登录社区云,与社区用户共同成长
邀请您加入社区
本文介绍了通过Crossplane结合Kubernetes YAML API创建云资源,并实现GitOps的工作流程。主要内容包括:1) 使用Terraform创建腾讯云CVM实例并部署K3s集群;2) 通过Helm在远程K3s集群上安装Crossplane;3) 配置腾讯云Provider后,通过YAML文件声明式创建云资源;4) 结合ArgoCD实现GitOps自动化部署。技术栈涉及Terra
问题源于在 Helm 图表运行时动态生成证书,ArgoCD 检测到这些变化,触发同步和证书轮换。由于 CA 证书发生变化,证书控制器必须在一段时间后轮换策略服务器证书,这最终导致了问题。升级 Kubewarden 并在 ArgoCD 管理的 RKE2 集群上运行后,TLS 证书会轮换,导致“未知发行者”错误。Kubewarden 策略服务器并不总是识别证书轮换,导致策略服务器呈现的证书与秘密文件中
OpenCV里自带了好几种现成的追踪器,比如KCF、CSRT、MOSSE这些,各有各的优缺点:KCF快但抗遮挡差,CSRT慢一丢丢但稳得一批,我们最后用的就是CSRT,毕竟追猫这种爱钻缝的主儿,稳比快重要。这个函数绝了,不用自己手动写坐标,直接拖鼠标拉框就行,选完按回车就确认,当时我们框的就是那橘猫的脑袋,别框太宽啊,框太宽把背景带进去,追踪器容易被别的东西干扰。反正这个代码真的足够应付大多数日常
本文介绍了基于 GitOps 理念升级 CI/CD 流水线的实战方案:通过 Jenkins 完成代码构建与镜像推送,并自动更新 Git 仓库中的 Kubernetes 部署清单;再由 Argo CD 持续监控仓库变更,自动同步至集群,实现声明式部署。该架构解决了版本管理混乱、回滚困难、故障自愈不足及多环境一致性问题,显著提升了发布效率与系统稳定性。
该流水线设计体现了云原生、自动化、可追溯、安全的现代 CI/CD 理念,通过 Kubernetes 动态资源、多容器协作、GitOps 部署等模式,实现了高效可靠的软件交付流程。
考试时可以打开题目里给你的 Quick Reference 文档的网址,并复制这一步的命令。可以使用下面命令创建添加名为 argo 的官方 Argo CD Helm 存储库。考试时可以打开题目里给你的 Quick Reference 文档的网址。添加官方的 Argo CD Helm 存储库,并更新Helm 存储库。注意:您不需要配置对 Argo CD 服务器 UI 的访问权限。< 4 > 使用 H
PNN概率神经网络分类预测先根据训练数据选择合适的平滑因子,再对测试集进行预测matlab代码,备注详细,根据自己需要修改案例数据即可在机器学习的众多分类算法中,PNN(概率神经网络)以其独特的优势脱颖而出,常用于模式识别和分类任务。今天咱们就来唠唠如何用PNN进行分类预测,还会给出Matlab代码示例,大家按需修改案例数据就能上手。
这里用了最简单的缩放,但实际效果可能打折。整个项目跑起来后,最带感的还是看到仪表盘的红灯突然亮起,配合警报声——这效果拿去参加大学生创新竞赛绝对够用。这段代码看着简单是吧?比如YOLOv2检测到多个面部框时,咱们直接取第一个(bboxes(1,:)),实际场景可能需要加个置信度过滤,不然突然检测到个幽灵框就翻车了。但要注意timer对象的内存泄漏问题,见过不少人忘记写stop后释放资源的,程序跑着
GitOps 以 Git 仓库为唯一事实源,通过声明式配置实现基础设施和应用的自动化部署。核心流程: $$ \text{Git 仓库} \xrightarrow{\text{变更}} \text{控制器} \xrightarrow{\text{同步}} \text{Kubernetes 集群} $$$$ \text{传统 CI/CD} \to \text{单一工具 PoC} \to \text{生
术语说明CI(持续集成)持续集成,自动化的代码提交和测试流程,确保代码质量,快速发现问题。CD(持续交付/部署)代码通过测试后自动部署到生产环境或预发布环境。GitLab集成了代码托管、CI/CD 流水线的 DevOps 平台。ArgoCDKubernetes 原生的声明式 GitOps 持续交付工具,自动同步 Git 仓库中配置。Kubernetes容器编排平台,管理容器化应用部署和扩展。随便修
大家在独立部署一个docker或者kubernetes集群之后,通常会乐于在互联网上搜索开源系统和工具,尝试在自己的服务器上部署,比如个人页面,管理Dashboard,FTP工具等等,在拥有的系统越来越多的时候,难免希望有一个Dashboard来当作自己的“2345”,将自己的个性信息和页面链接放在上面,分享展示给小伙伴。
利用kubeadm,用标准步骤部署一个最新版本的单节点kubernetes集群
(6)K8S master节点同样运行Python代码进行测试(Python环境为2.7)(4)运行Python代码(Windows11 Python环境为3.8)(4)python实现在GitLab指定项目创建demo02.yaml文件。(5)运行Python代码(Windows11 Python环境为3.8)(2)python实现在GitLab指定项目更新demo02.yaml文件。(3)运行
在 Linux 上以 All-in-One 模式安装 KubeSphere。
Argo CD 是一款基于 GitOps 模型的 Kubernetes 持续交付工具,通过声明式配置实现应用的自动化部署、同步和回滚。其核心思想是将 Git 仓库作为应用状态的唯一真实来源,确保 Kubernetes 集群的实时状态与 Git 中定义的期望状态一致。Jenkins 作为开源CI/CD领域的领导者,支持超过 1000 个插件,覆盖构建、部署、测试等各个环节,使其成为开发生命周期的
在 Kubernetes 集群中安装 ArgoCD 可以通过 Helm 或直接使用 YAML 清单文件。ArgoCD 内置健康检查逻辑。自定义钩子可通过注解实现,例如在 Deployment 中添加。ArgoCD 会自动同步仓库中的配置到集群。和刚才获取的密码登录。
Pod 卡在 ContainerCreating。SSH 连接 GitHub 失败。同步状态 Degraded。健康状态 Degraded。
但命令式部署的缺点也较为明显,当部署步骤增多时,脚本维护难度加大,且难以保证集群状态的一致性。通过对比三者在声明式与命令式部署的差异、版本控制策略的优劣、扩展能力的强弱、社区活跃度及适用场景的匹配度,为用户在容器化应用管理工具的选择上提供全面参考,帮助企业根据自身需求挑选最适合的工具,提升 Kubernetes 环境下的应用部署与运维效率。同时,它支持多环境配置管理,通过分支策略区分开发、测试和生
与传统的直接攻击Kubernetes API不同,GitOps攻击具有隐蔽性、持久性和大规模影响的特点——一次成功的仓库劫持可能导致数百个集群同时被入侵,且攻击痕迹被“合法”的Git提交所掩盖。仓库劫持是其中最危险的一类攻击,指攻击者通过获取Git仓库的写入权限(直接或间接),注入恶意配置,并利用GitOps控制器的自动同步能力在集群中执行恶意操作。· 提供了多个层次的安全配置示例:安全的Kust
GitOps实践:通过ArgoCD管理网关路由配置 本文介绍了利用ArgoCD实现GitOps范式管理Kubernetes网关路由配置的完整方案。传统手动管理方式存在版本控制缺失、协作困难等问题,而GitOps通过将配置存储在Git仓库中,结合ArgoCD自动同步机制,实现了变更可追溯、自动化部署和环境一致性等优势。文章详细讲解了ArgoCD的核心概念、环境部署步骤(包括Contour和NGINX
Argo CD 是一款基于 GitOps 模型的 Kubernetes 持续交付工具,通过声明式配置实现应用的自动化部署、同步和回滚。其核心思想是将 Git 仓库作为应用状态的唯一真实来源,确保 Kubernetes 集群的实时状态与 Git 中定义的期望状态一致。Tekton 是由 Google 开源的云原生 CI/CD 工具,通过K8S云平台快速灵活定义流水线,实现构建、测试和部署。
确保ArgoCD组件与Kubernetes API服务器、Git仓库之间的网络延迟最低,优先使用内网通信。),确保其有足够的CPU和内存。分片或按命名空间划分ArgoCD实例,避免单个实例管理过多应用。针对PostgreSQL后端,优化查询性能并定期清理历史数据。或自动化脚本清理不再需要的资源,减少控制器负载。替换默认的Kustomize/Helm工具为更高效的替代方案(如。启用Prometheu
作为全球医疗及生命科学行业云计算引领者,亚马逊云科技将围绕数据、算力和行业用户体验三大需求发力,通过持续构建行业专属解决方案,进一步赋能生物制药、基因测序和医疗保健等细分领域的数字化创新,加速推进创新成果从实验室到真实世界的落地。通过亚马逊云科技提供的自动化数据生命周期管理服务,该公司将不同的数据分级存储、归档到成本极低的存储层中,有效降低存储成本,并实现了TB级基因数据的存储,同时还应对了团队不
基于Learning MPC(LMPC)的四旋翼飞行器(VAU)的避障路径规划本模型建立一种学习模型预测控制(LMPC)的四旋翼飞行器VAU的控制算法。该控制器可以从数据中学习并找到最佳路径轨迹,在避障的同时,使四旋翼飞行器的单圈时间最小化。此外,还提出了LMPC优化问题的新松弛方法,即允许将其从混合整数非线性规划简化为二次规划。模型有详细说明文档(paper)模型需要安装MATLAB工具,文档附
这个模型把电池的荷电状态补偿系数和二次控制的功率分配比做成可调滑块,边调参数边看波形变化,比看十篇论文都管用。6、模型比较完整三种方法进行对比的,双闭环控制、下垂控制、改进下垂控三种方法进行对比。6、模型比较完整三种方法进行对比的,双闭环控制、下垂控制、改进下垂控三种方法进行对比。3、减小直流母线电压的偏差,以混合储能系统为例,关联参数SOC改进下垂控制。3、减小直流母线电压的偏差,以混合储能系统
永磁同步电机转速电流双闭环PI+MTPA+弱磁控制Simulink仿真模型1.永磁同步电机SVPWM控制算法,实现FOC矢量控制~2.转速电流双闭环控制,电流环采用PI控制,转速环分别采用转矩PI控制,交直轴电流在控制过程中根据负载和转速变化在MTPA和弱磁控制模式来回切换~在电机控制领域,永磁同步电机(PMSM)以其高效、高功率密度等优点得到了广泛应用。今天咱就来聊聊这个永磁同步电机转速电流双闭
demo项目放在gitee上需要自取。
部署
每次更新部署的时候,你只要修改git工程里的devops-service/values.yaml中的版本号,argocd就会自动触发部署。后文有jenkins这款CI工具后,如果要把CI和CD串联起来,做到自动化,只需要在jenkins里修改values.yaml文件中的版本号。这也就是gitops是思想,基于git代码的提交触发以前人工的操作。本文把我在使用argocd的过程中遇到的坑都一一总结
GVM V2.7 是基于 C# 语言开发,依托海康威视 VM4.1 视觉平台构建的二次开发框架,专为工业自动化场景设计,整合了多流程管理、运动控制、设备通讯、光源控制及打标控制等核心功能。框架采用模块化架构,通过清晰的类层次与接口设计,实现了对工业场景中主流硬件设备的兼容与管控,同时支持灵活的服务启动配置与跨设备数据交互,为工业视觉检测与自动化控制提供了稳定、可扩展的开发基础。C#基于海康视觉VM
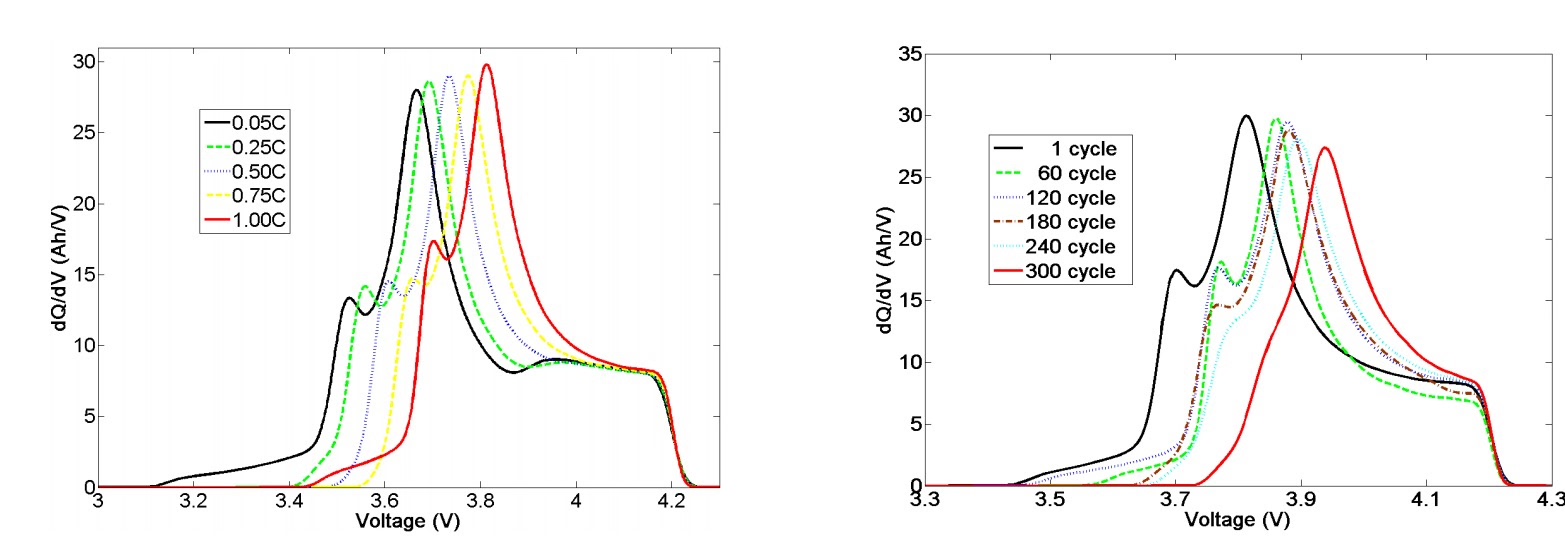
基于增量容量分析(ICA分析)和差分电压分析(DVA分析)的锂离子电池SOH和RUL预测。包括对原始数据的处理、滤波、绘制IC和DV曲线、提取特征、预测模型的构建。
本代码实现了一套完整、实用的风光联合出力场景建模与压缩流程,兼顾理论严谨性与工程可操作性。对于从事新能源电力系统优化、储能配置、市场出清等领域的研究人员与工程师,该方法提供了一个可靠的基础工具,有助于在不确定性环境中做出更稳健的决策。
本文是SREAIAgent开发系列教程的第二部分,主要介绍GitOps及ArgoCD环境的搭建配置过程。内容包括:1) 在GitHub创建仓库并配置访问密钥;2) 安装Git、Helm等核心工具;3) 部署ArgoCD并配置服务暴露;4) 安装Prometheus监控栈;5) 配置Grafana仪表盘。教程提供了详细的命令行操作步骤和验证检查点,特别标注了关键配置项(红色)、检查点(绿色)和问题修
摘要: GitOps通过ArgoCD+Kustomize解决测试环境管理痛点,将配置编码为YAML并纳入Git仓库,实现环境一致性、可复现性和自动化部署。传统手动方式导致配置漂移、环境差异和部署延迟,而GitOps通过四层架构(Git仓库、Base基线、Overlay覆盖层、ArgoCD控制器)实现全环境同步与变更追溯。Kustomize的声明式补丁比Helm更适合测试环境,简化调试与版本控制。实
Argo CD App of Apps 模式实践 本文介绍了如何使用Argo CD的App of Apps模式实现多应用声明式管理。通过创建根应用(root-application)来管理三个子应用(application1-3),每个子应用分别部署nginx、httpd和tomcat服务。关键步骤包括:1) 定义项目结构,包含根应用配置和子应用清单;2) 配置自动创建Namespace;3) 通
以下是通过ArgoCD实现GitOps管理Kubernetes应用部署的实战指南,采用清晰的操作步骤和代码示例:实际生产案例显示,采用此方案后部署失败率平均降低78%,版本发布周期从小时级缩短至分钟级。
摘要:本文通过排查ArgoCD报错"app path does not exist",深入分析了两个关键问题:1)spec.source.path实质是Git仓库中的子目录路径,必须严格对应仓库结构;2)自动同步间隔timeout.reconciliation需通过修改argocd-cmConfigMap并重启控制器才能生效。文章详细阐述了ArgoCD的工作流程:从Git拉取代
不过整体来看,这个项目把STM32的外设基本玩了个遍,从DMA到编码器接口都有实战案例,注释详细到连PWM占空比计算公式都给推导了一遍,确实是嵌入式学习者的优质参考资料。这种带硬件地址偏移的写法避免了总线冲突,延时用FreeRTOS的vTaskDelay而不是HAL_Delay,保持了RTOS的任务调度流畅度。扫地机器人,大厂扫地机器人 源代码,freertos实时操作系统,企业级应用源码,适合需
Argo CD是是一款基于Kubernetes遵循声明式 GitOps 理念的持续部署CD工具,Arbess是一款开源免费的持续集成与交付(CICD)工具,两款工具各有特点。本文将从安装配置、功能、系统集成、用户体验几个方面对两款软件进行详细对比。
Argo CD高级操作钩子摘要 本文介绍了Argo CD中的高级操作钩子(Hooks)功能。钩子允许在Kubernetes应用程序部署的不同阶段执行自定义操作,包括: PreSync(同步前) - 执行准备工作 Sync(同步中) - 执行配置修改 PostSync(同步后) - 执行清理或通知 SyncFailed(同步失败) - 执行回滚 文章详细说明了四种钩子删除策略,并提供了完整的YAML
argocd
——argocd
联系我们(工作时间:8:30-22:00)
400-660-0108 kefu@csdn.net