登录社区云,与社区用户共同成长
邀请您加入社区
概念原理比喻序列数据数据元素按顺序排列,当前理解依赖历史上下文,长度不固定图像像摊开的地图,一眼可见整体;语言像正在播放的语音或文字流,需要顺序感知全连接网络处理序列只能接受固定长度输入,无法天然感知顺序只是把所有词拼成一个长向量,模型看不到先后顺序卷积网络处理序列能捕捉局部连续模式(短距离依赖),感受野有限,长距离依赖不高效卷积像扫描局部片段,而不是沿时间轴理解整句话的发展感受野 (Recept
S32k144,S32K148的boot,网络,uds,标定程序订做,包含uds烧写上位机在汽车电子和嵌入式系统开发领域,NXP的S32K144和S32K148芯片凭借其高性能和丰富的外设,成为众多开发者的心头好。今天就来聊聊针对这两款芯片的Boot、网络、UDS以及标定程序的定制开发,并且还包含UDS烧写上位机哦。
本文系统介绍了RAG系统中的多跳问答技术。多跳问答通过分步推理解决复杂问题,需要多个知识片段的逻辑关联才能得出最终答案。文章分析了四大解决方案:迭代检索、查询分解、图推理和Agent框架,并探讨了混合策略的最佳实践。实际应用中,多跳问答显著提升了金融分析、医疗咨询等场景的准确率和效率,但也面临延迟增加、成本上升等挑战。未来发展趋势包括Agent范式普及、端到端训练和实时知识更新等。多跳问答不仅提升
本文针对海量新闻文本场景下信息过载、人工摘要效率低以及用户难以快速获取核心内容等问题,设计并实现了一套基于 LSTM 的新闻文本摘要系统。系统以新闻标题与新闻正文为输入,围绕“文本预处理—模型训练—摘要生成—结果展示”构建完整流程,旨在 提升新闻信息的提炼效率与系统展示性,为新闻内容智能处理提供可实现的工程方案。
本文介绍了一种分步式医学事实核查系统,该系统通过大型语言模型(LLM)迭代生成问题、收集证据并验证医学主张的真实性。研究比较了传统三阶段流程(文档检索、证据提取、判决预测)与新型分步式方法在三个医学数据集(SCIFACT、HEALTHFC、COVERT)上的表现。结果显示,分步式系统显著提升了F1分数(最高提升5.2),特别是在处理复杂医学概念时优势明显。研究还探讨了内部/外部知识源、谓词逻辑推理
摘要: 多任务学习(MTL)在2015-2025年间经历了三大技术演进:从硬参数共享的早期探索(2015-2017),到动态路由与自动化权衡的精细化阶段(2018-2022),最终发展为全任务对齐与内核级资源调度的智能时代(2025)。核心突破包括:通过MoE架构缓解任务冲突、动态权重算法实现自动化优化,以及eBPF驱动的算力调度确保实时性。2025年的MTL已融入系统本能,支持异构任务协同、跨任
2015-2017年深度学习创业浪潮回顾:本文聚焦RNN/LSTM技术红利期,分析第一代大模型架构催生的创业生态。以深鉴科技为典型案例,剖析"算法+芯片"模式的机遇与挑战,揭示垂直场景落地难、资本泡沫等共性问题。尽管多数企业未能存活,但这场启蒙运动培育了首批AI人才,验证了关键技术路径,为后续发展奠定基础。文章提炼出技术窗口期短暂、垂直深耕重于技术广度等核心启示,对当前AI创业
《RNN/LSTM技术考古:序列建模的思想火炬》摘要(149字) 本文深度剖析RNN/LSTM这一"古典架构"的技术脉络。从RNN的梯度消失困境,到LSTM通过门控机制构建"记忆宫殿"的突破,揭示了第一代大模型架构如何统治2010年代中期的AI浪潮。尽管Transformer取代了其主流地位,但LSTM的状态维护思想、时序归纳偏置和门控机制等核心遗产,仍深刻
本文系统介绍了向量与文本处理的基础概念及应用。首先阐述了向量的定义及其与矩阵的关系,指出向量是矩阵的特殊形式,并通过分量确定方向。其次详细讲解了向量的运算方法,包括点积、模和范数,以及余弦相似度的计算原理。在文本处理部分,介绍了文本预处理的步骤、向量化方法(如Word2Vec)和归一化技术(最小-最大、Z-score、L2归一化)。最后探讨了词向量、嵌入矩阵和潜空间的概念,说明词向量将语义关系转化
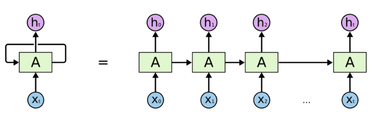
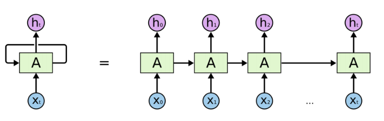
本文系统介绍了循环神经网络(RNN)的原理与应用。首先分析了序列数据的特点和建模挑战,包括变长输入、时序依赖和参数共享需求。详细讲解了RNN的基本结构、数学定义和计算图展开方式,以及多对一、多对多等不同架构。重点推导了RNN的前向传播算法和时间反向传播(BPTT)过程,通过数学分析揭示了梯度消失/爆炸问题的本质原因。文章还对比了RNN的多种变体结构,并提供了NumPy和PyTorch实现示例。最后
定义好好词表和标签表本身后,我们还需要定义第一个编码函数,它的作用就是把文本信息对照词典转换为计算机能理解的编码。我们下一步就会通过这个函数来处理数据集。同时,这一步还像是之前卷积网络中的 transform 方法,把在输入模型前,把数据转换成 PyTorch 要求的Tensor 张量。不过和图像不同的是,这里处理的是文本序列。而 transform 针对的是图像数据,且处理逻辑也不同,因此并不能
概念原理比喻双向 RNN(Bidirectional RNN)在时间维度上引入正向和反向两条独立状态链路,每个时间步同时利用过去和未来上下文信息。适用于序列标注与整体理解任务。可以与 RNN/LSTM/GRU 结合,形成 Bi-RNN、Bi-LSTM、Bi-GRU。序列比作桥,两队工人从两端同时施工并交流进度,确保精准,但施工队伍翻倍,成本增加。深层 RNN(Deep RNN)在同一时间步上堆叠多
概念原理比喻不同类型的 RNN根据输入序列长度 �� 与输出序列长度 �� 的对应关系,RNN 可适配不同任务结构,如分类、序列标注、生成等不同规格的传送带:有的只收一件吐一件,有的收一排给一个结果语言模型(LM)建模序列的条件概率分布 �(��∣�<�),在已知前文的情况下预测下一个 token根据已经写下的内容,猜作者下一笔会写什么语言模型的训练逻辑在时间步 �,用前 �−1 个 token
概念原理比喻序列数据数据元素具有明确顺序,当前理解依赖历史上下文一句话的意思要从前往后读,不能只看中间一个词。时间步 �序列中第 � 个位置,用于展开时间维度时间轴上的第 � 帧画面。输入 �第 � 个时间步送入模型的输入向量当前这一秒你听到的一个词。预测输出 �^模型在第 � 个时间步给出的预测结果听到一句话后,此刻你做出的判断。序列长度 ��,��输入序列与输出序列的长度(可相同或不同)一段话
AI Agent十年演进:从游戏玩家到数字员工 2015-2025年,AI Agent经历了三大技术纪元: 强化学习期(2015-2018):以AlphaGo为代表,具备反应式能力但泛化性差; 大模型规划期(2019-2023):LLM成为核心,实现任务拆解与工具调用(如AutoGPT); 2025具身智能时代: 内核级安全:通过eBPF实时审计系统调用,阻断越权操作; 多Agent协作:专家群组
摘要: AutoGPT从2015-2025年的演进,经历了三个阶段:早期强化学习探索(2015-2022)、2023年爆发期的目标拆解与工具整合(但存在成本高、死循环问题),到2025年发展为具备工业级鲁棒性的“数字员工”。关键技术突破包括:推理原生内核优化、eBPF驱动的内核级安全约束,以及LangGraph状态机的可控自主性。2025年的AutoGPT通过eBPF实现毫秒级异常拦截,支持多Ag
八年前,《Attention Is All You Need》只是一篇看似普通的会议论文;八年后,它已成为一个时代的宣言。从RNN的漫长困局,到注意力机制的灵光一闪,再到Transformer横空出世并最终席卷全球,我们见证的不仅是一个算法架构的迭代,更是一场彻底改变人类认知边界的技术革命。技术的进步,往往源于打破固有认知的桎梏,去解决那些曾被认为无解的问题。如今,我们依然站在这场革命的浪潮中心。
Bi-LSTM即双向LSTM, 它没有改变LSTM本身任何的内部结构, 只是将LSTM应用两次且方向不同, 再将两次得到的LSTM结果进行拼接作为最终输出。我们看到图中对"我爱中国"这句话或者叫这个输入序列, 进行了从左到右和从右到左两次LSTM处理, 将得到的结果张量进行了拼接作为最终输出. 这种结构能够捕捉语言语法中一些特定的前置或后置特征, 增强语义关联,但是模型参数和计算复杂度也随之增加了
摘要: 本文介绍了循环神经网络(RNN)的基本原理及其在PyTorch中的实现。RNN通过隐状态机制处理序列数据,解决了前馈网络无法记忆历史信息的问题。文章详细讲解了RNN的核心计算过程,包括隐状态更新和输出生成公式。在PyTorch实现部分,重点说明了nn.RNN模块的关键参数配置、输入输出张量形状要求,并给出了一个包含RNN层和线性层的简单模型实现示例。该模型适用于序列分类任务,展示了如何将R
通过上述设置,风储联合参与系统一次调频,从仿真结果来看,系统的频率特性表现良好。风电的虚拟惯性控制和储能的下垂控制相互配合,在系统频率波动时,能够快速响应并提供必要的功率支撑,有效地抑制了频率的过度变化。这种基于MATLAB的风储联合一次调频仿真模型为我们深入研究电力系统在高比例风电接入下的频率稳定性提供了有力工具,也为实际电力系统的运行和控制策略优化提供了重要参考。后续我们还可以进一步调整参数、
本文系统梳理了循环神经网络(RNN)及其改进模型LSTM和GRU的核心原理与演进脉络。基础RNN通过隐藏状态传递时序信息,但存在梯度消失问题;LSTM创新性地引入门控机制和细胞状态,有效解决了长期依赖问题;GRU作为轻量版LSTM,合并门控减少参数,在保持性能的同时提升效率。文章详细分析了各模型的结构特点、数学公式及适用场景,并给出多层RNN构建方法和实践应用建议。模型选择应综合考虑数据规模、任务
《思维链(Chain-of-Thought):让AI"一步步思考"的提示技术》 思维链是一种引导大语言模型通过中间推理步骤解决问题的技术,要求AI展示完整的思考过程而非仅给出最终答案。这种技术显著提升了AI处理复杂推理任务的准确性,如数学计算、逻辑推理和常识判断等场景。其工作原理受人类认知过程启发,通过分步处理和自我监控模拟人类推理。实现方式包括零样本思维链、少样本思维链和自洽
迁移学习(Transfer Learning)是机器学习的一个重要分支,其核心思想是:将在源领域(Source Domain)学到的知识迁移到目标领域(Target Domain),从而减少对目标领域大量标注数据的依赖。用一个形象的比喻:假设你已经学会了骑自行车(源任务),那么学习骑摩托车(目标任务)会容易得多,因为你已经掌握了平衡感、转向控制等通用技能。迁移学习正是利用这种"知识复用"的能力。给
本文介绍了图神经网络(GNN)的基本概念和主要模型。首先阐述了图数据的数学表示方法,包括邻接矩阵、度矩阵和图拉普拉斯矩阵的定义。然后详细讲解了GCN图卷积网络的谱域和空间域推导过程,分析其局限性。接着介绍了GAT图注意力网络的注意力机制和多头注意力设计。最后讨论了GraphSAGE的归纳式学习框架,包括采样策略和聚合函数。全文系统性地介绍了GNN的基础理论和关键技术,为处理非欧几里得数据结构提供了
《AI量化学习手记》系列首篇文章记录了作者从零开始学习AI量化的真实经历。文章以文科生的视角,分享了3个月入门过程中的关键方法和工具: 学习策略:采用"干中学"模式,通过具体项目(LSTM预测股价)驱动学习,避免"收藏家"陷阱 工具组合: 定制AI导师(DeepSeek)提供学习路径指导 NotebookLM构建个人知识库,快速掌握核心概念 Notion A
摘要:本文系统介绍了循环神经网络(RNN)及其变体LSTM和GRU。RNN通过隐藏状态传递序列信息,适用于文本、语音等时序数据,但存在梯度消失问题。LSTM通过遗忘门、输入门和输出门控制信息流,能有效捕捉长距离依赖。GRU简化了LSTM结构,合并为更新门和重置门,在保持性能的同时提高效率。文章详细分析了各模型的结构特点、参数配置及适用场景,并通过PyTorch代码示例展示了具体实现方法。
本文探讨了循环神经网络(RNN)在序列建模中的梯度问题。文章首先指出RNN在实际训练中表现出"短视"特性,难以记住长距离信息,其核心原因是反向传播中的梯度消失问题。通过数学推导分析了梯度消失的本质,并对比了梯度爆炸现象。文中用语言模型案例说明梯度消失如何影响模型捕捉长期依赖关系,最后介绍了梯度裁剪这一常用解决方案。作者将持续分享斯坦福CS224N课程相关内容,欢迎访问博客网站r
摘要: 本文探讨强化学习的五大前沿方向:1)世界模型与因果推理,提升环境模拟与泛化能力;2)层级强化学习,通过分层抽象处理复杂任务;3)元学习实现跨任务快速适应;4)神经符号AI结合深度学习的感知与符号系统的推理;5)量子强化学习的潜在优势。这些方向将推动强化学习在自动驾驶、机器人等领域的深度应用,同时面临可扩展性、计算复杂度等挑战。文章还提供了系统的学习路径建议,助力学术研究与工业实践。
本文系统介绍了RLHF(基于人类反馈的强化学习)技术在大语言模型对齐中的应用。主要内容包括:1)RLHF的三阶段流程(监督微调、奖励模型训练和强化学习优化);2)奖励模型的数学原理和训练方法;3)PPO算法在语言模型优化中的应用。文章详细阐述了RLHF如何解决预训练模型的目标不对齐、价值观缺失等问题,并通过Bradley-Terry模型将人类偏好转化为可优化的奖励信号。最后提供了完整的代码实现框架
读完长文忘头句?RNN就像玩聚会传话游戏,采用接力方式记忆上下文。但因“梯度消失”,导致信息在传递中被不断稀释。结果就像患了健忘症,只能记住最近的词。3分钟通俗带你直观理解RNN的短视与遗忘!
ga遗传算法优化的,python,各种分类算法,catboost,gbdt,lightgbm,logitboost,xgboost,优化后的有寻优过程。代码和数据集,5个都有。有文档说明,有简单说明。内容和结果,看图看图包括:XGBoost(eXtreme Gradient Boosting):极端梯度提升算法,是一种集成学习方法,通过串行训练决策树模型,不断迭代优化损失函数来提升模型性能。
燃料电池电池超级电容复合能量管理策略simulink仿真模型燃料电池/电池/超级电容复合能量管理策略1、传统PI;2、等效燃油(氢)耗最低(ECMS);3、等效能耗最低(EEMS);4、分频解耦。适用于混合储能能量管理方向,城轨交通,电动汽车,微电网方向等在当今能源转型的浪潮下,混合储能系统在多个领域如城轨交通、电动汽车以及微电网等有着举足轻重的地位。而燃料电池/电池/超级电容复合能量管理策略更是
最近30天在HF和ollama有2190次模型下载,4月发布G1f
如何正确处理API串行调用的局部失败 摘要 本文探讨了处理串行调用三个外部API时的错误处理策略。常见错误是使用单一的try/catch包裹所有调用,导致无法区分失败步骤和无法部分恢复。文章提出了三种策略: 强依赖链:适用于步骤严格依赖的场景,任一失败即中止,但会明确标注失败位置并提供部分数据 弱依赖降级:适用于独立步骤,使用Promise.allSettled并发执行,失败步骤用默认值填充 带重
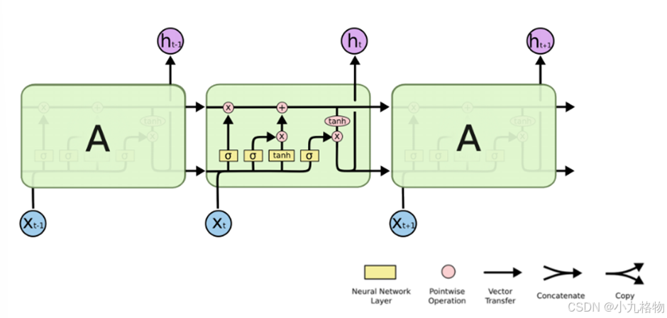
LSTM通过门控机制解决了RNN的长期依赖问题。其核心在于将信息存储(细胞状态)和输出(隐藏状态)分离,通过遗忘门、输入门和输出门三个智能"闸口"来控制信息流动:遗忘门决定丢弃哪些旧信息,输入门筛选重要新信息,输出门提取当前所需信息。这种机制使LSTM能像专业档案管理员一样,有效保存关键信息(如"法国")并在需要时调用(如理解"法语")。
LSSVM(最小二乘支持向量机):它是支持向量机在求解二次规划问题时的一种改进,将传统支持向量机中的不等式约束变为等式约束,从而简化了计算过程。用数学公式表达就是,给定训练样本集 $\{(xi, yi)\}i \in R$,LSSVM试图找到一个函数 $f(x) = w^T\varphi(x) + b$,使得 $\sumi - f(xi))^2$ 最小,同时满足正则化条件 $\frac{1}{2}
摘要:RNN(循环神经网络)是语言模型发展中的关键环节,介于N-grams和Transformer之间。RNN通过"隐藏状态"传递信息,解决了N-grams的局部视野问题,但仍存在长距离遗忘缺陷。LSTM通过"门控机制"改进记忆能力,而Transformer则采用自注意力机制实现全局关联。三者对比:N-grams仅局部统计,RNN/LSTM顺序处理但记忆衰减
光伏储能虚拟同步发电机(VSG)仿真模型光伏:前级光伏模块采用最大功率点跟踪(MPPT)控制策略,仿真中最大功率保持跟踪,0.5S时提升光照,最大功率由15KW增加至19KW储能电池:采用电压电流双闭环控制,电压环稳定直流母线电容电压,电流环控制电池充放电电路,直流母线稳定在700V,波形非常稳定VSG:设置参考有功功率15KW功率平衡:光伏+储能=VSG输出(看下面仿真图)在能源领域不断探索可持
摘要:本文系统介绍了循环神经网络(RNN)的核心知识与应用。首先讲解了RNN的基本概念、序列数据特点及主要应用场景(如文本生成、机器翻译等)。重点剖析了词嵌入层的作用和RNN的工作原理,包括向量表示、语义保持和时序依赖捕捉。通过PyTorch代码示例展示了Embedding层和RNN层的API使用方法。最后以AI歌词生成为例,详细演示了从数据预处理、模型构建到训练预测的全流程,并总结了RNN在维度
本文系统介绍了循环神经网络(RNN)及其改进版LSTM的核心原理与应用。首先分析了传统神经网络在处理序列数据时的局限性,进而阐释RNN通过隐状态机制实现时序记忆的特性。重点探讨了RNN面临的长期依赖问题及其根源,详细解析了LSTM通过遗忘门、输入门和输出门组成的门控机制,有效解决梯度消失问题的创新设计。最后对比了RNN和LSTM在不同长度序列任务中的应用选择,指出LSTM因其优异的长程记忆能力,已
摘要:本项目基于MATLAB平台,利用循环神经网络(RNN)实现风电功率预测,旨在解决风电波动性和并网调度难题。项目包含数据生成、预处理、特征工程、LSTM模型构建、训练优化和可视化全流程。创新点包括:1)采用LSTM网络捕捉时序特征;2)多源数据融合;3)抗过拟合机制;4)端到端自动化建模。应用场景覆盖电网调度、风电场运维、电力交易等,通过高精度预测提升新能源消纳能力。关键技术包括滑动窗口样本生
摘要:OpenClaw部署的关键在于选择模型位置。云API(如Claude/GPT)提供高性能但存在数据泄露风险,所有交互数据会被发送到第三方服务器。本地Ollama模型能确保数据完全保留在本地,但需要强大硬件支持(建议24GB+显存运行30B+参数模型),且智能程度会有所下降。最佳实践建议采用混合架构:敏感任务用本地模型,非敏感任务用云API,或在本地模型表现不佳时切换云端。特别提醒必须设置网关
本文介绍了循环神经网络(RNN)的核心架构及其在自然语言处理中的应用。首先分析了传统神经网络在处理序列数据时的局限性,然后详细阐述了RNN的权值共享机制和隐藏状态的核心计算公式。文章重点讲解了如何构建RNN语言模型,包括词嵌入、隐藏状态更新和预测输出分布等关键环节。同时介绍了训练RNN时使用的交叉熵损失函数和Teacher Forcing策略,以及随时间反向传播(BPTT)算法的实现原理和优化技巧
rnn
——rnn
联系我们(工作时间:8:30-22:00)
400-660-0108 kefu@csdn.net