
简介
该用户还未填写简介
擅长的技术栈
未填写擅长的技术栈
可提供的服务
暂无可提供的服务
【数据分析】层次贝叶斯
层次贝叶斯。

【数据分析】似然和极大似然估计
似然和极大似然估计。

【数据分析】布朗运动(维纳过程)
布朗运动()是微小粒子或者颗粒在流体中做的无规则运动。布朗运动过程是一种正态分布的独立增量连续随机过程。它是随机分析中基本概念之一。其基本性质为:布朗运动W(t)是期望为0、方差为t(时间)的正态随机变量。可以证明布朗运动是马尔可夫过程、鞅过程和伊藤过程。它是在公元1827年英国植物学家罗伯特·布朗利用一般的显微镜观察悬浮于水中由花粉所迸裂出之微粒时,发现微粒会呈现不规则状的运动,因而称它布朗运动

【Java】IDEA 配置java开发环境(windows)
在idea中运行java程序

腾讯云服务器修改为root登录安装宝塔面板
之前用的香港服务器,想换成大陆的,买了腾讯云的服务器。和别的云稍有不同,腾讯云服务器安装Linux服务器时,登录名被默认设置为ubuntu,而禁止使用root。腾讯云的远程登录,支持一键登录、VNC登录和ssh登录。一键登录:在腾讯云控制台,服务器详情页面即可登录。毕竟你自己买的服务器,肯定随便登录撒,要什么密码。此种方式也是在浏览器中新打开一个登录页面,支持复制粘贴。VNC登录:在浏览器界面远程

【python】tkinter简要教程
tkinter简要教程。

【python】不规则字符串模糊匹配(fuzzywuzzy)
python 字符串模糊匹配。

【数据分析】贝叶斯定理
贝叶斯定理。

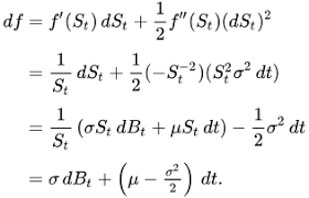
【数据分析】伊藤公式
伊藤公式的基本形式可以表述为:假设XtX_tXt是一个适当的随机过程,并且ftXtf(t, X_t)ftXt是一个关于ttt和XtX_tXt的可微函数。则ftXtf(t, X_t)ftXtdftXt∂f∂tdt∂f∂XtdXt12∂2f∂Xt2dXt2dftXt∂t∂fdt∂Xt∂fdXt21∂Xt2。









