登录社区云,与社区用户共同成长
邀请您加入社区
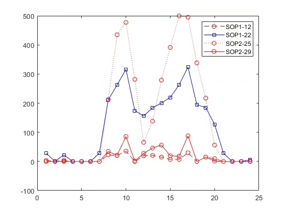
本代码基于MATLAB+CPLEX仿真平台,构建了考虑多微网电能互补与需求响应的双层优化模型。核心目标是同时优化配电网运营商的动态电价与微网用户的能量管理策略,实现配电网与微网的双赢。上层以配电网运营商收益最大化为目标,决策变量为交易电价;下层以各用户微网运行成本最小化为目标,优化储能充放电、光伏出力利用、负荷调度及微网间电能交易等策略。代码包含主程序(maint6.m)、上层优化函数(sc.m)
本文介绍了使用Flutter的Retrofit库对接和风天气API的实战教程。主要内容包括: 项目概述与目标:通过Retrofit实现天气预报功能,展示如何在鸿蒙设备上运行 项目结构说明:详细介绍了API、模型和页面文件目录结构 引入三方库步骤:从添加依赖到验证安装的完整流程 二次封装实现:通过流程图展示从创建数据模型到封装API的完整过程 教程重点讲解了Retrofit的集成使用、和风天气API
RxJava+Retrofit+MVP学习笔记本篇笔记是对上一篇Android入门学习——Retrofit+MVP模式学习的补充。这次加上了RxJava的简单使用,并在上一篇中特别简单的Demo的基础上加上了Swiperefreshlayout+RecyclerView的配合使用。加上了下拉刷新以及上拉加载更多。但上拉加载更多也只是个简单的思路,实现的并不好,需要以后再进行优化封装。本人菜鸟,讲解
retrofit简介retrofit来源retrofit是大名鼎鼎的Square公司开源的一个优秀的库,用来简化网络请求的,其中的有点不由分说,结合mvp模式使用更是会让你爱不释手。什么是mvp模式?点击mvp模式介绍retrofit优点★ Retrofit使用注解方式,大大简化了我们的URL拼写形式,而且注解含义一目了然,简单易懂。定义网络业务接口Retrofit的网络请求都是写在一个
上篇文章介绍了MVP的实现,这篇文章将介绍Retrofit+RxJava实现网络请求。先重新贴一下需求从网络Api获取Json格式的笑话数据,通过列表方式显示,列表分页显示,当上拉到最后一个数据是,自动从网络加载数据并显示,在顶端进行下拉式刷新数据。最终效果图:App下载地址: http://a.app.qq.com/o/simple.jsp?pkgname=chenyu.jokes微信
之前看了关于MVP、RXJava、Retrofit的开发资料就尝试把它们都整合在一起,这里介绍的内容和搭建的框架是基于我的理解去做的,而且也是初步去构建自己的开发框架,所以难免会有理解不到的地方,不敢保证一点bug都没有,也不建议大家用到真实的项目中去,只是拿来学习。一、MVP模式的简介view则用来展示数据,显示界面,业务的的处理就交给Presenter 来处理,数据的访问存储就交给Model
GitLab源码仓库地址:git@gitlab.com:lxqxsyu/TestKotlin.git框架介绍MVP架构,Retrofit+Rxjava+Okhttp网络请求,可切换Glide和Fresco图片框架,封装基础刷新分页加载,部分功能后期会有所改进。框架整体结构MVP网络框架结构联系作者(吉格斯实验室)
Android网络开发框架Retrofit(五:实战篇,实现MVP模式进行开发)从前面几节的代码看来,似乎很不优雅,特别是四:扩展篇,Retrofit+RxJava,加上RxJava后,代码看起来相当的难看,所以今天就说下如果使用MVP开发模式,将业务逻辑和界面分离,使我们的代码变得优雅好看起来mvp,即是(model-处理业务逻辑(主要是数据读写,或者与后台通信(其实也是
1.概述从今天开始,我将对于Android中RxJava+Retrofit+MVP模式的整合,写一系列文章,包括最后实现一个商业项目。2.MVP架构下面简单介绍下MVP架构,方便读者对目录设计的理解。MVP架构各层负责功能:* View 对应于Activity,负责View的绘制以及与用户交互* Model 依然是业务逻辑和实体模型* Presenter 负责完成View于Model间的
一、效果图: 二、技能要求:1. 如上图,使用 MVP+xRecyclerView+Retrofit+OkHttp+RxJava 接口:APIKEY=‘71e58b5b2f930eaf1f937407acde08fe’http://api.tianapi.com/nba/?key=APIKEY&num=10三、实现思路 1. 主页面显示一个xR...
https://juejin.im/post/583e9c39ac502e006c365801基于retrofit的网络框架的终极封装(一):第一层参数组装层的API设计什么是分层app的架构,不管是MVC,MVP,MVVM,架构演变中,贯穿始终的概念都是分层和解耦.那么这个分层和解耦怎么体现出来?简单地说就是,我这一层接收上一层的输入,上一层的你别管我
本篇内容主要讲解如果使用retrofit+rxjava作为网络层,为MVP的M层提供网络retrofit的网络访问为我们提供了两种模式的数据返回1. Call<数据实体>2. Observable<数据实体>>上面我们介绍了使用call模式的访问,下面我们来看看Observable模式。当然Observable模式必须先看看rxjava的基础语法和操作符。
MVP+Retrofit+RxJava+Okhttp构造一个合格的Android框架写在前面现在的Android开发需求,是一个快速开发的模式,大部分App都是便捷开发,项目要求1,2个月内就要出来,造成开发者对App本身结构稳定性,层次分明,可拓展性,解耦考虑不全。不过这也是当前市场的一个普遍现象了啦。除了大公司用户量很大的那些App必须考虑这些问题以外,因为本来Android就是一个重量级
关于MVP、Retrofit、RxJava,之前已经分别做了分享,如果您还没有阅读过,可以猛戳:1、Android MVP 实例2、Android Retrofit 2.0使用3、RxJava4、RxBus假设,您对MVP、Retrofit、RxJava已经有了一点了解,那么我们开始本文:Android MVP优化1、MVP绑定Activity(Fragment)生命周期按照
1:MVP模块1.1:MVP与MVC区别,有何应用场景1.2如果写mvp2:dragger2框架2.1:为什么要用dragger2?2.2:深入解析dragger2?2.3:dragger2的使用3:retrofit的使用MVP模块MVP与MVC区别,有何应用场景 在我们传统的mvc开发中经常会遇到M(javabean),V(layout,activity),C(acti
近日研究学习了一番MVP,所以来做一下简单的MVP模式的登录小案例学习笔记。
可以看到在里面定义两个方法,一个onSuccess,如果presenter请求成功,将向该方法传入请求下来的实体类,也就是Book,view拿到这个数据实体类后,就可以进行关于这个数据的展示或其他的一些操作。可以看到,在它的构造方法中,我们得到了RetrofitService 的实例化,然后定义了一个和RetrofitService 中同名的方法,里面其实就是调用RetrofitService 中
先说说两者的关系,DataBinding是一个实现数据和UI绑定的框架,而MVVM是一种架构模式,实现MVVM模式需要借助DataBinding来完成。本文将以《Android 谈谈我所理解的MVP》中的例子为基础,使用MVVM模式重新实现一下。嗯,本篇博客也是有副标题的:Retrofit + RxJava + RxLifecycle + MVVM本文涉及到的一些基础知识:《Android Dat
之所以写这篇文章是最近我们自己的项目打算实现mvp模式的功能重构,而我们的项目数据接口全部是基于webservices接口实现的,查阅了下资料发现Rxjava+retrofit的框架不是一般的火,内心不免躁动起来,经过一天半的时间总结摸索出一个登陆的demo。整体框架是RXjava+retrofit+okhttp 的mvp模式。废话不少了开始吧开始之前就是小白一枚,准备工作如下:
最近公司因为发展,会新开几个项目,领导让整理下基础框架好统一使用,也方便其他人员熟悉代码。因此,再次记录一下。1.1基本结构基本架构我先用现在市面普及和成熟的mvp(model-view-presenter),我的理念是职责分层,高内聚低耦合。MVP模式的核心思想:相对于我们大家以前熟知的mvc来说,mvp把activity中的UI逻辑抽象成View接口,吧业务逻辑抽象成pre...
前言在刚开始学Retrofit2.0+RxJava2.0时就尝试封装起来结合MVP模式使用,虽然简化了一些请求过程,但是实际使用还是有些麻烦,而且发现其中有很大的缺陷,所以就弃用了。随着工作到现在,接触了数个实际上线项目后,趁着工作闲暇就将其总结起来,重写之前的缺陷。Retrofit2.0+RxJava2.0的封装过程之前已经讲过,本文也是基于这个封装的,如有问题请戳:https://blo...
在上一篇文章《Android Retrofit + RxJava使用详解》中,我们学习了Retrofit的一些基本用法,但在实际的项目使用中,还是会出现一些问题,今天就让我们一起来探讨一下如何对Retrofit进行封装吧!如果你对Retrofit还不太了解,可以>戳这里<学习一下。如果你用的是MVP,这篇文章可能不太适合你。1.背景介绍首先来回顾一下Retrofit的基本使用流程,直接上代码:/*
这篇文章主要介绍一下MVP的封装其中封装ViewBinding涉及到鸿洋大神的一篇文章优雅地封装和使用 ViewBindinghttps://blog.csdn.net/c10WTiybQ1Ye3/article/details/112690188整个框架如图首先在build.gradle中添加android{viewBinding {enabled = true}}dependencies{im
之前公司的项目用到了MVP+Retrofit+RxJava的框架进行网络请求,所以今天特此写一篇文章以做总结。相信很多人都听说过MVP、Retrofit、以及RxJava,有的人已经开始用了,有的人可能还不知道这是什么,以及到底怎么用。不过没关系,接下来我将为你一一揭开他们的神秘面纱,然后利用这三个家伙搭建一个网络请求框架1.什么是MVP?MVP(Model View Presen
一. 用到的知识点:UI—面向对象数据交互 —MVP模式网络图片加载—–glidejson解析—–gsonhttp请求—retrofit2+rxjava2事件总线—-eventbus注解—DataBinding二.目录结构biz————...
引言自上次用老旧的mvc做了一个仿微信项目之后,我给自己做了一个短期的规划,先把MVP+RxJava+Retrofit这新的安卓三剑客给学了,于是,经过一个多星期的折腾,总算是对MVP+RxJava+Retrofit入了门。经过这两年的洗礼,这三门技术不断成熟稳定,得到了广大程序猿的一致认可。网上有许多优秀的文章对这三门技术进行讲解,所以,本文只作为一个学习指引,罗列出本人学习 这三者和lambd
# JD-Test仿京东app 采用组件化架构 屏幕适配方案可以较好解决多分辨率及同分辨率不同dpi适配;项目地址:https://github.com/liu-xiao-dong/JD-Test### 声明 : 本项目资源采用抓包获取,仅供学习交流使用 。1. Rxjava+Retrofit+okhttp搭建的网络框架2. mvp设计模式3. butterknife注解方式查找控件,减少findViewById冗余代码4. Glide图片加载框架5. Recyclerview结合SwipeRefreshLayout实现列表和下拉刷新6. 封装了ListView和GridView,Re
嗯,这篇博客应该有个副标题:Retrofit + RxJava + RxLifecycle + MVP在上一篇文章中,我们对Retrofit进行了封装,But,这种封装是不支持MVP模式的,今天就以Retrofit和RxJava为基础,谈谈我所理解的MVP。《Android Retrofit + RxJava使用详解》《Android 探讨一下Retrofit封装的最佳姿势》1.MVP VS MV
RxJava,Retrofit,MVP都是近几年讨论的比较热门的话题,我们也来凑个热闹!本博不展开讨论,分别讨论的文章有很多,后续有时间给出RxJava,Retrofit的源码分析先来说一下MVP(Model View Presenter)熟悉MVC结构的应该很容易理解MVP,这里先给出MVP的图解model具体业务逻辑处理的实现view负责显示数据、提供友好界面跟用户交互presenter负
前言RxJava+Retrofit+MVP的使用已经推出一段时间了,也一直想找个时间学习一下并且应用到接下来的项目中。趁放假这段时间仔细研究了一下,确实相比于其他框架的学习成本要高一些,不过功能实现之后的代码明显层次分明,整洁度较之前分明不少。本文仅适合入门RxJava+Retrofit的同学用来学习参考,可能对于已经熟练掌握的读者参考价值不大,特此声明。一.学习准备本章节记录的为RxJava,R
项目下载地址:http://download.csdn.net/download/csdn576038874/10261968代码如下:项目结构:至于mvp的原理,v层抽象出接口,供P层调用,M层进行数据处理,抽象出接口,供P调用,P层中可拿到M和V 的接口引用,进行方法调用等逻辑处理,再利用接口回调的方式将解析好的数据返回给V层,这样就打到M层不直接和V层打交道,实现解耦和的效果mvp模式会存在
前言相信大家都有听说过这三大框架吧,这是最近很火的框架Retrofit的详解主要参考于Retrofit2.0使用详解retrofit是基于okhttp的封装工具类,功能十分丰富.我能力还是有限,在这里先说下它的使用吧!简单使用添加Gradle依赖项compile 'com.squareup.retrofit2:retrofit:2.1.0'创建Api接口作为一个get请求的url
一步一步地讲解各个框架特性及使用
最近关于MVC、MVP的架构被越来越多的人讨论和使用。确实,随着UI创建技术的功能日益增强,UI层也履行着越来越多的职责。为了更好地细分视图(View)与模型(Model)的功能,让View专注于处理数据的可视化以及与用户的交互,同时让Model只关系数据的处理,基于MVC概念的MVP(Model-View-Presenter)模式应运而生。MVP介绍之前对于MVP的理解有错误 之前的理解:将数据
MVP流程图: 添加依赖:compile 'io.reactivex.rxjava2:rxjava:2.1.7'compile 'io.reactivex.rxjava2:rxandroid:2.0.1'compile 'com.squareup.retrofit2:retrofit:2.3.0'compile 'com.squareup.retrofit2:conver...
古语有云,没有规矩,就不成方圆。其实做什么事都一样,做什么事都要有自己熟悉且大家都认同的一套规矩,这样既能提高自己的做事效率,也方便他人的理解。在移动开发中,mvp是新兴的一种软件开发模式,是经过时间的考验并且大家都认同的解耦框架。它不仅能让我们的代码逻辑更加清晰,不同层间分工不同又相互协作,服务于我们的项目。mode层负责本地数据和网络数据的处理,presenter层负责业务逻辑的处理,view
RxJava+Retrofit+OkHttp深入浅出-mvp(使用篇)背景RxJava+Retrofit+OkHttp封装系列也基本完成了,功能无太大迭代的需要,但是最近QQ群中有兄弟问如何结合mvp使用这套框架,仔细考虑下确实现在结合mvp开发项目已经是一种大趋势,不得不感叹现在技术更新的真是太快了,所以决定再一次操刀讲解下结合mvp使用需要注意的细节。思路既然是结合mvp,那就必须先了解mvp
此处搭建的框架是目前最新版本,项目今天刚搭建好,(^__^) 嘻嘻……。先撸上包:compile ‘com.jakewharton:butterknife:8.6.0’compile ‘com.jakewharton:butterknife-compiler:8.6.0’compile ‘io.reactivex.rxjava2:rxjava:2.1.0’
基于DataBinding框架,MVVM设计模式的一套快速开发库,整合Okhttp+RxJava+Retrofit+Glide等主流库,满足日常开发需求。使用该框架可以快速开发一个Android应用。MVVMHabit目前,android流行的MVC、MVP模式的开发框架很多,然而一款基于MVVM模式开发框架却很少。MVVMHabit则是一款以谷歌的databinding为基础,整合Okhttp+
最近一直在忙项目的事,所以很久不写博客了。抽时间整理了下最近的收藏的一些文章,感觉新的知识点还是挺多的,于是乎自己抽时间写了一个简单的App。这个App基于MVP+Retrofit+RxJava+MaterialDesign,分享给大家。
描述:17年最火的安卓网络框架无疑是Retrofit2.0+Okhttp3.0,而中型项目架构最火的无疑是MVP,而今年Rxjava2.0也是异常的火爆,而Rxlifecycle的支持对使用rxjava出现内存泄露问题得到完美解决,对此,之前楼主对这几种很火的技术封装过一次,现在根据业务增加,进行了二次封装。文章后面有本框架github地址。一、所用技术/ MVP 点击打开链接/ R...
50.EasyGank妹纸App前言基于MVP模式下 , RxJava+RxAndroid+Retrofit的组合 .RxJavaRxAndroidRetrofitOkhttpGsonGlideReservoirGithubEasyGankScreenShots
什么是分层app的架构,不管是MVC,MVP,MVVM,架构演变中,贯穿始终的概念都是分层和解耦.那么这个分层和解耦怎么体现出来?简单地说就是,我这一层接收上一层的输入,上一层的你别管我怎么处理,我最终会给你一个输出/返回值,你完全不用理会我是怎么处理的,只要有输入,就会有输出,而且一般是通过一个简单的方法的调用来实现.那么,对于app中常用的网络层来说,怎么样的封装才是最合理的?我
关于使用retrofit框架的网络请求方法使用例子,同时+MVP +rxjava + rxandroid使用。今天去看了下关于一个新的网络请求框架--retrofit,之前就已经了解和使用volley,okhttp和imageloader等网络请求框架,当然还有原生的http请求。这些各自有各自的优缺点。我这里就不做评论了,只做使用简介。Retrofit是一个不错的网络请求库,用官方自己的介绍就是
讲解视频,并且会持续更新**
retrofit
——retrofit
联系我们(工作时间:8:30-22:00)
400-660-0108 kefu@csdn.net