登录社区云,与社区用户共同成长
邀请您加入社区
最近使用Glide,莫名的图片加载不出来总是抛异常W/Glide: Load failed for http://xxx.xxx.xx/test.png with size [132x132]class com.bumptech.glide.load.engine.GlideException: Failed to load resource我使用的是4.8.0版本,需要配置G...
今天在加载Glide包的时候突然给我报了一个Error:Failed to resolve: com.github.bumptech.glide:glide:+ ,我的代码是这样的// 图片加载compile 'com.github.bumptech.glide:glide:+'关键是这个glide我之前用过啊,没出现问题,,带着疑问找到度娘,网上有说 glide必须有suppo
原本项目使用的glide加载图片好好的,最近突然加载不出图片了,感觉不是我的问题。折腾了一个晚上,上网搜索了很多的答案,结果都不行。报错如下:Load failed for https://image.地址忽略。。 with size [1080x563]class com.bumptech.glide.load.engine.GlideException: Failed to load reso
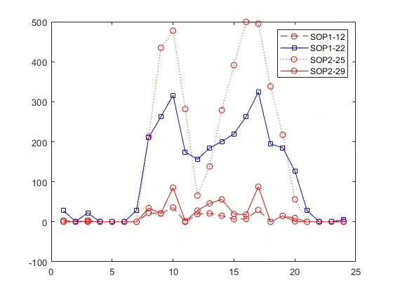
配电网电压与无功协调优化以最小化运行成本(包含开关动作成本、功率损耗成本以及设备运行成本)和电压偏差为目标函数,考虑分布式电源的接入,采用线性化和二次松弛方法,将非凸模型转化为二阶锥规划模型,通过优化变压器分接头位置,电容器接入组数以及sop的输出功率,实现电压与无功控制,并对多个场景进行对比分析。本文档针对“配电网电压与无功协调优化”MATLAB代码,从整体架构、核心模块功能、关键技术、目标函数
本文为Android开发者详细解析如何将本地项目上传至GitHub,并结合Android Studio的图形化工具实现高效的Git操作。首先,通过GitHub创建仓库、初始化本地Git、关联远程仓库、提交并推送代码,完成项目的云端托管,确保代码的安全性与团队协作便捷性。其次,重点介绍Android Studio内置的Git功能,包括仓库初始化、克隆远程项目、提交与推送更改、拉取远程更新、分支管理及
在Android应用开发中,图片加载是一个常见且关键的需求。Glide作为Google推荐的图片加载库,以其高效、易用和功能强大而闻名。本文将分享Glide的最佳实践,帮助开发者充分发挥其潜力,提升应用性能和用户体验。kotlin// 设置内存缓存大小// 设置磁盘缓存Glide是一个功能强大且灵活的图片加载库,通过遵循这些最佳实践,您可以显著提升应用的图片加载性能和用户体验。记住,始终根据您的具
Qua. It harnesses the principles of quantum mechanics to process information in ways that traditional computers cannot. This guide aims to provide a foundational understanding of quantum computing, it
X00132-用R语言解读传染病传播模型源码传染病模型原理:自由增长模型、SI模型、SIS模型、SIR模型用R语言手动实现基于EpiModel包的自动化实现如何获取新冠数据北京的数据带入模型预测在传染病研究领域,通过模型来理解疾病传播动态至关重要。今天咱们就用R语言深入探讨几种常见传染病模型的源码实现,包括自由增长模型、SI模型、SIS模型和SIR模型。
(含BAT、小米、华为、美团、滴滴)和我自己整理Android复习笔记(包含Android基础知识点、Android扩展知识点、Android源码解析、设计模式汇总、Gradle知识点、常见算法题汇总)面试成功其实是必然的,因为我做足了充分的准备工作,包括刷题啊,看一些Android核心的知识点,看一些面试的博客吸取大家面试的一些经验,
使用场景:Glide 适用于需高效加载图片、支持 GIF、且需严格内存管理的应用(如社交/电商类 App)。核心优势四级缓存:活动资源 + LRU 内存 + 磁盘 + 网络,平衡速度与内存。智能裁剪:按 ImageView 尺寸加载,避免内存浪费。无缝生命周期管理:通过空白 Fragment 自动化管理请求。优化建议优先使用RGB_565格式减少内存占用。根据场景选择磁盘缓存策略(如自定义OkHt
将实例的构建和使用分隔开,降低代码耦合度,可以实现对象的灵活配置 , 封装对象的创建逻辑,简化对象的使用,提供对象的复用和管理,说了这么多,我们来看下Glide怎么用的。glide 通过工厂构建不同类型的线程池,很好理解。每一个具体实例对应一个具体工厂例子:用来感知网络连接状态的接口ConnectivityMonitorFactory和 ConnectivityMonitor,和高层Request
很早之前就想写一个个人项目练练手,但是由于工作的关系,一直没有真正的开动(其实就是懒)。好吧,反正最近这几个星期稍微比较清闲,趁着这个机会,在空余时间撸了一个个人项目。一之简介“一之”是一款资讯类App,主要实现的内容如下:主页(知乎日报、每日新闻、微信精选)干货(每日推荐、干货定制、福利)影视(最新影视资讯,Top250电影推荐)书籍(文学类、文化类、生活类)个人(头像设置)项目地
Android MVP架构(RxJava+SQLBrite+Retrofit+OkHttp+Glide)
找工作是个很辛苦的事情,而且一般周期都比较长,有时候既看个人技术,也看运气。第一次找工作,最后的结果虽然不尽如人意,不过收获远比offer大。接下来就是针对自己的不足,好好努力了。最后为了节约大家的时间,我把我学习所用的资料和面试遇到的问题和答案都整理成了PDF文档,都可以分享给有需要的朋友,如有需要**【点这里】免费领取**《Android面试复习资料汇总》料和面试遇到的问题和答案都整理成了PD
kotlin - Glide生命周期管理-源码流程图
Weex Android 图片加载优化Android的weex界面中的图片加载是通过ImageAdapterl类来加载,阿里官方的例子中使用了Picasso图片加载框架来加载图片(鄙视他们),我们项目使用更好更优秀的Google官方推荐的Glide图片加载框架来为weex界面加载图片(一个隐藏的优化意见->使用Glide框架),所以以下优化方案都是针对Glide的优化。...
前言其实对于很多人来说,都和我原来有同样一个疑虑:**到底去大厂还是创业型公司?**去大公司一个萝卜一个坑,要往上走需要运气+实力足够好才能脱颖而出,创业型公司,可能更容易实现自己的想法和舞台,能把能力表现的淋漓尽致,可是会碰到更多的问题,公司经营不下去了怎么办?薪资待遇不如大厂?一丶大厂offer?我相信每个程序员的梦想都是得到大厂的offer,我觉得这很正常,这并不是我们的饭后谈资而是每...
Glide 相信大家都不陌生,各种源码分析,使用介绍大家应该都是烂熟于心。但是设置 Glide 的超时问题大家遇到过没有。我遇到了,并且掉坑里了,情况是这样的。调用接口从网络拉取用户头像,目前数据量不大,大致1000多个人。(用了自定义队列)使用 Glide 下载头像到本地沙盒 File (为了方便的缓存下次更快)。识别头像中的人脸信息,并生成人脸Bitmap,(本身有成功失败的处理与重试机制)生
Flutter作为跨平台的UI框架,其可行性已经被市场所认可。UI跨端后,我们自然会希望一些运行在终端的小服务也能跨端,特别是当这个小服务还涉及到一些 UI 的展示。我们希望Flutter能承担这个角色,让其跨端能力更进一步。在常规业务场景基本都不会使用dart开发后台服务;针对整机小型服务的需求,我认为Flutter还是挺香的,内存不存在隐患,还能前后端都跨平台。本篇文章,分享了整个shelf框
kotlin - Glide显示三角形图片,核心知识点:BitmapTransformation、Path、setXfermode
高效处理Bitmap使用Bitmap Pool使Bitmap复用,主动调用recycle回收需要回收的Bitmap,减小系统回收压力。下面是我学习用到的一些书籍学习导图,以及系统的学习资料。每一个知识点,都有对应的导图,学习的资料,视频,面试题目。当然,我们后续肯定会功能越来越多的,我把项目开源在Github上了,为了使用起来方便自己封装了下,同时也分享以下。大概就上面这几个步骤,这样学习不仅高效
本文分析了一个基于多智能体系统(MAS)一致性算法的电力系统分布式经济调度解决方案。该方案通过分布式协调方法,实现了发电机和负荷之间的功率平衡与经济效益优化,避免了传统集中式调度方法的单点故障风险和通信瓶颈。
在这里我和身边一些朋友特意整理了一份快速进阶为Android高级工程师的系统且全面的学习资料。涵盖了Android初级——Android高级架构师进阶必备的一些学习技能。附上:我们之前因为秋招收集的二十套一二线互联网公司Android面试真题(含BAT、小米、华为、美团、滴滴)和我自己整理Android复习笔记(包含Android基础知识点、Android扩展知识点、Android源码解析、设计模
二级缓存保存、数据加载流程、初始化与使用
本文提出 GLIDE,它表示,用于生成和编辑的图像扩散的引导语言。使用消融扩散模型 (ADM)架构,并以文本为条件信息对其进行增强。
使用策略模式实现不同图片加载框架的切换,使用建造者设计模式处理不同参数,最后通过 ImageLoader 进行管理。
可以对图片进行居中裁剪,展示圆形图片和圆角图片。点击评论框弹出软键盘,设置评论显示的样式。了解下什么是 Glide。是当下比较流行的一个图片加载库。加载图像以及磁盘缓存的。压缩裁剪图片防止图片过大。
中添加下面两行代码 即可。
Android Glide 原理解析一.提供的功能特性二.简单使用三.源码结构1.内存缓存(1)MemoryCache(2)BitmapPool(3)二级内存缓存2.磁盘缓存3.图片对应的Key4.Glide对象5.RequestManager—绑定生命周期6.GenericRequestBuilder对象7.Target对象8.RequestTracker对象9.Engine、EngineJob
前言系列文章专栏: 玩转Glide4概述加载相同的网络资源的时候,为了减少流量开销,优化加载速度,我们一般都会选择使用缓存。Glide作为最优秀的图片加载库,广受大家认可,必然也有着十分优秀的缓存机制。Glide缓存基于LRU原理实现了两种缓存:内存缓存MemoryCache硬盘缓存DiskCacheGlide是默认同时开启这两种缓存的。内存缓存MemoryCache基于LRU的缓存驱逐算法实现。
Glide是一款强大的Android图片加载库,它提供了简单易用的API和高效的图片加载功能。本文将介绍Glide的用法、原理和源码解析,帮助开发者更好地理解和使用这个优秀的图片加载库。
介绍schrodinger在无图形化linux集群上的分子对接流程
Glide是谷歌为我们推荐的一个图片加载库。为什么要选择使用Glide呢?1、代码有人维护,不至于出现问题,项目组都搞不定的时候问题无法解决。(ImageLoader已没人维护了)2、代码简洁,可读性很好。(Fresco是一个非常优秀的库,但是配置稍显麻烦,同时代码风格读起来有些生疏)3、功能强大(400多k的包,包含很多功能,例如:像加载Gif图片就是Picasso做不到的)下面我们...
使用1. 添加依赖implementation 'com.github.bumptech.glide:glide:4.12.0'annotationProcessor 'com.github.bumptech.glide:compiler:4.12.0'2. 基础使用加载图片Glide.with(this).load(imgUrl).into(imageView1)取消加载Glide.with(t
这里没有广告,这里没有跑分,数据对比Google一下比比皆是,额···那我说什么好(ノಠ益ಠ)ノ彡┻━┻。挺好的啊~这·····因为某次我要把通过图片URL拿本地缓存的时候,我居然找不到同步获取的方法(ノಠ益ಠ)ノ彡┻━┻,除了异步的回调之外,我居然找不到····而且听说Fresco对GIF和webp支持更好,不,我不管,我要换女朋友。功能与丁丁大名的PhotoView一样,支持双击放大,单击返回
Glide缓存分为弱引用+ LruCache+ DiskLruCache,其中读取数据的顺序是:弱引用 > LruCache > DiskLruCache>网络;写入缓存的顺序是:网络 --> DiskLruCache–> LruCache–>弱引用内存缓存分为弱引用的和 LruCache ,其中正在使用的图片使用弱引用缓存,暂时不使用的图片用 LruCache缓存,这一点是通过 图片引用计数器(
Glide.with(fragment).load(iconUrl).error( R.drawable.error) //异常时候显示的图片.placeholder( R.drawable.default) //加载成功前显示的图片.fallback( R.drawable.blank) //url为空的时候,显示的图片.into(Icon);//在Req...
Android在Fragment中设置背景磨砂效果。
在 Android 开发中,图片加载是移动应用的核心功能之一。合理选择图片加载框架不仅能提升用户体验,还能优化内存管理和应用性能。本文将深入对比 Picasso 和 Glide 两大主流框架,结合代码示例分析它们的差异、工作原理及优化策略。从上述代码可以看出,二者基本的图片加载方式都是链式调用,语法较为相似。Picasso 只缓存全尺寸图片,以下是简单使用示例。Glide 支持按尺寸缓存,并且可以
转载请注明出处:http://blog.csdn.net/guolin_blog/article/details/53759439本文同步发表于我的微信公众号,扫一扫文章底部的二维码或在微信搜索 郭霖 即可关注,每天都有文章更新。现在Android上的图片加载框架非常成熟,从最早的老牌图片加载框架UniversalImageLoader,到后来Google推出的Volley,再到后
简介下载配置使用简单使用高级用法RequestOptionsTransitionOptionsGenerated APIRequestBuilderConfiguration使用技巧Glide的图片变换TransformationsGlide的过渡动画TransitionsGlide的缓存管理Caching简介Glide项目于2012年12
android模块化路由篇本系列持续更新,直到完成一个完整项目。
Duplicate class android.support.v4.app.INotificationSideChannel found in modules core-1.3.1-runtime (androidx.core:core:1.3.1) and support-compat-27.1.1-runtime (com.android.support:support-compat:27.
android解决使用glide加载图片异常的问题(需要用添加cookie头部作为验证)遇到的问题解决办法,首先获取网页对应cookie使用GlideUrl遇到的问题 加载图片的代码:RequestOptions options = new RequestOptions().priority(Priority.NORMAL) //指定加载的优先级,优先级越高越优先加载,// 缓存原始数据
在Android设备上,加载网络图片一直是一个头疼的问题,因为Android设备种类繁多(当然最主要的是配置),处理的稍不周到轻则应用卡顿,严重者就会出现OOM的,导致程序挂掉。现如今网络上有很多图片库,如 Universal-Image-Loader,Picasso,Fresco,Glide等等。相信列举出的这几个库大家都不陌生,这也是目前最火的图片库了。由于个人的喜好原因(主要是别人介绍说Gl
glide用法以及各种注意事项
大家好,今天我们继续学习Glide。在上一篇文章当中,我带着大家一起深入探究了Glide的缓存机制,我们不光掌握了Glide缓存的使用方法,还通过源码分析对缓存的工作原理进行了了解。今天是这个Glide系列的第四篇文章,我们又要选取一个新的功能模块开始学习了,那么就来研究一下Glide的回调和监听功能吧。今天的学习模式仍然是以基本用法和源码分析相结合的方式来进行的
glide
——glide
联系我们(工作时间:8:30-22:00)
400-660-0108 kefu@csdn.net