
简介
该用户还未填写简介
擅长的技术栈
可提供的服务
暂无可提供的服务
摘要 "千人千面智能安规考核系统"是一款基于PyQt5框架开发的智能化安全规程考核平台,融合了YOLOPose姿态估计、人脸识别、YOLOv11目标检测和语音识别等多模态AI技术。系统通过ONNX格式实现模型轻量化部署,利用ONNX Runtime和GPU加速提升性能,并打包为独立可执行程序便于工业现场部署。该系统可自动评估安全装备佩戴、操作规范等指标,实现了电力、建筑等行业安

摘要:本文介绍了如何使用讯飞方言大模型进行方言识别,针对官方Python接口存在的问题进行了改进。作者通过将音频分段处理,先检测静音片段,再合并非静音部分进行识别,提升了识别效率。代码实现了音频分割、静音检测、片段合并功能,并展示了与讯飞WebSocket API的交互方法,包括鉴权参数生成和消息处理。改进后的方案优化了长音频处理流程,减少了无效识别,提高了整体识别速度。

IOU损失函数目前主要应用于目标检测的领域,其演变的过程如下:IOU --> GIOU --> DIOU -->CIOU损失函数,每一种损失函数都较上一种损失函数有所提升。下面来具体介绍这几种损失函数。
博主一直一来做的都是基于的目标检测领域,相较于基于卷积的目标检测方法,如YOLO等,其检测速度一直为人诟病。终于,RT-DETR横空出世,在取得高精度的同时,检测速度也大幅提升。那么RT-DETR是如何做到的呢?在研究RT-DETR的改进前,我们先来了解下DETR类目标检测方法的发展历程吧DETRNMSDAB-DETRDETR100DETRDAB-DETRH-DETR然而,上述方法尽管已经大幅提升

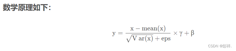
这意味着网络的表达能力下降了,也就是意味着深度的意义就没有了。如果是仅仅使用上面的归一化公式,对网络某一层A的输出数据做归一化,然后送入网络下一层B,这样是会影响到本层网络A所学习到的特征的,这样会导致网络表达能力下降。另一方面,如果每批训练数据的分布各不相同,网络就要在每次迭代时都去学习适应不同的分布,那么网络的训练速度就会大大降低,这就是为什么我们需要对输入数据做一个归一化处理。在我目前的水平

摘要 "千人千面智能安规考核系统"是一款基于PyQt5框架开发的智能化安全规程考核平台,融合了YOLOPose姿态估计、人脸识别、YOLOv11目标检测和语音识别等多模态AI技术。系统通过ONNX格式实现模型轻量化部署,利用ONNX Runtime和GPU加速提升性能,并打包为独立可执行程序便于工业现场部署。该系统可自动评估安全装备佩戴、操作规范等指标,实现了电力、建筑等行业安

这意味着网络的表达能力下降了,也就是意味着深度的意义就没有了。如果是仅仅使用上面的归一化公式,对网络某一层A的输出数据做归一化,然后送入网络下一层B,这样是会影响到本层网络A所学习到的特征的,这样会导致网络表达能力下降。另一方面,如果每批训练数据的分布各不相同,网络就要在每次迭代时都去学习适应不同的分布,那么网络的训练速度就会大大降低,这就是为什么我们需要对输入数据做一个归一化处理。在我目前的水平

可以看出,代码非常简练,通过实验pytorch在封装的backbone,Transformer模型以及一些全连接层,卷积层的组合便实现了DETR模型的构造。在DETR模型的论文的末尾,其给出了DETR模型的伪代码,严格意义上来讲其并非是伪代码,因为其是可以正常运行的代码。

相较而言,单目测距依赖与经验值,而深度估计测距则依赖模型性能,综上双目测距的方式无论是在速度方面还是精度方面都能有较好的表现。

神经元是人工神经网络的基本处理单元,一般是多输入单输出的单元,其结构模型如图所示:其中:xi表示输入信号;n个输入信号同时输入神经元j.wij表示输入信号xi与神经元j连接的权重值,bj表示神经元 的 内 部 状 态 即 偏 置 值,yj为 神 经 元 的输出.输入与输出之间的对应关系可用下式表示:f(·)为激励 函 数,其 可 以 有 很 多 种 选 择,可 以 是 线性 纠 正 函 数 ,si








