
简介
该用户还未填写简介
擅长的技术栈
未填写擅长的技术栈
可提供的服务
暂无可提供的服务
SpringCloudConfig:分布式配置中心
SpringCloudConfig分布式配置中心:概念、核心价值、架构与原理、使用

数据加密及Java实现
数据加密讲解:对称加密、非对称加密、散列函数
阿里云数据库RDS-MySQL的简单使用
阿里云数据库RDS-MySQL:概念、选型、使用单节点版本操作

阿里云存储服务NAS文件存储的简单使用
阿里云NAS文件存储:概念、特性、适用场景、创建及挂载到ECS操作

阿里云存储服务OSS对象存储的简单使用
阿里云OSS对象存储:概念、存储类型及应用场景、简单使用

Jenkins:持续集成和持续交付(CI/CD)工具
Jenkins:概念、核心功能、安装、使用
Elasticsearch:分布式搜索引擎数据库
Elasticsearch:核心概念、价值、功能、限制、应用场景、使用代码示例-Java
阿里云数据库PolarDB的简单使用
阿里云数据库PolarDB:特性、主要产品、应用场景、单节点PolarDB使用

SpringCloudOAuth2+JWT:微服务统⼀认证方案
SpringCloudOAuth2+JWT微服务统⼀认证方案:概念、核心价值、原理、使用、配置详解

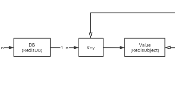
Redis底层数据结构与内部实现
Redis底层数据结构详解








