登录社区云,与社区用户共同成长
邀请您加入社区
本文提出了一种基于遗传算法(GA)与深度神经网络(DNN)融合的无人机三维路径规划方法。该方法通过GA进行全局路径搜索,利用DNN评估路径质量,在MATLAB平台上实现了完整的环境建模、路径编码、遗传优化和神经网络评估模块。实验结果表明,该混合算法能够有效处理复杂三维环境中的路径规划问题,兼顾路径安全性、平滑性和计算效率。项目提供了完整的程序代码和GUI设计,为无人机智能导航研究提供了实用解决方案
在边缘计算场景中,深度神经网络(DNN)因模型复杂度高、计算开销大的特性,直接在终端设备(如手机、物联网传感器)上运行时,常面临算力不足、能耗过高、延迟超标的问题。计算卸载作为核心解决方案,通过将 DNN 的部分层(如卷积层、全连接层)迁移至边缘节点(如基站、边缘服务器)执行,可平衡终端设备资源消耗与任务处理效率。当前 DNN 卸载策略研究中,传统优化方法(如整数规划、动态规划)虽能理论上求得最优
我想这可能是你想要的神经网络吧!什么是神经网络:人工神经网络(ArtificialNeuralNetworks,简写为ANNs)也简称为神经网络(NNs)或称作连接模型(ConnectionModel),它是一种模仿动物神经网络行为特征,进行分布式并行信息处理的算法数学模型。这种网络依靠系统的复杂程度,通过调整内部大量节点之间相互连接的关系,从而达到处理信息的目的。...
采用Django作为后端框架,搭配TensorFlow/Keras构建深度神经网络模型。前端使用Vue.js或React配合ECharts/Chart.js实现数据可视化大屏。数据库选用PostgreSQL或MySQL,支持结构化数据存储。设计多维度评价表单,包括课程内容、教师表现、学习效果等评分项。通过Django ORM建立评价模型,字段涵盖评分、文本评价、时间戳等。对于本系统,我们提供全方位
本文介绍了一种基于粒子群优化算法(PSO)和深度神经网络(DNN)的光伏功率预测方法。该方法通过PSO优化DNN的初始权重和结构参数,克服传统DNN易陷入局部最优的问题,显著提升预测精度。文章详细阐述了数据预处理、特征选择、模型构建和优化过程,并提供了MATLAB代码实现。实验结果表明,该模型在光伏功率预测任务中表现出色,具有较高的准确性和泛化能力。项目采用模块化设计,支持可视化分析和交互式操作,
out = net.forward()是执行神经网络的前向传播,输入数据经过网络各层计算,out是模型的原始输出,通常是多位数组,这里out是四维的B*C*H*W(B: batch图像数量(通常为1),C: channels通道数,H: height高度,W: width宽度)这里我们是对单张图片进行处理,批处理这个维度是不必要的为了后续方面所以这里我们转化为三维。结果转置一下数组(C,H,W)转
本文介绍了一个基于DNN-SHAP的多变量回归预测MATLAB实现方案。主要内容包括: 系统架构:包含模拟数据生成、数据预处理、DNN模型构建与训练、预测评估及SHAP可解释性分析的全流程实现。 核心功能: 随机生成5万样本的模拟数据集(5个特征,3个目标变量) 支持参数配置界面调整训练参数和SHAP解释参数 实现随机搜索的超参数优化算法 构建深度神经网络(支持自定义层数、神经元数、Dropout
本项目基于MATLAB平台,开发了一种融合循环神经网络(RNN)和深度神经网络(DNN)的光伏功率预测模型。通过RNN提取时序特征和DNN挖掘非线性空间特征,实现了高精度预测。项目包含数据预处理、模型构建、训练优化和可视化评估全流程,支持工程化部署。创新性地引入LSTM单元、正则化和注意力机制,提升了模型在复杂气象条件下的鲁棒性。应用场景涵盖智能电网调度、光伏电站运维和微电网控制等领域,为清洁能源
深度神经网络,作为通用逼近器,拥有表示世间万物规律的潜力。它解释了为什么我们坚信,只要有足够的数据和正确的架构,神经网络就能学会从图像到语音,从文本到决策的任何复杂映射。然而,从理论到实践,我们仍需跨越千山万水。参数搜索的困境、泛化的挑战、计算资源的限制,都是我们必须面对的现实问题。但正是这种“理论上可能”与“实践中探索”之间的张力,推动着深度学习不断向前发展。当我们下次使用一个预训练的大模型轻松
本文介绍了OpenCV中DNN模块的功能及实现图像风格迁移的代码实现。DNN模块支持加载多种深度学习框架的预训练模型,具有轻量、低依赖性等特点。代码部分详细展示了图像预处理、模型加载、推理和结果处理的全流程,包括静态图像处理和实时摄像头风格迁移两种实现方式。通过blobFromImage函数将图像转换为神经网络输入格式,使用预训练模型实现《星月夜》风格转换,并处理输出结果进行显示。该实现可用于静态
本文介绍了一种基于XGBoost-DNN混合模型的光伏功率预测方法。该方法通过融合XGBoost的特征筛选能力和DNN的深层特征提取优势,实现对光伏发电功率的高精度预测。文章详细阐述了项目背景、模型架构(包括数据预处理、特征工程、XGBoost和DNN子模型构建等模块)、代码实现流程(数据归一化、模型训练、预测评估等)以及GUI界面设计。该预测系统可应用于新能源智能调度、电网管理等领域,具有预测精
YOLOv9全网最新改进系列::YOLOv9完美融合双卷积核(DualConv)来构建轻量级深度神经网络,目标检测模型有效涨点神器!!!
文章目录前言第一个问题第二个问题第三个问题总结前言其实,深度神经网络的反向传播我们只需知道这个算法的理念,即这个算法的目标方程是谁,对目标方程做什么运算,为什么这样做或者这样做的好处是什么?解决了以上三个问题,你也就相当于掌握了反向传播的精髓。第一个问题目标方程是损失函数(loss function),根据问题本身会有差异;比如分类问题,我们常用交叉熵(cross entropy)作为损失函数,这
你是一个致力于让全球移动支付可用的团队的一员,并被要求构建一个深度学习模型来检测欺诈——无论何时有人进行支付,你都希望看到支付是否可能是欺诈的,比如用户的账户是否已被黑客接管。但是实现反向传播是相当具有挑战性的,有时还会有bug。因为这是一个任务关键型应用程序,所以公司的CEO希望真正确定反向传播的实现是否正确。你的CEO说:“给我一个证明,证明你的反向传播确实有效!”为了保证这一点,你将使用“梯
这两个概念实际上是互相交叉的,例如,卷积神经网络(Convolutionalneuralnetworks,简称CNNs)就是一种深度的监督学习下的机器学习模型,而深度置信网(DeepBeliefNets,简称DBNs)就是一种无监督学习下的机器学习模型。深度学习中最著名的卷积神经网络CNN,在原来多层神经网络的基础上,加入了特征学习部分,这部分是模仿人脑对信号处理上的分级的。而深度学习中最著名的卷
软硬件环境ubuntu 18.04 64bitGTX 1660opencv 4.1.2视频看这里简介前文基于haar特征的人脸检测方法已经实现了最简单的人脸检测方法,但是在检出率、准确率和速度上,都没有办法在实际场合中进行应用。本文就介绍另一种方法,它也是基于OpenCV的,在dnn模块中。opencv的源码编译,并使能CUDA加速,请参考我之前的文章,https://xuga...
首先减去平均值,然后将像素值乘以定义的比例。TF 和 OpenCV 模型的评估结果(准确率、推理时间、L1)将写入日志文件。推理时间值也将以图表形式显示,以概括所获得的模型信息。的第一步是获取冻结的 TF 模型图。为了提供模型推理,我们将使用下面与 ImageNet 类 ID 335 相对应的。如果您只想运行评估或测试模型管道,可以跳过 "模型转换管道 "教程部分。从实验中可以看出,OpenCV
深度神经网络也是这样的一张大网,里面有很多很多层的“小机器”(我们可以叫它们神经元),每一层的小机器都和上下相邻层的其他小机器相连。每个小机器都会接收到一些信息,然后做点简单的计算,再把这些处理过的信息传给下一层的小机器。就这样,一层一层地传递下去,信息被不断地加工和变化。当我们教这个网络去做某件事,比如识别图片中的猫,我们会给它看很多很多有猫的图片,同时告诉它“这是猫”。它就像是一个超级强大的助
随着深度学习技术的不断进步,我们正逐渐从依赖大量标注数据的有监督学习转向更加高效和自主的无监督学习。无监督学习旨在让机器从数据中自行发现模式和结构,而无需人为提供标签。这一转变不仅能够减少数据收集和标注的成本,还能使机器学习模型更加适应未见过的数据和环境。本篇博客将探讨无监督学习的基本概念,并通过一个简单的聚类算法示例来展示其在深度学习中的应用。
还能自定义目标转速波形,进行相关可靠性试验。这就需要一些算法来生成自定义波形的数据,然后再发送出去。i < 100;i += 0.1)// 发送自定义波形数据作为目标转速分析:通过一个循环生成了正弦波形的X轴和Y轴数据,这里的Y轴数据就作为自定义的目标转速。然后把这些数据发送出去,就能进行可靠性试验啦。可以根据实际需求修改算法,生成各种不同的目标转速波形,来满足不同的试验要求🤓。
基于预训练语言模型与深度神经网络的Web入侵检测系统,通过预训练模型CodeBert分词,将分词输入给BiGRU的深度学习模型训练。通过sniff函数实时捕获http流量信息,将流量信息输入给模型进行检测,模型可以检测的类别有SQL注入、XSS、序列化攻击、命令执行攻击、目录遍历攻击五种攻击。原创内容需要付出大量时间和精力,知识付费是对创作者最好的支持。框架实现,灵活运用其模板语法进行页面实现,
深度神经网络(DNN)目前是许多现代AI应用的基础。自从DNN在语音识别和图像识别任务中展现出突破性的成果,使用DNN的应用数量呈爆炸式增加。这些DNN方法被大量应用在无人驾驶汽车,癌症检测,游戏AI等方面。在许多领域中,DNN目前的准确性已经超过人类。与早期的专家手动提取特征或制定规则不同,DNN的优越性能来自于在大量数据上使用统计学习方法,从原始数据中提取高级特征的能力,从而对输入空间进行有效
独家原创]基于深度神经网络-多头注意力机制()多输出回归预测 Matlab 多输入多输出每个输出都有以下线性拟合图等四张图!!!具体看图,独家图像!!!!!!数据格式为excel!(如下)1️⃣、运行环境要求MATLAB版本为2021b及其以上2️⃣、评价指标包括:R2、MAE、MBE、MAPE、RMSE等,图很多,符合您的需要3️⃣、代码中文注释清晰,质量极高4️⃣、赠送测试数据集,可以直接运行
在工程计算、环境监测、工业生产等领域,“预测” 是实现系统优化与风险管控的关键环节 —— 例如,预测流体在直管中的压力降以优化管道设计,预测设备运行参数以提前故障预警,预测环境污染物浓度以制定管控策略。传统预测方法(如经验公式、机理建模)依赖明确的物理规律或统计假设,在面对 “高维变量”“非线性耦合”“数据稀疏” 的复杂系统时,往往存在 “建模难度大”“泛化能力弱”“预测精度低” 的局限。
本文设计实现了一种基于深度神经网络的课程教学评价系统。系统采用B/S架构,整合教学全流程数据,通过CNN、RNN等深度学习模型实现多维度评价分析。功能包括数据采集、模型训练、评价报告生成及反馈优化,解决了传统评价方式效率低、主观性强的问题。测试表明,系统评价结果与人工评价一致性达90%以上,响应时间控制在500ms内。未来将拓展学科适配性、丰富评价维度,推动教育评价从"经验驱动"
2、隐藏层:隐藏层会逐步处理这些像素点,通过复杂的计算和激活函数,提取图片中的特征。例如,第一个隐藏层可能识别边缘,第二个隐藏层可能识别线条和角度,第三个隐藏层可能识别具体的数字形状。神经元和层次:DNN由多个层次的神经元组成,包括输入层、多个隐藏层和输出层。3、输出层:输出层包含10个神经元,每个神经元代表一个数字(0-9)。通过这种结构,深度神经网络可以有效地学习和识别复杂的模式和特征,从而完
进行时间序列预测是一项重要的任务,以下是一个详细的示例,包括项目设计、数据生成、选择合适的超参数(如层数、每层的神经元数、学习率等)对于模型性能至关重要。数据预处理的重要性:数据归一化和时间步长的选择会影响模型的训练效果。为了模拟时间序列数据,生成一个简单的正弦波数据并添加一些噪声。增加数据集的复杂性,使用真实的时间序列数据进行训练和测试。进行时间序列预测,主要任务是根据历史数据预测未来的数值。模
可以使用 Python 库 TensorFlow 来实现深度神经网络。以下是一个简单的例子:import tensorflow as tf# 定义输入和输出x = tf.placeholder(tf.float32, shape=[None, 784])y = tf.placeholder(tf.float32, shape=[None, 10])# 定义权重和偏置W = tf....
本文全面介绍了深度神经网络(DNN)的核心概念与应用。DNN通过多层隐藏层实现分层特征学习,底层提取低级特征,上层组合为高级语义特征。文章详细解析了DNN的网络结构(输入层、隐藏层、输出层)、激活函数选择(ReLU、Sigmoid等)、训练原理(前向传播和反向传播),并提供了完整的Python实现代码。针对训练中的梯度消失、过拟合等问题,提出了ReLU激活函数、批量归一化、Dropout等解决方案
全连接神经网络(Multi-Layer Perceptron, MLP)是一种典型的前馈神经网络,属于深度学习的基础结构。MLP指至少有一层隐藏层的感知机网络DNN(Deep Neural Network)是 MLP 的扩展版本,层数更多核心特点:神经元之间层与层全连接通过非线性激活函数提升表达能力使用反向传播(Backpropagation)训练✅ 优点:表达能力强,能拟合复杂非线性关系通用性强
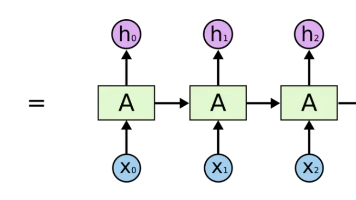
各层神经元的活动是前一层活动的非线性函数。在传统的神经网络模型中,是从输入层到隐含层再到输出层,层与层之间是全连接的,每层之间的节点是无连接的。二隐层节点数在BP网络中,隐层节点数的选择非常重要,它不仅对建立的神经网络模型的性能影响很大,而且是训练时出现“过拟合”的直接原因,但是目前理论上还没有一种科学的和普遍的确定方法。具体的表现形式为网络会对前面的信息进行记忆并应用于当前输出的计算中,即隐藏层
模型核心比喻如何做特征交叉?特点与场景FNN两步走学徒先用FM预训练,再用DNN学习起点高,训练快。是早期思想的代表。PNN主动红娘在输入后立即加入“乘积层”显式捕捉二阶交叉,适合强交叉信号场景。ONN灵活红娘用多种“核函数”进行交叉PNN的升级版,交叉方式更灵活,能力更强。NFM精华汤厨师用“交互池化层”浓缩二阶交叉,再送DNN经典且高效,平衡了效果与复杂度,应用广泛。FNN (预热) -> P
本文深入解析了Transformer架构中的前馈神经网络(FFN)模块,揭示其核心作用与实现原理。FFN位于Transformer层后半部分,采用"升维-激活-降维"的三步结构(线性变换→GELU激活→线性变换),负责深层语义理解。在Transformer中,FFN与注意力机制协同工作:注意力层捕捉词间关系,FFN则进行深度语义加工。关键优势体现在三个方面:实现非线性语义挖掘、
本文系统介绍了深度学习中的三种核心网络结构:人工神经网络(ANN)、深度神经网络(DNN)和卷积神经网络(CNN)。首先阐述了ANN的基本原理,包括神经元模型、激活函数和反向传播算法;然后分析了DNN的深层特征提取能力及其训练挑战;重点讲解了CNN的卷积操作、池化层等核心组件及其在图像处理中的优势。通过对比三种网络的特性,提出了CNN+DNN的混合架构方案,结合CNN的局部特征提取和DNN的非线性
摘要:本研究提出一种基于深度神经网络(DNN)的电阻抗断层成像(EIT)触觉传感器方案,解决传统EIT技术在精度与速度上的矛盾。通过有限元仿真生成训练数据,设计轻量型DNN网络实现快速高精度的导电率分布重建。实验表明,该方法计算时间仅0.002秒,精度接近传统非线性模型,抗噪声能力显著提升。采用导电织物制作的传感器原型具有低成本、易量产特点,可实现50Hz实时触觉感知,为机器人全身触觉提供可行解决
DNN(深度神经网络)是一种多层结构的人工神经网络,通过输入层、隐藏层和输出层实现复杂数据处理。其核心原理包括前向传播的信息传递和反向传播的参数优化,利用激活函数、损失函数、优化器等组件提升性能。DNN具有强大的非线性拟合能力,可自动提取特征,广泛应用于图像分类、文本分析等领域,但也面临数据需求大、计算成本高等挑战。典型应用包括ResNet、机器翻译等。
本文介绍了一种基于ConvLSTM的轴承剩余寿命预测方法。详细介绍了ConvLSTM的工作原理以及代码实现。最后通过PHM2012轴承数据集进行实验验证,并提供主要代码。
AlexNet是一种具有里程碑意义的深度卷积神经网络(CNN),由 Alex Krizhevsky 等人在 2012 年提出AlexNet 的成功引发了深度学习在计算机视觉领域的热潮,为后续模型(如 VGG、ResNet)的设计提供了基础范式核心思想深度网络结构AlexNet 是首个成功应用深层卷积神经网络的模型,包含 8 层结构(5 个卷积层 + 3 个全连接层),通过堆叠多层卷积和池化操作,提
Data 含有 18 项观测数据 AMB_TEMP(环境温度), CH4(甲烷), CO(一氧化碳), NMHC(非甲烷总烃), NO(一氧化氮), NO2(二氧化氮), NOx(氮氧化物), O3(臭氧), PM10, PM2.5, RAINFALL(降雨量), RH(相对湿度), SO2(二氧化硫), THC(总碳氢化合物), WD_HR(小时平均风向), WIND_DIREC(风向), WI
主要内容:免费开题报告、任务书、全bao定制+中期检查PPT、代码编写、🚢文编写和辅导、🚢文降重、长期答辩答疑辅导、一对一专业代码讲解辅导答辩、模拟答辩演练、和理解代码逻辑思路。
梯度消失问题是指在神经网络的反向传播过程中,由于连续乘积操作,梯度的数值变得非常小,导致权重更新几乎停滞。这通常发生在使用 Sigmoid 或 Tanh 激活函数的深层网络中。
本文系统综述了基于深度神经网络(DNN)的脑电图(EEG)认知工作负荷(CWL)检测研究。研究聚焦两大方面:(1)识别常用认知负荷诱发实验范式,发现心算任务、N-back任务、飞行模拟等是主要范式;(2)分析DNN在CWL检测中的应用,发现CNN(27%)和RNN(17%)为最常用架构,多数研究直接使用原始EEG信号输入而绕过特征提取步骤。结果显示当前研究存在三大局限:模型多限于特定被试(43%)
资源:主要基于博客:https://blog.csdn.net/mr_curry/article/details/52443126 在操作之前先编译dlib,比较简单caffecaffe安装比较麻烦,官方版本没有第三方库编译会出很多问题,后来找到一个个人改造后的带第三方库的版本,很快弄好:caffe官方版:https://github.com/BVLC/caffe/tr...
dnn
——dnn
联系我们(工作时间:8:30-22:00)
400-660-0108 kefu@csdn.net