
简介
该用户还未填写简介
擅长的技术栈
可提供的服务
暂无可提供的服务
Pycharm是一个十分强大的工具,它本身自带着一个叫Database的数据库管理工具。我们可以使用它对数据库进行可视化操作。首先打开database,一般在pycharm的右边侧栏中,也可以通过(View-->Tool Windows --> database)打开...

我们开发的程序运行的时候,经常会发现运行的结果和我们预期的不符。这就是程序运行的错误,我们通常叫做bug。有两种类型的bug: 语句错误 和 逻辑错误 。

主要讲解记录迭代器(iterator)和生成器(generator)知识点。
这就是解释器向我们报告, 有一个 ZeroDivisionError 错误对象 或者说 异常对象 产生了。这个 ZeroDivisionError 对象 代表的是一个除以0 的异常。 我们知道0是不能作为除数的。因为这个问题,解释器没有办法继续执行后面的代码了。所以程序就此结束执行了。ZeroDivisionError就是一个异常对象的类,继承自标准库里面的 Exception 类。...
目录django概念Django简介Django MTV和MVC的区别MVCMTV创建简单的Django项目1.首先创建一个运行Django项目的虚拟环境(virtualenv)2. 创建django项目python manage.py startapp hallo_appsettings.py配置文件详细解读模型使用使用admin管理后台django官网Django发布于2005年7月,是当前P

python后端技术,使用django+mysql搭建一个简单网站。

在操作系统诞生之后,程序员不需要在硬件层面考虑问题,所以程序员的数量就增加了。哪怕自称对硬件一窍不通的人也可能制作出一个有模有样的程序。不过,要想成为一个全面的程序员,有一点需要清楚的就是,掌握硬件的基本知识,并借助操作系统进行抽象化,可以大大提高编程效率。...

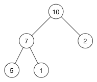
堆的常用方法:堆属性数组实现树堆和普通树的区别 堆是一种经过排序的树形数据结构,每个节点都有一个值,通常我们所说的堆的数据结构是指堆是完全二叉树。所以堆在数据结构中通常可以被看做是一棵树的数组对象。而且堆需要满足一下两个性质:(1)堆中某个节点的值总是不大于或不小于其父节点的值;(2)堆总是一棵完全二叉树。堆分为两种情况,有最大堆和最小堆。将根节点最大的堆叫做最大堆或大根堆,根节点最小的堆叫做最小

现在的软件开发基本都需要网络通讯。不管是传统计算机软件,还是手机软件,还是物联网嵌入系统软件,这些都要和其他网络系统进行通讯。而当今网络世界 基本上 都是使用TCP/IP协议进行通讯的。任何应用,比如 浏览网页、微信、支付宝、抖音 或者我们开发的 等等都是 通过TCP/IP协议进行通讯的。...

python后端技术,使用django+mysql搭建一个简单网站。








