
简介
该用户还未填写简介
擅长的技术栈
可提供的服务
暂无可提供的服务
安装后,内容会出现在node_modules 文件夹和 package-lock.json文件(里面记录了express中的内容下载的地址、版本等等)中。npm不用单独安装,安装完node,npm默认就安装好了。本地安装的都是能够直接使用的模块,他们不是命令,是类似于 fs 等可以通过 require() 加载的模块。Node安装过后,就可以使用一些模块,比如fs、path、http,这些是第三方

循环神经网络RNN和cyclegan不是一个东西。
循环神经网络RNN和cyclegan不是一个东西。
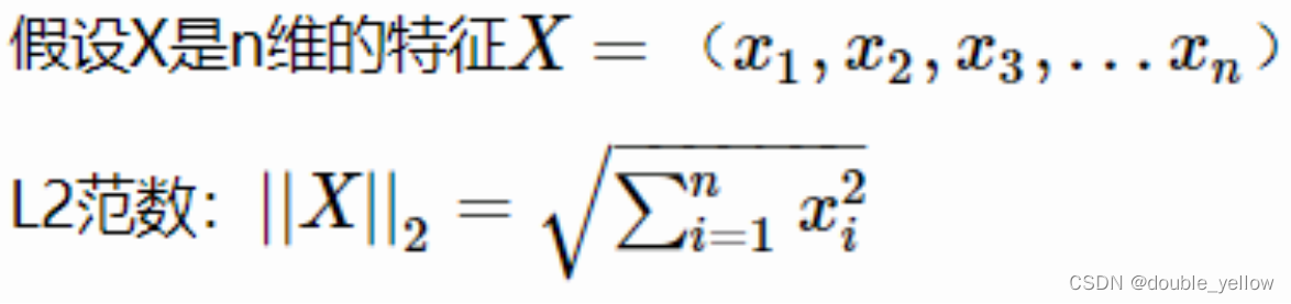
这里是有很大的区别的哦。而越小的参数说明模型越简单,越简单的模型则越不容易产生过拟合现象。为什么越小的参数说明模型越简单?一种理解是:“限制了参数很小,实际上就限制了多项式某些分量大小,使分量的影响很小,这样就相当于减少参数个数”。在回归里面,有人把有它的回归叫“岭回归”(Ridge Regression),有人也叫它“权值衰减weight decay”。L2范数强大功效是改善机器学习里面一个非常

改完后问题变成:No ‘Access-Control-Allow-Origin’ header is present on the requested resource.问题:Redirect is not allowed for a preflight request.为什么是重定向出错呢,这个问题一般出在前端的网址设置。网上一般是http和https弄混的问题。这里t1后面加一个/就可以了,变
在cmd中,输入python -m pip install matplotlib进行自动的安装,系统会自动下载安装包转自:https://blog.csdn.net/zzx2016zzx/article/details/83099583