
简介
该用户还未填写简介
擅长的技术栈
可提供的服务
暂无可提供的服务
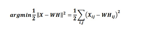
上图摘自 NMF 作者的论文, 左侧 为 W矩阵 ,可以看出从原始图像中抽取出来的 特征 , 中间 的是 H矩阵。可以发现乘积结果与原结果是很像的。2 矩阵分解优化目标最小化 W 矩阵 H 矩阵的乘积和原始矩阵之间的差别,目标函数如下:基于 KL 散度的优化目标,损失函数如下:(公式的推导略)3 案例**目标:**已知Olivetti人脸数据共400个,每个数据是64*64大小。由于NMF分解得到

不知道你们用的什么环境,我一般都是用的Python3.6环境和pycharm解释器,没有软件,或者没有资料,没人解答问题,都可以免费领取(包括今天的代码),过几天我还会做个视频教程出来,有需要也可以领取~给大家准备的学习资料包括但不限于:Python 环境、pycharm编辑器/永久激活/翻译插件python 零基础视频教程Python 界面开发实战教程Python 爬虫实战教程Python 数据

上图摘自 NMF 作者的论文, 左侧 为 W矩阵 ,可以看出从原始图像中抽取出来的 特征 , 中间 的是 H矩阵。可以发现乘积结果与原结果是很像的。2 矩阵分解优化目标最小化 W 矩阵 H 矩阵的乘积和原始矩阵之间的差别,目标函数如下:基于 KL 散度的优化目标,损失函数如下:(公式的推导略)3 案例**目标:**已知Olivetti人脸数据共400个,每个数据是64*64大小。由于NMF分解得到

从事IT行业的老鸟或是对IT行业感兴趣的新人,都欢迎扫码加入我们的的圈子(技术交流、学习资源、职场吐槽、大厂内推、面试辅导),让我们一起学习成长!2、在工作中,运维人员经常需要跟运营人员打交道,请问运营人员是做什么工作的?6、Squid、Varinsh和Nginx有什么区别,工作中你怎么选择?5、LVS、Nginx、HAproxy有什么区别?9、讲述一下Tomcat8005、8009、8080三个

2.从文件或stdin中读入一行,然后执行statements2,重复这个过程,直到文件全部被读取完毕;-I {} 指定替换字符串,这个字符串在xargs扩展时会被替换掉,用于待执行的命令需要多个参数时。16、mysql的innodb如何定位锁问题,mysql如何减少主从复制延迟?16、mysql的innodb如何定位锁问题,mysql如何减少主从复制延迟?2、在工作中,运维人员经常需要跟运营人员

最近很多小伙伴找我要Linux学习资料,于是我翻箱倒柜,整理了一些优质资源,涵盖视频、电子书、PPT等共享给大家!WAF 是 Web Application Firewall 的缩写,也被称为 Web 应用防火墙。区别于传统防火墙,WAF 工作在应用层,对基于 HTTP/HTTPS 协议的 Web 系统有着更好的防护效果,使其免于受到黑客的攻击。。

不知道你们用的什么环境,我一般都是用的Python3.6环境和pycharm解释器,没有软件,或者没有资料,没人解答问题,都可以免费领取(包括今天的代码),过几天我还会做个视频教程出来,有需要也可以领取~给大家准备的学习资料包括但不限于:Python 环境、pycharm编辑器/永久激活/翻译插件python 零基础视频教程Python 界面开发实战教程Python 爬虫实战教程Python 数据

避坑autolabelimg,这个自动标注软件,因为他只支持yolov5s的训练模型,而且只支持检测coco数据集中的80个类别。这个软件我尝试了很久,找了很多方法都不行,遂放弃了,到头来,发现yolov5就自带了保存预测标签的功能。在detect.py的参数里,–save-txt下边是我目标检测训练的两个小玩具,小王子(prince)和加菲猫(garfield)yolov5官网链接。

Python崛起并且风靡,因为优点多、应用领域广、被大牛们认可。学习 Python 门槛很低,但它的晋级路线很多,通过它你能进入机器学习、数据挖掘、大数据,CS等更加高级的领域。Python可以做网络应用,可以做科学计算,数据分析,可以做网络爬虫,可以做机器学习、自然语言处理、可以写游戏、可以做桌面应用…Python可以做的很多,你需要学好基础,再选择明确的方向。这里给大家分享一份全套的 Pyth

学好 Python 不论是就业还是做副业赚钱都不错,但要学会 Python 还是要有一个学习规划。最后大家分享一份全套的 Python 学习资料,给那些想学习 Python 的小伙伴们一点帮助!








