
简介
该用户还未填写简介
擅长的技术栈
未填写擅长的技术栈
可提供的服务
暂无可提供的服务
TH方程学习(1)
根据CW方程的学习,CW方程的限制条件为圆轨道,不考虑摄动,二者距离相对较小。TH方程则可以将物体间的相对运动推广到椭圆轨道的二体运动模型,本部分将结合STK的仿真功能,联合考察TH方程的有用性,参考<New State Transition Matrix for Relative Motion on an Aribitary Ellipitcal Orbit>这篇文章的案例,共同复现该论文的数据

TH方程学习(2)
首先需要介绍目标星的VVLH坐标系,以及惯性系的X,Y,Z轴的指向。Y轴指向轨道的反法向,Z轴指向目标星矢径的反方向,X轴符合右手准则。在惯性系下,对于目标星建立微分方程可以写为(1)追踪星的微分方程可以写为(2)其中所以假设追踪星和目标星的相对距离相对于地球的距离非常小,即于是(3)以上近似对于近距离交会是有效的。由(2)式减去(1)式得到(4)在目标航天器坐标系的VVLH坐标系下是方便的。这个

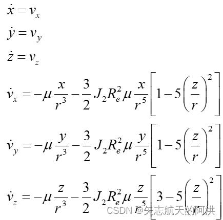
J2摄动条件下的轨道转移方程
在进行精密定轨的过程中,通常涉及到求解卫星自身的状态转移方程,根据考虑不同的摄动力会对应着不同的状态转移方程,在本文中仅考虑J2项摄动影响,讨论卫星的状态转移方程。根据牛顿第二定律以及J2项摄动情况下的势函数,可以得到下式式中,为地球的势函数,为地球引力常数,为该位置离地球质心的距离,为地球赤道半径,为该位置对应的纬度根据状态转移方程,设卫星的状态空间为,其中为系统观测误差向量,则系统运动方程满足

到底了







