图分析,还会提及相关文档整理。
carsim交通场景搭建,carsim与matlab,prescan联合仿真,巡航、路径规划及换道控制算法,cpar文件输出及场景图生成在自动驾驶领域的研究与开发中,搭建逼真的交通场景并进行精确的算法仿真至关重要。今天咱们就来唠唠 Carsim 交通场景搭建,以及它与 Matlab、Prescan 的联合仿真,顺带讲讲巡航、路径规划及换道控制算法,还有 cpar 文件输出和场景图生成这些有趣的事儿
西门子200PLC和英威腾GD变频器的Modbus通讯其实就三层窗户纸:接线、参数配置、程序编写。咱用S7-200的Port0口,用RS485半双工方式连接,记得A接A+,B接B-,别手抖接反了。比如参数4010实际填4009,但西门子库会自动+1,所以直接填4010就行。这段每个扫描周期都得跑,重点看参数:9600波特率,无校验,超时1秒。比如要设25Hz,实际发送2500,得先把实数转成整数。
平凯数据库已在金融、运营商、能源、医疗、电力、政企等多个行业的关键业务系统中得到了广泛应用,成功实现了对 Oracle、MySQL 、SQLServer 等传统数据库的国产化替换。刘奇在信中给出了一个极具冲击力的判断——数据库的主要使用者,正在从“人类开发者”转向“AI Agent”;在 AI 放大一切的时代,连接的广度与深度,正在决定新的可能性边界。当“连接”从技术能力变成一种时代隐喻,TiDB
这套系统最骚的操作在于它的双版本配置,1200PLC配KTP面板是西装暴徒,200smart搭昆仑通泰就是工装裤战神。凌晨三点的工厂车间突然响起除尘系统警报,我叼着焊枪从设备堆里钻出来,看着中控屏上跳动的红色故障码,突然意识到这套西门子脉冲除尘系统的PLC程序该升级了——这玩意儿就像个挑食的吸尘器,参数调不好就跟你闹罢工。站在沾满粉尘的触摸屏前,看着重新稳定运行的绿色状态条,突然觉得这堆PLC代码
原理图直接扔立创EDA画的,三层板布局把PWM驱动和采样电路隔开,防止高频干扰把信号吃掉了。最后扔个实测波形(假装有图):黄色是注入的高频电压信号,蓝色是解调后的位置误差信号。当电机转速超过200rpm时,高频注入会自动切换成滑模观测,这个切换逻辑的代码在state_machine.c里藏着。这个配置让ADC在PWM中点时刻采样电流,正好捕捉到高频信号的幅值变化。f4平台的高频注入,keil版本,
三相不平衡电压下级连H桥五电平并网逆变器并网控制,SPWM调制,正负序分离控制1.采用正负序分离锁相环以及正序PI控制,负序PI控制2.采用中点电位平衡控制-零序电压注入法3.提供参考文献提供仿真源文件,电流环参数设计,正负序分离方法详解。支持simulink2022以下版本,联系跟我说什么版本,我给转成你需要的版本(默认发2016b)。在电力电子领域,三相不平衡电压条件下的并网逆变器控制一直是研
本文分享了提升代码质量的10个TiDB工程实践技巧,涵盖用户认证系统的完整实现方案。重点包括:1)采用PostgreSQL+Redis数据库架构设计;2)实现JWT认证与RBAC权限控制;3)完善的日志审计功能;4)测试驱动开发与CI/CD流程;5)Docker容器化部署方案。通过具体代码示例展示了用户注册、登录、权限校验等核心功能的实现,强调先设计后编码、测试覆盖和环境隔离的重要性。
不管是 PCTA 还是 PCTP 考试,首先建议还是要看看官方视频课程,可 1.5 倍速播放,像我一样总结视频笔记,对于课后测试题以及动手实验部分,一定要认认真真做一遍,虽然不考实验,但动手实操能让你更加理解技术细节和原理;其次多看官方文档,自己总结归纳,PCTP 的考试内容偏向实践,各种备份和数据同步工具 BR、DM、TiCDC、、dumpling 和 lightning 等相关考试内容也不少,
C# Winform 局部放大功能,鼠标位置捕捉源代码 底层API、源码特点一款非常简单的局部放大功能源码,鼠标动态定位功能、GDI+绘图技术,适合初学者学习使用1、局部放大功能,鼠标经过之处,局部放大在 C# Winform 的开发世界里,实现一个局部放大功能是一件有趣且对初学者很有帮助的事儿。今天咱就唠唠这用底层 API 结合 GDI+ 绘图技术打造的简单局部放大功能,还会带上鼠标位置捕捉的源
tidb
——tidb
联系我们(工作时间:8:30-22:00)
400-660-0108 kefu@csdn.net