
简介
该用户还未填写简介
擅长的技术栈
可提供的服务
暂无可提供的服务
机器学校-SVM一、SVM提出二、SVM最优化问题三、为什么要求对偶问题四、SVM转换为对偶问题五、核函数一、SVM提出这里有两个类别的数据, class1 与class2,要把这两类分开。我们可以找到很多条直线将它们分开,只要位于两类数据之间即可,然而, 我们的目的不只是为了区分现有的两类数据, 我们真正想要达到的目的是: 当模型在现有数据训练完成后, 将其应用到新的数据时,我们仍然可以很好的区

NLP-统计分词一、统计分词1.概念2.2.步骤二、语言模型一、统计分词1.概念基于统计的分词算法的主要核心是词是稳定的组合,因此在上下文中,相邻的字同时出现的次数越多,就越有可能构成一个词。因此字与字相邻出现的概率或频率能较好地反映成词的可信度。可以对训练文本中相邻出现的各个字的组合的频度进行统计,计算它们之间的互现信息。互现信息体现了汉字之间结合关系的紧密程度。当紧密程度高于某一个阈值时,便可
python whl文件下载网址https://www.lfd.uci.edu/~gohlke/pythonlibs/#lxmlhttps://www.lfd.uci.edu/~gohlke/pythonlibs/#lxml
机器学习特征选择方法介绍综述一、过滤法1.方差法二、使用步骤1.引入库2.读入数据总结欢迎使用Markdown编辑器新的改变功能快捷键合理的创建标题,有助于目录的生成如何改变文本的样式插入链接与图片如何插入一段漂亮的代码片生成一个适合你的列表创建一个表格设定内容居中、居左、居右SmartyPants创建一个自定义列表如何创建一个注脚注释也是必不可少的KaTeX数学公式新的甘特图功能,丰富你的文章U
机器学校-SVM一、SVM提出二、SVM最优化问题三、为什么要求对偶问题四、SVM转换为对偶问题五、核函数一、SVM提出这里有两个类别的数据, class1 与class2,要把这两类分开。我们可以找到很多条直线将它们分开,只要位于两类数据之间即可,然而, 我们的目的不只是为了区分现有的两类数据, 我们真正想要达到的目的是: 当模型在现有数据训练完成后, 将其应用到新的数据时,我们仍然可以很好的区

pytorch使用-tensor基本操作一、tensor加减乘除二、tensor矩阵运算四、tensor切片操作五、tensor改变形状六、tensor 和 numpy.array相互转换七、tensor 转到GPU上一、tensor加减乘除加法操作import torchx = torch.randn(2, 3)y = torch.randn(2, 3)z = x + yprint(z)z =
带交叉验证的ROC曲线前言一、程序如下二、效果图前言ROC曲线通常在Y轴上具有真正率(true positive rate),在X轴上具有假正率(false positiverate)。这意味着该图的左上角是“理想”点-误报率为零,而正误报率为1。这不是很现实,但这确实意味着,通常来说,曲线下的区域(AUC面积)越大越好。ROC曲线的“陡峭程度”也很重要,因为理想的是最大程度地提高真正率,同时最小

文本表示-词袋模型和TF-IDF一、文本表示的几种方式二、 词袋模型BoW(Bag-of-words)1、在词或字的维度表示 -- one-hot编码2、在文本或段落的维度表示3、词袋模型编码特点以及缺点三、 词袋模型BoW(Bag-of-words)一、文本表示的几种方式二、 词袋模型BoW(Bag-of-words)词袋模型: 一段文本不考虑语序和词法的信息,每个单词都是相互独立的,将词语放入

机器学习-准确率、灵敏度、特异度、PPV、NPV、F1计算方法计算方法计算方法

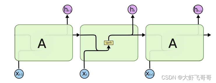
pytorch使用-nn.RNN一、nn.RNN一、nn.RNNnn.RNN(input_size: int, hidden_size: int,num_layers: int = 1, bias: bool = True, batch_first: bool = False,dropout: float = 0., bidirectional: bool = False, proj_size:








