登录社区云,与社区用户共同成长
邀请您加入社区
数据用向量和张量表示。模型用线性变换(权重矩阵)和激活函数(非线性)构建。学习涉及求解线性系统、优化特征方向。理解通过秩、特征值、零空间等概念洞察模型行为。从基础向量到抽象空间,这些概念共同构成了机器学习的数学骨架。掌握它们,不仅能让你看懂算法公式,更能培养深刻的几何直觉,助你在数据科学领域走得更远。上一章机器学习线性代数–(12)抽象向量空间:超越箭头的世界。
本文提出了一种全面的Swin Transformer改进方案矩阵,涵盖14+种优化方向,针对计算机视觉任务中的不同需求进行针对性优化。该矩阵从注意力机制革新、多尺度特征聚合、通道/空间增强和轻量化建模四个维度出发,提供了模块化、即插即用的改进方案。具体技术包括PCPA、ASPP、CBAM、CoordAtt等,可有效提升模型在分类、检测、分割等任务中的性能。实验表明,这些改进方案能显著提高精度(如分
本文摘要: 本文系统介绍了注意力机制的发展与应用,从生物学启发的视觉注意力系统出发,详细阐述了注意力机制在深度学习中的演变过程。文章首先分析了传统Seq2Seq模型的信息瓶颈问题,随后深入讲解了注意力机制的数学形式,包括Query-Key-Value范式和不同注意力类型的计算方式。特别对加性注意力和点积注意力进行了代码级的实现展示,并比较了它们的特点。通过类比图书馆找书的生动例子,使抽象的注意力机
并行基础:编程模型、性能指标、并行策略。并行FDTD:空间分解、数据交换、负载均衡。并行MoM:矩阵填充、求解并行、FMM并行。GPU加速:CUDA编程、内存优化、计算优化。Python实现:多线程、参数扫描并行。
文献来源:大量的分布式电源(DG)并网运行 使 得 配 电 网的结构和运行方式发生很大变化,智能配电网的提出和发展使得这一变化更加明显[1]。配电网节点众多,各种 DG 投退频繁,导致智能配电网的运行方式灵活多变,尤其当电网中的某些开关断开时,会将电网分为若干性质各异、相互独立的子网,如果子网中的负荷由 DG 或微电网供电,那么该子 网 就 以 孤 岛的方式运行。孤岛的出现一方面对智能配电网的调度
基本参数:复介电常数、复磁导率、折射率。色散理论:Lorentz、Debye、Drude模型。各向异性材料:张量参数、双折射、旋光性。超材料:左手材料、负折射率、应用。磁性材料:磁化机制、铁氧体、旋磁特性。导电材料:金属、半导体、超导体。Python实现:色散模型、参数提取。
本文从时空光速运动第一性原理出发,仅用一条基础公理(静止物体周围空间以光速c做圆柱状螺旋发散运动,满足r=ct关系),严格证明了惯性质量与引力质量的完全等价性。通过将质量定义为空间位移线条数、引力场视为空间旋转向心加速度,建立几何化数学模型,推导过程与牛顿力学、开普勒定律完美吻合。最终证明物体在引力场中的加速度严格等于引力场强度,从而得出m引=m惯的必然结论,解决了牛顿未解释、爱因斯坦作为公理使用
我们将看到更少的超级精确预测,而更多的是信息的透明度、分享以及数字孪生——不仅利用人工智能,还要利用我们的人类知识和许多人多年来所做的所有工作。这也是一个所有相关人员——即使是在制造车间——都需要对正在发生的事情有一定程度理解的行业,所以这是一个推动人工智能发展的绝佳行业,因为我们在将东西放到芯片上之前,会对其进行测试和思考。我想说的一点是,利用现有的工具。然后,结合这些,你有了另一个模型,你可以
本文介绍了二维数组与矩阵的基本概念及常见操作。二维数组是一种由行和列组成的数据结构,广泛应用于编程和数学领域。文章详细讲解了矩阵的加法、减法、乘法和转置等基本运算,并通过Python代码示例展示了具体实现方法。此外,还使用Mermaid流程图直观呈现了矩阵运算的逻辑流程,并列举了矩阵在图像处理、游戏开发、数据分析和科学计算等领域的实际应用。最后通过一个综合的Matrix类示例,演示了如何封装这些矩
矩阵乘法是现代技术计算中的基本运算。它是求解方程组的基础,支撑着图形学、模拟、优化以及大部分机器学习领域,并且非常适合GPU等高性能硬件。给定输入矩阵A(MxK) 和B(KxN),结果矩阵CCi,j= Σk=1KAi,kBk,j从公式可以看出,C中的一个元素是通过取A的一行与B的一列的点积计算得出的。Tile编程通过将输出矩阵划分为多个Tile来简化实现,同时实现卓越的性能。每个Block负责一个
咱这工具箱不用改代码,Excel数据往里头一扔就能跑,7个输入怼1个输出稳稳的(想要多输出也能魔改),连结果可视化都给你包圆了。指标面板更狠,R²干到0.96,RMSE不到0.3,这表现在工业级数据里都算能打的了。这波操作就像开盲盒——你只需要保证Excel前7列是特征,第8列是目标值,剩下的数据拆分、标准化全自动搞定。1.数据集7个输入特征,1个输出特征,无需更改代码替换数据直接使用。1.数据集
B2B企业的获客瓶颈,从来不是“没有客户”,而是没有找到精准触达客户、高效挖掘客户的正确方式。在AI搜索与智能技术普及的当下,矩阵跃动GEO抢占前端精准流量,龙虾机器人锁定中端高意向线索,二者联动形成完整的获客闭环,既解决了传统获客的流量痛点,又突破了人工操作的效率瓶颈,为各类B2B企业提供了可落地、可复制、可量化的破局路径。
跨平台AI运营的核心痛点,从来不是“覆盖多少平台”,而是“如何用最低的成本,实现最高效的全域曝光”。矩阵跃动小陌GEO通过技术打通多平台协同壁垒,解决操作冗余、数据孤岛、适配困难等核心问题,为AI运营从业者提供了一条轻量化的破局之路。对于想要布局全域AI生态、提升运营效率的团队与个人而言,摒弃传统分散运营模式,拥抱集约化协同运营,是降低成本、提升效能、放大曝光的核心选择。后续随着AI平台的持续迭代
流量赛道迭代,优化思路必须升级。传统SEO已无法适配大模型时代,GEO生成式引擎优化,是企业抓住AI流量红利的核心抓手。如果你也面临大模型流量困局,不妨借助矩阵跃动小陌GEO的专业方案,跳出旧思维,抢占新风口,在AI信息分发时代,牢牢掌握属于自己的流量话语权。本文聚焦大模型流量优化实战逻辑,分享行业干货与落地思路,助力技术型企业、运营从业者找准方向,避开误区,高效布局AI搜索流量。欢迎在评论区交流
投影矩阵是 WebGL 3D 渲染的最后一步,决定了视觉效果是“近大远小”还是“保持真实大小”。透视投影通过透视除法和平截头体实现景深,正交投影通过线性映射和长方体实现精确尺寸。从公式推导可以看出,两者本质区别在于是否引入与 z 相关的除法,这也决定了它们完全不同的视觉特性。参数调试时,near/far 的比值是影响深度精度的关键,fov和分别控制视野范围。9.完整代码,关注后可以下载。💡 下期
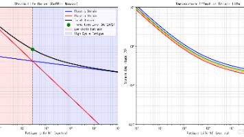
热疲劳是工程结构在循环热载荷作用下产生的渐进性损伤现象,是导致航空发动机涡轮叶片、核反应堆压力容器、汽车排气系统等高温部件失效的主要机制之一。本文系统阐述热疲劳的物理机理、损伤累积理论和寿命预测方法,重点介绍基于应变-寿命法和能量法的预测模型,包括Coffin-Manson方程、Smith-Watson-Topper(SWT)参数和Ostergren能量模型。通过Python仿真实现热机械耦合分析
形成机制:物理过程、晶体对称性、生长动力学数值模型:DLA模型、相场模型、各向异性数值仿真:通过Python实现了雪花生长模拟自然现象:讨论了温度、湿度对雪花形态的影响雪花形成模拟是理解晶体生长和分形几何的重要工具,掌握其建模方法对于材料科学和气象学研究具有重要意义。
物理基础:斯蒂芬条件、凝固模式、界面动力学数值方法:显式追踪法、焓方法、相场模型数值仿真:通过Python实现了凝固过程的数值模拟工程应用:讨论了铸造、晶体生长、食品冷冻等领域的应用凝固与熔化过程模拟是材料加工和工业制造中的重要工具,掌握其建模方法对于优化工艺参数和提高产品质量具有重要意义。
温室效应基础:基本原理、大气辐射特性、能量平衡温室气体特性:CO₂、H₂O、CH₄等气体的辐射特性、辐射强迫数值仿真:通过Python实现了能量平衡模型和大气辐射传输计算工程应用:讨论了建筑设计、气候工程、能源政策等领域的应用理解温室效应的传热机理对于应对气候变化和可持续发展具有重要意义。
音视频信号管理设备对比指南:延长器、分配器、切换器和矩阵是四种常用设备,各有独特功能。延长器用于远距离传输信号,分配器实现信号同步分发,切换器支持多信号源选择,矩阵则提供灵活的多路输入输出路由。关键区别在于:延长器解决距离问题,分配器负责信号复制,切换器进行信号选择,矩阵实现复杂调度。选择时需根据具体需求:远距离传输选延长器,多屏同显用分配器,多主机切换用切换器,复杂调度则需矩阵。TESmart等
拓扑优化是一种寻求材料最优分布的结构优化方法,在传热领域可以用于设计具有复杂流道和高换热性能的换热器、散热器等设备。本文系统分析了拓扑优化在传热问题中的数学模型和数值方法,建立了基于密度法和水平集法的导热和流动传热拓扑优化框架,详细讨论了多物理场耦合、制造约束处理等关键问题。采用Python实现了简化的传热拓扑优化算法,分析了不同边界条件和目标函数对优化结果的影响,为先进传热设备设计提供新思路。
太阳能热利用是将太阳辐射能转换为热能的技术,在热水供应、采暖制冷、工业加热和发电等领域有广泛应用。本文系统分析了太阳能集热器的工作原理和性能评价方法,建立了平板集热器和真空管集热器的热平衡模型,详细讨论了集热器效率、热损失系数和光学效率等关键参数。采用Python实现了集热器性能曲线、全年能量产出和系统优化的数值模拟,分析了不同集热器类型、工作温度和气候条件对系统性能的影响,为太阳能热利用系统设计
凝结换热是蒸汽释放潜热转变为液体的相变过程,在电厂凝汽器、制冷系统冷凝器、化工精馏塔等设备中广泛应用。本文系统分析了膜状凝结和珠状凝结的物理机理,建立了Nusselt层流膜状凝结理论和湍流膜状凝结模型。详细讨论了不凝结气体、蒸汽速度、表面特性等因素对凝结换热的影响。采用Python实现了竖壁和水平管外的凝结换热数值模拟,分析了液膜厚度分布、局部换热系数变化和总换热量计算,为冷凝器设计优化提供理论依
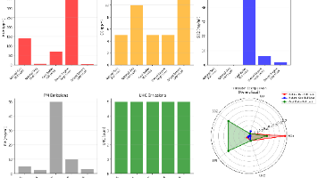
本文针对机器学习模型评估中的常见陷阱,重点解析了准确率在样本不平衡场景下的局限性。通过引入混淆矩阵(TP/TN/FP/FN),详细讲解了精确率、召回率和F1分数的计算方法和应用场景:精确率关注预测为正例的准确性,适用于重视减少误报的场景;召回率关注识别真实正例的全面性,适用于不能容忍漏报的场景;F1分数则是两者的调和平均。文章强调,在医疗诊断等关键领域,需综合多个指标而非仅依赖准确率来评估模型性能
导热与辐射耦合传热是高温系统中普遍存在的复杂传热现象,在炉窑、燃烧室、太阳能集热器等设备中起关键作用。本文系统分析了导热-辐射耦合的基本理论,推导了能量方程中的辐射源项处理方法。详细讨论了参与性介质辐射、光学厚度、散射效应等关键概念。采用有限体积法和离散坐标法建立耦合数值模型,求解了半透明介质中的温度场分布。通过Python仿真,模拟了高温气体层、玻璃板、陶瓷材料等典型半透明介质的传热过程,分析了
概率论与统计是人工智能的重要数学基础,涵盖贝叶斯定理、常见概率分布和统计推断等核心内容。文章系统介绍了概率的基本概念、条件概率、正态分布等概率分布特性,以及参数估计、假设检验等统计方法,并配以Python代码示例演示实际应用。这些数学工具为理解AI模型的不确定性、数据分析和决策提供了理论支撑,是机器学习和大语言模型等技术的底层逻辑。掌握概率统计知识对AI研究和应用具有关键意义。
本文系统梳理了医学人工智能中分类模型评估的关键指标。通过混淆矩阵基础介绍,详细解释了TP、FN、FP、TN的含义及其衍生指标:准确率(Accuracy)、精确率(Precision)、召回率(Recall/敏感性)、特异性(Specificity)和F1-score的计算公式。结合腹部CT四分类案例,分析指出Accuracy易被负样本数量拉高,而Recall更能反映模型检测疾病的能力。最后建议采用
本文系统介绍了深度学习系统中的四大优化技术:内存管理方面提出了惰性分配和引用计数机制;算子优化详细阐述了循环分块/展开/融合等策略以及SIMD指令优化;AutoTuning技术可自动寻找最优参数;代码生成部分重点介绍了Triton语言及其抽象概念。这些方法从不同维度提升系统性能,包括减少内存分配开销、提高计算并行度、优化数据访存模式等,为深度学习框架的优化提供了完整的技术路线。
本文系统介绍了从NVIDIA CUDA迁移至天数智芯国产GPU的技术方案。重点分析了二者在Warp大小、Block线程限制和共享内存配置等核心架构差异,并详细阐述了需要修改的PTX汇编代码、非标准CUDA扩展和硬件相关假设三类代码。文章提供了完整的编译环境配置指南,包括SDK安装、编译器选择和Makefile/CMake迁移方法,并介绍了天数智芯SDK中的系统管理、性能分析和调试工具链。通过针对性
矩阵运营最怕的是人工过载,以前10个账号就得配一个运营,现在能不能靠系统实现单人管百号?BIAI云控的智能分发、AI养号功能,能自动完成账号活跃、内容定时发布、评论互动,实测中一个运营能轻松打理100个跨平台账号,运营成本直接降了80%。行业报告显示,这类全自动化运营的系统,能让卖家的社媒互动率平均提升170%以上,广告ROI也能涨80%左右。选跨境短视频矩阵系统,别被花哨的功能迷惑,要盯着“安全
本文基于v=c空间本底光速螺旋运动公设,首次将微观空间几何点的螺旋运动模型拓展至宏观天体系统,构建了多层嵌套的天体光速螺旋运动模型。研究证明天体的宏观运动本质是空间本底光速螺旋运动的投影效应,静质量对应螺旋旋转分量,宏观可观测速度对应切向分量,合速率恒为光速c。从弗莱纳正交标架出发,推导出太阳系与地球系统中引力、电场、磁场方向的两两正交性。基于实测天文参数的全量数值计算验证了地球重力加速度、地磁场
给你一份“全体系速查”,任何时候忘了内容,只需扫一句。线性代数的本质,不是一堆矩阵、公式、定理。用线性语言,简化世界的复杂关系。你学的不是数学,而是一套描述系统、简化系统、抓住本质的底层思维。老大,这本《线性代数:入门与全领域展开》从向量到矩阵,从变换到分解,从二次型到特征值,从方程组到工程应用,它已经形成了完整闭环、完整体系、完整逻辑链。AI 算法工程建模数据分析系统架构数学科研只要脑子里把这本
摘要: 矩阵分解是将复杂矩阵拆解为简单矩阵乘积的核心工具,广泛应用于工程与AI领域。本章聚焦四大实用分解:LU分解(快速解方程)、QR分解(数值稳定计算)、特征值分解(主轴分析与降维)和奇异值分解SVD(万能分解,支撑推荐系统与图像处理)。其核心价值在于简化、解耦、降噪与压缩,实现复杂系统的可控与优化。掌握分解方法的选择逻辑(如对称矩阵用EVD、任意矩阵用SVD),是理论迈向工程实践的关键。本质是
本文系统阐述了线性代数中特征值与特征向量的核心概念及应用。特征值表示线性变换中的缩放比例,特征向量代表变换中方向不变的主轴。通过求解特征方程和齐次方程组可获得特征值与特征向量,对角化则利用它们将复杂变换简化为对角矩阵形式。文章强调理解几何意义比机械计算更重要,并列举了四大应用场景:AI降维(PCA)、系统稳定性分析、物理振动研究和图像处理。核心思想是抓住系统的不变本质,通过最优视角简化复杂问题,这
时间势差(时间膨胀效应)是相对论时空理论的核心结论,但传统理论存在公理体系割裂、本源解释缺失的局限。本文以**全维固有光速恒定(v≡c)**为唯一第一性公设,构建空间光速螺旋时空几何模型,通过基础代数求导推导出时间势差的全维统一精确公式,给出任意弯曲时空下的终极张量形式。通过GPS导航、地面原子钟、脉冲双星、黑洞视界等全场景验证,计算结果与实测值完全一致。本文首次揭示时间势差的本质是四维光速螺旋运
本文深入解析了Transformer多头注意力机制中权重矩阵W的组织方式,从数据排布、计算逻辑、物理意义等维度澄清了"打分器"模型的核心问题。文章指出权重矩阵的行或列作为打分器取决于数据组织方式:传统数学统计中样本按列组织时W的行是打分器(W@X),而深度学习框架中样本按行组织时W的列是打分器(X@W)。两种约定本质等价,输出互为转置。文中还给出了黄金法则:根据打分器位置决定W
华为鲲鹏超智融合芯片创新性地将AI矩阵计算单元集成到CPU中,开创了HPC与AI融合新范式。该芯片具备众核架构、片上矩阵计算单元和高带宽内存三大特性,通过鲲鹏统一并行库(KPL)提供矩阵编程、并行开发等核心能力,优化了传统HPC和AI科学计算的性能表现。在WASP地形模拟和AlphaFold蛋白质预测等应用中,优化策略实现了3-10倍的性能提升,部分场景超越GPU表现。华为通过开源策略构建软件生态
燃烧数值模拟在工程设计和科学研究中发挥着越来越重要的作用,但模拟结果往往存在不确定性:**不确定性量化(UQ)**的目标:物理模型不确定性:输入参数不确定性:数值方法不确定性:主要方法分类:敏感性分析(SA):不确定性传播(UP):模型验证与确认(V&V):定义:由于缺乏知识或信息不足导致的不确定性特点:燃烧模拟中的例子:定义:由于系统固有的随机性导致的不确定性特点:燃烧模拟中的例子:2.3 燃烧
燃烧过程是现代社会能源供应的主要方式,但同时也产生了大量的污染物,对环境和人类健康造成了严重影响。主要燃烧污染物包括:氮氧化物(NOx):包括NO、NO₂和N₂O,是光化学烟雾、酸雨和臭氧层破坏的主要前驱物。NOx排放会导致:一氧化碳(CO):无色无味有毒气体,与血红蛋白的结合能力是氧气的200倍,会导致组织缺氧。主要危害包括:硫氧化物(SOx):主要是SO₂和SO₃,是酸雨的主要成分。危害包括:
辐射传热是燃烧过程中最重要的传热方式之一,在高温燃烧系统中往往占据主导地位。与导热和对流不同,辐射传热不需要介质,可以在真空中传播,且与温度的四次方成正比,因此在高温条件下变得极其重要。燃烧系统中辐射传热的重要性体现在:与导热和对流的区别:辐射传热的复杂性:工业应用:科学研究:黑体是理想化的辐射体,具有以下特性:Planck定律描述了黑体辐射的光谱分布:Ebλ(T)=2πhc2λ51exp(hc
湍流燃烧模型是工业燃烧数值模拟的核心技术,其中雷诺平均Navier-Stokes(RANS)方法因其计算效率优势而被广泛应用。本教程系统阐述基于RANS框架的湍流燃烧建模理论,涵盖湍流模型(k-ε、RNG k-ε、Realizable k-ε、SST k-ω)、燃烧模型(涡破碎模型EBU、涡耗散模型EDM、涡耗散概念EDC、火焰面模型、PDF输运方程模型)以及它们的耦合策略。通过Python仿真实
燃烧模型的验证与确认(Verification and Validation, V&V)是确保数值模拟结果可靠性和工程应用价值的关键环节。验证(Verification)关注"是否正确地求解了数学模型",确认(Validation)关注"数学模型是否正确描述了物理现象"。本教程系统阐述燃烧仿真中V&V的理论基础、方法论体系和实践流程,涵盖误差分析、网格收敛性研究、不确定性量化、基准测试案例设计等核
燃烧不稳定性是燃烧系统中常见的危险现象,表现为压力、热释放率的周期性振荡,可能导致设备损坏、性能下降甚至灾难性事故。本教程系统介绍燃烧不稳定性的物理机理、数学模型和分析方法。内容涵盖热声不稳定性的耦合机制、Rayleigh准则、特征模态分析、非线性效应等核心理论。通过Python仿真实验,读者将深入理解燃烧不稳定性的动力学行为,掌握线性稳定性分析、时域仿真、频谱分析等关键技术,为进行燃烧系统的稳定
燃烧污染物生成机理是理解和控制燃烧过程中有害物质排放的关键科学基础。本教程系统介绍燃烧过程中主要污染物(NOx、SOx、CO、颗粒物等)的生成机理、影响因素和控制策略。内容涵盖热力型NOx、快速型NOx、燃料型NOx的形成机制,SOx的氧化过程,CO的生成与氧化,碳烟的形成与演化等核心理论。通过Python仿真实验,读者将深入理解污染物生成的化学动力学过程,掌握NOx生成模型、碳烟形成模拟、排放预
喷雾燃烧是液体燃料在燃烧设备中最常见的燃烧形态,广泛应用于航空发动机、燃气轮机、柴油机、工业锅炉等动力装置中。本教程系统介绍喷雾燃烧的理论基础,包括液滴破碎与雾化、液滴蒸发、液滴燃烧、喷雾-湍流相互作用等核心内容。内容涵盖液滴尺寸分布模型、蒸发模型、燃烧模型、喷雾数值模拟方法等。通过Python仿真实验,读者将深入理解喷雾燃烧的数值模拟技术,掌握液滴轨迹计算、蒸发速率预测、喷雾燃烧特性分析等实用技
湍流扩散火焰是工业燃烧设备中最常见的燃烧形态之一,其特点是燃料和氧化剂在燃烧前是分离的,通过分子扩散和湍流输运在火焰区域混合并发生反应。本教程系统介绍湍流扩散火焰的理论基础,包括扩散火焰结构、混合分数概念、湍流-化学相互作用、火焰高度预测等核心内容。内容涵盖守恒标量方法、混合分数模型、概率密度函数(PDF)方法、条件矩封闭(CMC)模型等数值模拟方法。通过Python仿真实验,读者将深入理解湍流扩
线性代数
——线性代数
联系我们(工作时间:8:30-22:00)
400-660-0108 kefu@csdn.net