登录社区云,与社区用户共同成长
邀请您加入社区
雷赛HBS86闭环步进驱动方案基于TI的DSP2803x系列芯片构建,该方案整合了原理图、PCB设计以及配套代码,形成一套完整的混合伺服驱动器解决方案。代码部分以C语言为开发语言,基于Eclipse CDT开发环境(从.metadata相关文件可判断),核心围绕DSP2803x芯片的各类外设展开,实现闭环步进电机的精准控制,涵盖电机驱动信号生成、位置与速度检测、电流采样与保护、通信交互等关键功能,
1 2 核心功能与特点 多标准信号输出:该设备支持多种模拟和数字视频信号输出,包括 HDMI、DisplayPort、DVI、RGB、色差信号等,能够满足不同接口显示设备的测试需求。 1 2 先进的接口规范: DisplayPort 1.2:支持 HBR2 高比特率传输(5.4Gbps)和 MST(多流传输)功能,可以通过一个 DisplayPort 输出口同时测试多个 Fu
国产信号发生器正从"性价比替代"向"技术引领"转型,2025年国产品牌在数字信号源领域已实现**40%**市场份额。随着产业链国产化率提升,未来信号发生器或将像"万用表"一样,成为每个电子工程师的标准装备。建议工程师关注国产高端产品迭代,如中电科思仪1465L系列在70GHz频段的突破,同时把握AI驱动的智能化测试新趋势。
DP7406是192K 数字音频发送器芯片,该发送器支持 EIAJ CP1201、IEC-60958、AES3、S/PDIF 等音频格式。将接收到数字音频信号进行复用及编码后,以 SPI 或者 I2C 等 3 线串口数据格式发送给接口单片机,通道状态和用户数据存储在管脚的缓冲器中,无需外部缓冲器也可做数据块更新。DP7406 还具有极低抖动时钟恢复机制,可从输入音频流生成非常干净的恢复时钟,凭借其
LM317MBSTT3G是安森美推出的车规级可调三端稳压器,具有1.2-37V宽输出电压范围、500mA最大输出电流和40V输入电压能力。该器件采用SOT-223封装,通过两个外接电阻即可调节电压,集成热过载、短路等多重保护功能,符合AEC-Q100车规认证。特别适用于汽车电子(如OBC、传感器供电)和工业控制系统(如PLC模块、家电主控板),在高噪声环境中提供稳定电源解决方案。设计时需注意散热布
摘要: 该方案采用FX668和FSV9563两款芯片构建多功能无线通信网络。FX668支持长距离(150cm)ISO/IEC15693协议,适用于低功耗设备参数管理;FSV9563兼容多协议(14443A/B、FeliCa等),提供高速数据传输(最高848kbit/s)及安全认证,适用于支付、门禁等场景。通过NFC“碰一碰”技术,可实现智能设备快速配对、模式切换及售后诊断,结合中央网关的多接口(S
GSV1011 是 GSCoolink(基石)HDMI 1.4 收发器(BGA144,10×10 mm),支持 4K@30 Hz、HDCP 1.4,可在 RX/TX/ 环出间切换,带 LVDS/TTL 双向总线与音频提取 / 嵌入、ARC、CSC、下变换,适合采集卡、矩阵、切换器、监视器等;需 4K@60 Hz/HDCP 2.2 可换 GSV2011(同封装)。
RT3662ARGQW是立锜科技推出的高性能多相降压PWM控制器,采用QFN-48封装,支持AMDSVI2接口,集成MOSFET驱动器和自适应电压定位(AVP)技术,适用于服务器、工作站及高端显卡的CPU/GPU核心供电。该控制器支持4.5V-25V输入、0.5V-1.52V可编程输出,最多6相并联,提供300A+电流输出能力,开关频率200kHz-1MHz可调。其CCRCOT控制架构实现快速瞬态
相比传统方案,它对环境光的适应性更强,用户无需特意将产品置于高光照环境中,产品能够更好地融入于使用场景中,真正实现“见光即充”,让设备摆脱对高光照条件的依赖。传统电池不仅需要定期更换,还会产生大量电子垃圾。该芯片应用于低功耗产品(如遥控器、低功耗蓝牙产品、智能家居产品)上,则无需在产品使用期内更换电池,减少产品维护成本,符合绿色可持续的市场趋势。微光充电芯片通过环境光取电,显著减少电池消耗,降低产
SII9022ACNU-富利威-HDMI芯片,SII9134,SII9135,SII9136,SII9293,SII9687,SII9687
鲲鹏RFID涉密载体管控系统融合在位管理、出入管控、流转管理、协同办公等业务,实现载体管理的数字化、安全防控智能化、载体资源网络化和日常管理可视化,有效实现载体的“可感、可视、可控”。该管控系统应用场景为载体全生命周期网格化在线管理、载体或物品的集中存取和管理、载体出入门禁管控、载体或物品的智能柜周转、管控柜独立安装等。该载体管控系统解决了涉密载体人工管理效率低,无法24小时监控的问题;该载体管控
鲲鹏信息手持机具有大容量存储、超长使用时间、多种通讯接口、硬件模块可以根据不同的需要进行选配、软件可以根据用户需求同时定制等特点,广泛的应用于仓储管理中的入库清点、物资上架、盘库点仓、物资出库、检索查询等环节。解决入库出库时,耗时且容易出现物资及数量错误的情况,终端自带RFID标签读取识别模块以及强大的处理和存储功能,利用无线WAPI网络环境,配合后台的仓储管理软件,实现统计物资数量、存放位置,管
随着市场需求不断变化以及科学技术的不断发展,发卡器由最初只能识别13.56MHz,带有NFC功能,逐渐发展为可识别800/900MHz无源标签的设备,如今鲲鹏信息已发展出可识别2.45G符合7377.2-2011协议可识别有源标签的多协议、多频段发卡器,具备125KHz低频唤醒功能,传输数据量更大、传输距离更远,可应对更加广泛、复杂的应用场景。RFID发卡器是对标签数据操作的重要工具,可对标签进行
无源超高频RFID物联网技术手段的应用特点是摆脱了视觉识别,可以无感扫描和群读扫描,在仓储管理中,比二维码管理的管理效率明显提升,但由于技术限制,读取距离常在10米以内,对于中大型仓储的盘点带来了极大不便,仍需要操作人员使用手持终端去进行盘点。鲲鹏信息的有源RFID智能托盘应用解决方案,旨在用以最低成本投入,解决全库盘点的人力资源投入和高成本的问题,解决仓储出入库管控的实时性采集,实现存储管理的精
涉密载体,作为保障各保密和机要单位信息安全、防止信息泄露的核心要素,随着信息技术的飞速发展,其种类日益丰富,包括涉密文件(纸质文件、光盘、书籍等),涉密信息化载体(如优盘、硬盘、笔记本电脑等)。然而,涉密载体、涉密设备和涉密区域的增多,为涉密资产管理带来了新的挑战和压力。涉密载体出入权限管理;有利于利用信息技术管控“涉密人员、涉密场所、涉密载体”,及时掌握人员使用载体动态、分析行为轨迹,快速了解和
本质,即可灵活应用于电源、通信、控制等场景。面试时结合具体案例(如开关电源反馈)说明,更能展现工程思维。 三位一体需求的经典方案。光耦的核心价值是实现 。 三要素,掌握其 。
介绍了天通卫星通信的基本原理:语音通话和物联网。然后提出了点对点数传模式的天通卫星数传终端
在创建New Symbol的时候选用的是Copy/Modify,导致在原理图调用的时候出现上述的error。在生成New Symbol的时候,选用第一个Auto-Generate,在调用的时候就好了,就没有以上错误。(博主感觉Copy/Modify是根据Layout生成Symbol的时候才用到的吧。
纯硬件设备是指内部不包含微处理器,无需烧写软件就能够运行的电子设备。如天线、老式收音机、老式电视机、老式洗衣机等。这类设备通常功能简单,易于操作,用户通常只需要打开电源开关并调节电位器、可变电容就能够使设备进行工作。嵌入式设备是指内部包含微处理器,需要烧写软件才能够运行的电子设备。由于具备微处理器和程序代码,因此嵌入式设备能够完成比较复杂的功能。用户通常需要按照屏幕上的菜单进行选择,才能够使设备工
星闪小模块以及相关资料(资料需要人催哦,不然我要睡觉去了)
星闪(NearLink)是中国自主研发的新一代无线通信技术,由国际星闪联盟主导。它采用融合架构,包含低功耗SLE模式(对标蓝牙)和高速SLB模式(对标Wi-Fi),在传输速率、时延、连接数和能效等方面显著优于传统蓝牙技术。星闪首次引入Polar码、通感一体等创新技术,适用于消费电子、智能汽车和工业控制等领域。目前联盟成员超1200家,预计2025年芯片出货量将达2亿片,但面临生态规模和国际化推广的
PyTorch的`torch.autograd.Variable`通过记录`Operation`节点构建计算图,ReLU激活层的梯度传播效率比Sigmoid提高73%与死区特性直接相关。显存管理技术中,`torch.cuda.empty_cache()`在循环训练中的穿插使用策略可减少20%的CUDA OOM发生概率。`timeit`模块的基准测试揭示了面向对象编程与函数式编程在特定场景下的性能特
在现代计算体系中,硬件架构的设计已经不仅仅是追求单核性能的提升,而是更多地依赖与。无论是高性能计算(HPC)、云数据中心,还是人工智能加速器,合理的并行结构与可扩展设计都是实现高效能的重要基础。本文将从并行性的层次、可扩展性挑战、关键技术以及实际案例四个方面进行探讨。
本文摘要: 文章介绍了HFSS2023电磁仿真软件的核心功能与应用技巧,分为四大模块:1)建模环境与参数化设计流程,涵盖9项关键技术如混合算法、HPC并行等;2)15类边界条件设置要点,包括阻抗边界、辐射边界等;3)9种激励源特点与典型应用场景对比,重点解析端口激励子类的使用规范;4)4种求解器配置方案,针对频域/时域、阵列仿真等不同需求提出硬件选型建议。全文通过技术对比表格呈现关键参数,为高频电
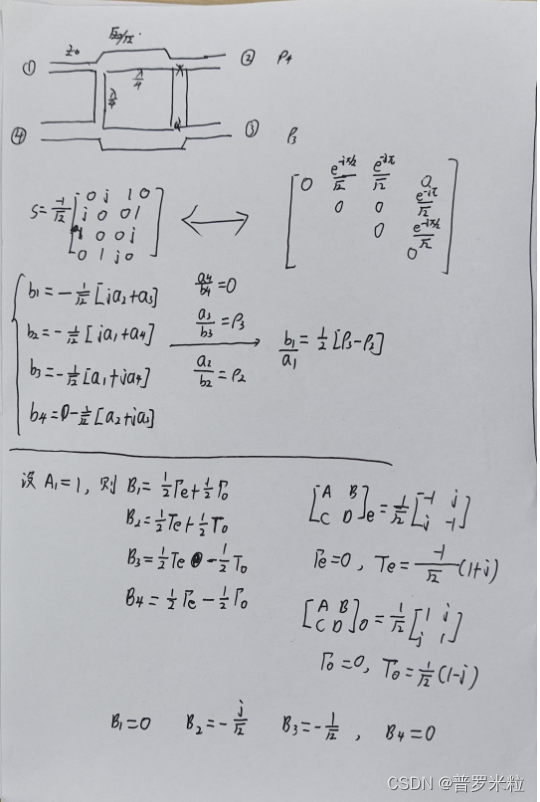
在现代射频/微波系统开发过程中,工程师需要对电路中的关键器件进行参数化分析,以确保信号品质、系统一致性及高频性能得到保障。而其中,S参数(Scattering Parameters,散射参数)可谓是绝大多数射频工程师的日常“主角”。
在现代硬件系统中,尤其是高性能 FPGA、CPU/GPU、嵌入式平台和工业控制设备,通常需要多个不同电压等级的电源供电。不仅关系到系统的稳定性和性能,还影响功耗管理和电磁兼容(EMC)。本文将从设计原则、电源拓扑、布局方法以及工程实践出发,系统介绍多电源设计策略。
【对比】PSO-BP+BP分类模型对比基于粒子群算法(PSO)优化BP神经网络的数据分类预测对比(可以更换为回归/单变量/多变量时序预测,前),Matlab代码,可直接运行,适合小白新手程序已经调试好,无需更改代码替换数据集即可运行数据格式为excel代码已经调试好,替换数据集直接运行main即可一键出文案对比图BP也可更换为SVM,RF等其他模型前私1、运行环境要求MATLAB版本为2018b及
Meshtastic中国(MeshCN)社区致力于构建基于470-510MHz频段的太阳能无线Mesh网络,采用LoRa协议实现无基础设施的应急通信。该网络使用Semtech SX126X系列芯片,具有超低功耗(4.2mA接收电流)、高灵敏度(-148dBm)和长距离传输能力(+22dBm功率输出),支持LoRa/FSK等多种调制方式。这些符合全球无线电法规的设备兼具中继功能,可自主扩展网络覆盖,
氮化镓芯片是一种新型的半导体材料,具有高频率、高功率、高温稳定性和低损耗等优点,被广泛应用于电力电子器件、光电子器件和微波器件等领域。随着科技的不断发展,氮化镓芯片的应用前景越来越广阔,例如在新能源汽车、光伏发电、通信基站等领域都有广泛的应用。因此,研究和开发氮化镓芯片的制备方法和技术对于推动科技进步和产业发展具有重要意义。
网上找到了自由空间衰减公式Ls=32.44+20lgdKm+20lgfMHzL_s = 32.44 + 20lg\frac{d}{Km}+ 20lg \frac{f}{MHz}Ls=32.44+20lgKmd+20lgMHzf我算了一下偏离真实数据,自己推算了一下接收处的功率密度ER=PT∗G4πd2E_R=\frac{P_T*G}{4\pi d^2}ER=4πd2PT∗G接收功率PR
STM32WLE5介绍和开发环境搭建
详细介绍了如何使用 DCA1000EVM + IWR6843ISK进行毫米波雷达原始数据采集与可视化
本文转自知乎"单琼信"文章《1空间谱估计测向》,原文链接:https://zhuanlan.zhihu.com/p/160838685有感于测向文档和实际仿真做的少的情况,总结一下基于MUSIC的DOA估计问题。(写公式太费劲了,直接截图~)空间谱估计测向具有多信号分辨能力的空间谱估计技术,有效的解决了同频多信号的测向问题,非常适用于频段十分拥挤的短波测向处理。主要应用于窄带测向,用于宽带测向的普
RFSOC XCZU47DR XCVU13P,RFSOC核心板,XCZU47DR核心板,VU13P核心板,VU9P核心板, 采集存储回放 系统集成技术,RFSOC 47DR核心板,VU13P核心板,RFSOC XCZU47DR开发套件,信号处理技术,软件无线电技术解决方案,雷达模拟系统、电子对抗、复杂电磁环境构架、5G\6G通信、卫星通信、通信感知一体化应用场景。高速高带宽信号处理解决方案。高性能
传统半自动化生产线在运作的过程,因为技工的熟练程度,专业素养的不同,在制造过程中过多的人为干预,工厂将很难对每条生产线的产能进行标准化管理和优化。通过MES系统与PLC控制系统对自动化设备写入相关指定编码、作业数据(如自动化设备号、批号、所用工具、作业程序号等),指引机器人精准实施每道工序,传输机器人也根据这些数据将生产所需要的部件输送到对应的生产线, 最后由每台自动化设备通过RFID读写设备读取
随着我国信息化和制造业的不断结合,使得生产规模和生产线自动化程度还有生产数据的使用率得到明显提升,智慧工厂成为越来越多的制造业发展的趋势和目标但是目前很多工厂中使用的设备由于各种原因不兼容,导致很多设备并不相连,从而无线实现互联互通。设备运行状态、生产周期数据无法流动,使得信息汇总成为一大难题。那么这个问题如何才能解决呢?智慧工厂作为现代化工厂信息中的新阶段,在智慧工厂中结合使用物联网技术,我们就
当前快速建模的方法有两类:一是脚本自动化,也就是今天要分享的方法,但该方法需要工程师有基本的脚本编辑能力,然后根据自己的需要去修改,难度较大一点点;二是参数化建模,也就是在GUI界面输入相应的参数,工具自动建模,这类工具当前做得较好的是ADS中的Via designer,可能更适合SI设计工程师,我们下次分享该方法。以上就是脚本中关于过孔设置的核心部分,我已经建立了盲孔和通孔,以及两类端口,大家可
3.打开ALLEGO软件,软件需要改为(was performance L)版本。1.以立创商城为例,搜索对应的物料型号,并且导出至AD。2.AD打开封装,另存封装为ASCLL格式。若AD原本有封装此步骤省略。5.导出为ALLEGO封装库。4.导入AD封装,并转换。
介绍了激光器驱动器分别与TO激光器、蝶形激光器的连接方法
选择ni驱动,通过visa和信号源E4438C建立com串口连接,com4,E4438C即有网口又有RS232这里以RS232为例。查询具体的SCPI命令,该软件可联网同步大多数安捷伦仪器scpi,且英文文档详尽和仪器型号同步,使用简单,在编程中需要多次查阅这个软件了解仪器的指令。*观察仪器背后接口,网口最佳,较老的仪器有可能仅有RS232或GPIB,连接电脑,保证能ping通。
Hexin为气密蝶形封装,能提供高功率,窄线宽的稳定激光输出,波长范围1060-1550nm。用于模拟信号传输,激光雷达光源,气体传感器光源
描述的焊盘超出模块外框 0.49mm;因这些焊盘是射频管脚,希望其在表。为了有效降低焊接连锡的概率,功能管脚焊盘设计的比模块管脚更窄。层的走线尽量短,减小外部干扰对射频信号的影响,所以设计的适当短一些。描述的焊盘是射频管脚,希望其阻抗尽量连续,所以宽度还保持与模块管脚。为了方便测试,功能管脚焊盘设计的较长、超出模块外框较多。注 最新的封装设计推荐, 请参考和芯星通官方用户手册。描述的焊盘超出模块外
对LoRa芯片ASR6601芯片开发环境进行搭建,包含编译环境、SDK获取、JLink例程烧录测试。
cadence从原理图到版图layout,DRC、LVS、PEX、RVE后仿真AMS完整流程+SAR ADC项目+Bandgap LDO+Buck DCDC
简单来说,比如一个系统-3dB的带宽是1Khz,那么只要系统输入信号小于1Khz,系统都能正常输出;下图是一个一阶RC低通滤波器,截止频率Fc=1/(2πRC)=1Khz,也就是说输入1V的1Khz的信号,输出是0.707V&1Khz的信号。G=-3dB时,A=0.707,换句话说,我们把系统放大倍数降低到0.707时的频点,定义为系统的带宽,如下图所示。对于我们常说的电路带宽或系统带宽,指的是增
利用Filter DesignGuide实现LC低通滤波器
打开以下两个不同路径下designguide的文件夹。
射频工程
——射频工程
联系我们(工作时间:8:30-22:00)
400-660-0108 kefu@csdn.net