
简介
该用户还未填写简介
擅长的技术栈
未填写擅长的技术栈
可提供的服务
暂无可提供的服务
静态面板模型
文章目录1 面板数据2.1 面板数据评价3 固定效应模型3.1 单因素固定效应模型与估计3.1.1 差分估计3.1.2 组内离差估计量3.1.3 最小二乘虚拟变量法(LSDV)3.1.4 个体固定效应的拟合优度3.2 双因素固定效应模型与估计3.3 交互固定效应模型介绍4 随机效应模型5 模型的选择5.1 差分估计量与组内估计量的比较5.2 随机效应模型与固定效应模型比较1 面板数据狭义上,数据就
DAD-DAS模型
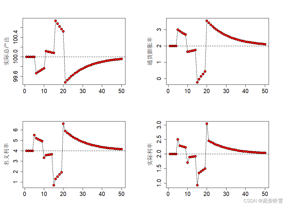
动态总供给总需求模型推导模拟

动态面板模型与R
动态面板模型与R文章目录动态面板模型与R@[toc]1 动态面板模型2 差分GMM3 水平GMM4 系统GMM5 R操作1 动态面板模型含义:线性面板模型中含有被解释变量滞后项。例如yit=α+ρyi,t−1+βxit+μi+εit(1)y_{it} = \alpha+\rho y_{i,t-1}+\beta x_{it}+\mu_i+\varepsilon_{it}\tag{1}yit=α+ρ
面板单位根检验(Stata)
面板单位根检验(Stata)

截面空间计量模型(Stata)
截面空间计量模型(Stata)

Logistic回归模型
Logistic回归模型参数估计、代码实现

内生性问题—工具变量法
文章目录@[toc]1 什么是内生性2 内生性的来源2.1遗漏变量偏差2.2 联立方程偏差2.3 解释变量测量误差2.4 选择偏差2.5 双向因果关系2.6 模型设定偏误2.7 动态面板偏差3 工具变量3.1工具变量的思想3.2 两阶段最小二乘法3.3 Wald估计量4 矩估计5 二阶段最小二乘法5.1 阶条件5.2 球形扰动假定条件下的 2SLS6 关于工具变量的检验6.1 内生性检验6.2 过










