登录社区云,与社区用户共同成长
邀请您加入社区
这是一款功能强大的资源搜索软件,拥有海量的资源接口,能够轻松搜索到C力、网盘、电影等各种资源,满足你的一切需求。强大的C力搜索功能:你可以在线搜索到各种精彩的电影资源,并支持在线解析下载,下载速度高达15MB/s,快到飞起!即使下载未完成,也能直接在线观看。此外,软件还提供了许多实用工具功能,如找壁纸、找网站、找头像、短视频解析、微应用等,功能丰富,且全部免费,可直接在线使用。丰富的音乐与网盘资源
比如,在为某时尚品牌进行社交媒体推广时,奥美互动策划的一系列话题活动,吸引了大量年轻用户的参与,有效提升了品牌在年轻群体中的影响力。但华扬联众的服务范围相对较窄,在一些新兴的网络推广领域,如短视频营销等方面,投入的资源相对较少。例如,在某国际品牌的新品推广活动中,蓝标传媒运用创意十足的营销策略,结合社交媒体的广泛传播,使该新品在短时间内获得了极高的曝光度,市场反响热烈。在汽车品牌的线上推广方面,新
申威的SW64架构与龙芯的LoongArch架构都属于我国自主知识产权的处理器架构,但在技术水平上,一定程度受限于原始技术的局限,初始性能不高,但后续自主创新发展空间广阔。另外全新架构还需要软件生态的持续开拓,龙芯2023年前四个月,新增适配软件超400款,速度不可谓慢,但相比走X86路线的海光、兆芯,以及基于ARM架构的鲲鹏、飞腾,龙芯和申威在软件丰富程度方面,还有比较长的路要走。不管是哪条路线
基于全域智能调度、分布式资源管理、云边网协同等核心能力,移动云能够以超低时延、超大带宽、云边网协同的边缘智能云EIC为云游戏、云网吧、vCDN、高清视频、云AR/VR等边缘业务提供多样化算力资源、多类型网络互联/接入。随着业务与“云”结合越发紧密,企业对于上云、用云的方式也更加成熟与理性。信息时代,企业在数字化转型升级过程中的算力使用需求呈爆发式增长,传统本地数据中心很难满足海量数据的存储、处理需
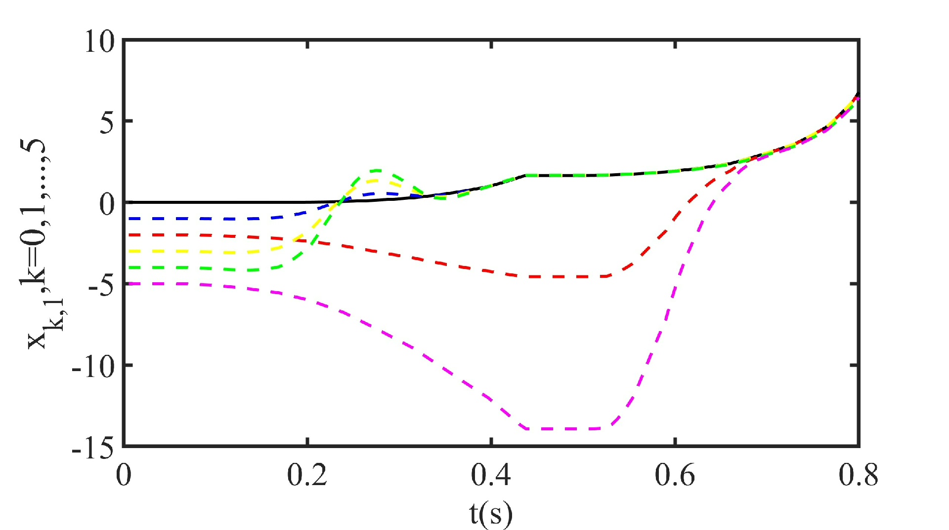
非线性多智能体有向网络一致性的最小领导者数分配在多智能体系统的研究领域中,非线性多智能体有向网络一致性以及最小领导者数分配是相当有趣且极具实际意义的话题。想象一下,我们有一群智能体,它们就像一群自主行动的小机器人,在一个有向网络中运作。每个智能体都有自己的行为模式,但我们希望它们能达成某种一致性,就像一群鸟整齐地飞翔,或者一群鱼协调地游动。这时候,领导者的作用就至关重要了。
对于本次数博会的主题“数实相融,算启未来”,渐风科技副总裁田雨认为,数字经济和实体经济是相互促进、相互融合的过程,其中离不开许多前沿技术的支撑,而算力作为支撑数字经济蓬勃发展的重要“底座”,是激活数据要素潜能、驱动经济社会数字化转型、推动数字政府建设的新引擎。未来,渐风将继续依托自身产业数字资源优势,持续深化产业融合,促进智能化与数字化深度合作,推动合作方的数字与安全能力建设水平、人才培养质量的提
用 Electron 框架构建桌面应用程序,把已有 web 项目打包成桌面应用利用electron和electron-builder把前端web项目生成桌面程序
Linux内核调度器是操作系统核心组件,负责决定哪个进程在何时使用CPU。其设计目标是在公平性和效率之间取得平衡,同时满足从交互式桌面应用到高性能计算和实时任务等多种工作负载的需求。现代Linux内核采用了一种模块化的调度架构,核心是“完全公平调度器”(CFS)来处理普通任务,并为实时任务提供了独立的调度类。这两种调度类共同协作,构成了Linux强大而灵活的进程调度系统。Linux内核调度器通过C
wx2tt微信小程序转头条小程序工具安装npm i wx2tt -g使用方法wx2tt <path/to/wxapp> <path/to/ttapp> [--watch] [--minify] [--minify-wxss] [--minify-js] [--minify-wxml]参数说明path/to/wxapp 表示微信小程序目录pat
在学习《web前端自动化构建》一书,根据第二章《Gulp入门》中,为使用JSHint进行代码风格检查,安装gulp-jshint后,写了如下示例代码:const jshint = require('gulp-jshint');gulp.task('test', () => {return gulp.src('./app/**/*.js').pipe(jsh...
随着平台生态的不断完善,GpuGeek必将助力更多个人开发者和高校研究者在AI领域实现突破,为推动AI技术的普及和创新作出积极贡献。这种开放的模型生态,为个人开发者和研究人员提供了广阔的创新空间。作为面向算法工程师的一站式AI infra平台,GpuGeek通过创新的技术服务模式和完善的基础设施支持,正在为个人开发者和高校师生打造一个开放、高效、经济的AI研发环境。这些节点实现了模型镜像秒级加载,
简答题谈谈你对工程化的初步认识,结合你之前遇到过的问题说出三个以上工程化能够解决问题或者带来的价值。工程化是根据业务特点,将前端开发流程规范化,标准化,它包括了开发流程,技术选型,代码规范,构建发布等,用于提升前端工程师的开发效率和代码质量。1.制定各项规范,编码规范,开发流程规范,前后端接口规范等等2.使用版本控制工具git,commit描述规范3.使用合适前端技术和框架,提高生产效率,降低维护
Gulp是一个自动化构建工具,类似Webpack,目的是把开发环境的代码转换为生产环境的代码,比如ES6转ES5、Saas转CSS、文件压缩等。Gulp的整体设计思路是通过文件读写和一系列Stream插件实现文件内容处理,完成构建工作。完整的构建工作可以拆分为多个构建步骤,每一个构建步骤称之为任务,一个大型的项目构建由多个任务组合完成。
自动化部署
nvm(Node Version Manager)是一个用来管理node版本的工具。我们之所以需要使用node,是因为我们需要使用node中的npm(Node Package Manager),使用npm的目的是为了能够方便的管理一些前端开发的包!nvm`的安装非常简单,步骤如下:1. 到这个链接下载nvm的安装包:https://github.com/coreybutler/nvm-windo.
├── build├── distbuild:用于存放构建相关的配置文件,是前端工程化的重要部分,里面的子目录和文件会在项目构建过程中发挥作用,以生成符合小程序要求的代码或资源。appConfig:存放微信小程序app.json文件,这里可以根据环境量选择不同的app.json。npm:存放 微信小程序用到的package.json文件,里面不包含构建用的包,只包含小程序代码用到的文件。pageU
弹性常数描述了晶体对外加应变的响应的刚度。在材料的微小线性变形范围内,体系的应力与应变满足胡克定律。对于足够小的变形,应力与应变成正比,三维材料的弹性刚度常数矩阵是6×6:以六角晶系为例进行说明,其独立的弹性常数有C11,C12,C13,C33和C44:复现内容:ZnO-WZ结构的弹性常数和模量期刊名字:Journal of Physical Chemistry C影响因子(IF):4.126中科
物体的热力学性质是指物质处于平衡状态下压力 P、体积 V、温度 T、组成以及其他的热力学函数之间的变化规律。一般将材料的压力 P、体积 V、温度 T、内能 U、焓 H、熵 S 等统称为物体。以上是我们分享的一些经验或者文章的搬运,或有不足,欢迎大家指出。#温度范围为 0~3000K,间隔为100K。等,本次内容主要介绍如何通过晶格动力学。但是也可以通过经验势函数程序得到,如。
晶格动力学GULP程序运行过程如下:输入文件(input),文件后缀一般为:××.gin运行命令为:gulp < ××.gin > ZnO.dat# < 为输入文件命令(××.gin),> 为输入文件命令(ZnO.dat)opti conp prop phonon#关键词:需要的计算何种性质# opti— perform optimisation run(声明是结构优化)#
晶体结构高压相变的研究是一个重要的研究领域。近年来,随着高压实验技术水平的提高,特别是金刚石压砧技术的广泛应用,人们对高压结构相变的机理有了进一步的认识。但是如何判断一种材料或者一个结构是否稳定?判断固体结构是否稳定,主要有三个判据:1. 热力学稳定(相同条件下,焓值最低的结构为热力学稳定结构);2. 动力学稳定(声子谱在任意点均不出现虚频,表示动力学稳定);3. 力学稳定(相应晶体结构的力学稳定
说起前端自动化构建,相信做过前端的小伙伴们都不会陌生,可能第一感觉就会想到webpack。但是,其实webpack本质意义上应该是一个强大的模块打包器,以入口文件为起点,结合文件间各种引用关系,将各种复杂的文件最终打包成一个或多个浏览器可识别的文件。所以说,webpack更大意义上是一个模块打包器,而非自动化构建工具。今天我们来介绍的是一款强大的自动化构建工具gulp常用自动化构建工具...
大家好,本文将围绕javascript编程题答案展开说明,js编程题目含答案是一个很多人都想弄明白的事情,想搞清楚javascript编程技术需要先了解以下几个事情。
深度学习 在租用gpu遇到的问题问题:DenseNet模型加载失败,‘str’ object has no attribute ‘decode’解决:版本不匹配,tensorflow2.0keras2.4.3 h5py2.10主要是tensorflow版本问题问题: cannot import name ‘ResNet50’ from ‘keras.applications’解决:keras版本问
经答复仍未消除缺陷的,予以驳回。实用新型和外观设计专利申请经初步审查以及发明专利申请经实质审查未发现驳回理由的,由审查员作出授权通知,申请进入授权登记准备,经对授权文本的法律效力和完整性进行复核,对专利申请的著录项目进行校对、修改后,专利局发出授权通知书和办理登记手续通知书,申请人接到通知书后应当在2个月之内按照通知的要求办理登记手续并缴纳规定的费用,按期办理登记手续的,专利局将授予专利权,颁发专
以特定时间窗内的运动求解为例,通过对比不同时刻同一路标在雷达坐标系下的位置变迁,反推雷达乃至车辆的移动轨迹,这一过程巧妙融合了空间旋转与平移的几何变换,最终汇聚成车辆运动轨迹的连续画卷。依据不同的匹配策略与算法设计,该技术可细分为四大流派:原始点云直接配准、特征点引导的扫描匹配、基于点云分布特性的匹配方法,以及前沿的深度学习驱动方案。这一过程不仅深刻体现了机器人学领域的智慧结晶,更与测绘学中的点云
通过AI技术驱动智能软件机器人,对传统流程自动化技术进行了全面智能化升级,使其具备强大的任务理解、逻辑推理、指令遵循和动作执行能力,能够高效的处理复杂任务实现人机协同,显著提升工作效率的同时,促进企业规范化流程管理,并保障企业数据的安全与准确性,助力政企数字化转型,重塑新质生产力,实现跨越式增长。,该技术目前处于国际领先水平,曾牵头中国信通院的首个智能体的标准制定,可对标OpenAI的operat
OVITO 是一款功能强大的分子动力学模拟软件,能够帮助用户轻松进行各种分子动力的模拟,为研究分子之间的运动提供了帮助。软件操作操作简单便捷,非常适合需要研究分子动力学的用户,满足用户的各种分子运动研究需求。
如果无法修改 P10 参数,可能是因为变频器处于快速调试模式或其他原因。- 确认当前的访问级别是否为专家级别,如果不是,将 P003 设置为 3 以获得专家级别权限;- 将 P3900 参数设置为 1,结束快速调试模式后再进行修改;- 将 P0010=30 和 P0970=1,将变频器恢复出厂设置后重新调整参数;- 检查是否有其他参数或设置影响了 P10 参数的修改,例如宏或报文控制。- 检查变频
记录一个画图小技巧:原子与分子模拟获取。
I'm working on a website that uses gulp to compile and browser sync to keep the browser synchronise
我用的是linux ,尝试自己解决,无法解决,搜索下找到博主同样错误;希望能帮到各位: ├── tildify@0.2.0├── interpret@0.3.5├── pretty-hrtime@0.2.1├── deprecated@0.0.1├── archy@0.0.2├── minimist@0.2.0├── semver@2.3.2├── orches...
如果您想要提升您的产品性能和品质,同时降低成本和故障率,蓝牙陶瓷天线将是您不可错过的选择。我们相信,在不久的将来,它将会成为无线通信领域的主流产品,带来更多的商业机会和发展空间。2. 低成本:相比传统的天线制造,詠业蓝牙陶瓷天线的制造成本更低,因为它采用了的陶瓷制造技术,大大降低了生产成本。同时,它的使用寿命更长,可靠性更高,在长期使用中能够降低维护和更换的成本。作为一种、环保、健康的材料,蓝牙陶
Error: ENOENT: no such file or directory, scandir ‘…/node_modules/node-sass/vendor’这个错误的意思就是找不到node_modules/node-sass/vendor模块。errorin ./node_modules/@choerodon/base/lib/src/app/iam/containers/global/
B. funcC. def正确答案:C5分答案解析:使用def关键字创建自定义函数正确答案:(1) def答案解析:Python中定义函数的关键字是defA. 对B. 错正确答案:错5分答案解析:函数定义完成后,需要调用才会执行A. 对B. 错正确答案:错答案解析:定义Python函数时,可以不指定函数返回值类型A. 对B. 错正确答案:对答案解析:定义Python函数时,如果函数中没有retur
如何在NodeJS项目中优雅的使用ES6NodeJs最近的版本都开始支持ES6(ES2015)的新特性了,设置已经支持了async/await这样的更高级的特性。只是在使用的时候需要在node后面加上参数:--harmony。但是,即使如此node也还是没有支持全部的ES6特性。所以这个时候就需要用到Babel了。现在开始Babel在开始使用Babel之前,假设1. 你已经安装了nodejs,并
这里我们用到一个Ai语音转文字工具——录咖,使用录咖就能将录音/视频/语音转成文字,文字转换速度很快,准确率也很高!很快,DeepSeek就生成了一份清晰完整的会议记录,咱们只需要增加一些基础的日期、人名就可以直接拿来用了!众所周知,DeepSeek生成内容的质量超高,那作为职场人,尤其是天天开会,散会啥也记不住,写不出会议记录的咱们来说,怎么能不会用DeepSeek来写会议记录呢?如果你是外文的
以一家具体的养殖场为例,该养殖场采用了智慧养殖可视化大屏。其中,智慧养殖可视化大屏作为智慧农业的重要组成部分,具备信息展示、数据分析和决策支持等功能,已经成为养殖场主管理养殖场的重要工具。智慧养殖可视化大屏是一种基于大数据和物联网技术的智能管理系统,它将养殖场的各类相关信息和3D场景呈现出来,并通过集成养殖数据源和支持远程监控,帮助养殖场主全面了解养殖现状。未来,智慧养殖可视化大屏将在农业领域发挥
昨天老师教的课程在脑海中回荡,我迫不及待地拿起画笔,想要将想象中的世界勾勒在纸上。然而,当我打开视频准备回顾老师的教学内容时,却遭遇了一场突如其来的困难——有些视频无法播放。面对这一突发状况,我感到有些失望,但我并没有放弃,而是决定向同学求助。幸运的是,我的同学们总是乐于助人。我向他们述说了我的困境,他们立即伸出援手,帮我寻找解决方案。然而,我的同学们并没有因此而气馁,而是积极行动起来,寻找着解密
//gulpfile.js'use strict';/*** 1. LESS编译 压缩 合并* 2. JS合并 压缩 混淆* 3. img复制* 4. html压缩*/// 在gulpfile中先载入gulp包,因为这个包提供了一些APIvar gulp = require('gulp');var less = require('gulp-less');var cssna
APIgulp一共四个API,执行任务;找到文件的路径;输出文件路径;监听gulp.taskulp.srcgulp.destgulp.watchNo1 :gulp.task()执行任务,task(‘任务名称’,[任务数组],fn)No2:gulp.src()简单理解就是根据路径找到对应的文件,src(‘路径’[,可选参数]);可以被pipe的到其他插件中No3:gulp
前端构建工具大盘点:gulp、webpack、vite、rollup、esbuild、snowpack、babel、parcel、swc、tsc
css外联样式报错
问题:编译节点模块时出现打字错误 我下载了Typescript、Express、Sequelize、Postgres Example并运行npm install和npm start。 在npm start上它会产生一些错误。 [11:27:11] Starting 'compile:typescript'... ~/node_modules/@types/geojson/index.d.ts(94
问题:Jenkins中的# 环境变量[重复] 我想在我的 Windows7 上在 Jenkins 中运行 gulp 测试。当我在我的 cmd 中运行它时,测试成功。所以我使用命令: gulp test 但是当我在 Jenkins 的 windows 批处理命令中添加 gulp 测试时,无法识别 gulp 命令。我试图为它创建一个环境变量。但它仍然失败。我有一个带有此输入的 prop.propert
问题:vueify(在 gulp 任务中)与 vue 文件的 babel 转换 固定的。 解决方案是: 1.同样通过.transform(babelify) 确保你所有的.vue-file 脚本元素看起来像<script type="text/javascript">—— type 属性必须在之前自定义属性,lang 属性.. 可能是第一个,甚至是标签上的唯一属性。 我_认为_我的问题是我的 vu
问题:Vuejs组件模板是否只需要root一个元素? 我在文档中没有看到任何关于此的内容,也许我没有进行足够的搜索,但组件模板似乎与根元素一起工作“更好”(更好的意思是:它在没有根元素的情况下使用 Laravel elixir 运行gulp但运行gulp --production仅显示第一个元素)。 我需要在<template>中只有一个根元素吗? 换句话说,这个模板代码在 Vue 2 中是否允许
问题:在使用 Browserify 时使我的 Vue 实例全局化,以便开发人员工具可用 我开始学习一堆新的前端工具,特别是 Vue.js、Gulp、Node、Babel 和 Browserify。 我已经完成了所有工作,但是我遇到了一个问题,即我为我的应用程序创建的 Vue 实例不是全局的,因此(我假设)我无法访问我的浏览器的 Vue 开发工具。 在我的 gulpfile 中,我有一个捆绑 jav
gulp
——gulp
联系我们(工作时间:8:30-22:00)
400-660-0108 kefu@csdn.net