
简介
该用户还未填写简介
擅长的技术栈
未填写擅长的技术栈
可提供的服务
暂无可提供的服务
《人工智能与创新》网课答案2025
《人工智能与创新》网课答案2025,学堂在线,雨课堂
基于python脚本进行Maxwell自动化仿真
本文分享了Maxwell自动化脚本的使用方法,主要包括:1)通过Tools菜单录制和运行Python脚本;2)从临时目录实时查看录制代码;3)常见操作如变量设置、求解器配置的脚本实现;4)利用计算器模块进行数据计算与导出的代码示例。文章提供了详细的步骤说明和代码片段,帮助用户快速实现Maxwell的批量化操作,特别适合需要自动化处理电磁场仿真任务的场景。

实验室安全准入考试答案
发生危险化学品事故后,应该向什么方向疏散?B.上风。
Python读取comsol仿真导出数据并绘图
本文介绍如何对comsol等仿真软件的导出数据进行处理,导入python并绘制云图。并介绍了一个简单的磁场仿真案例,通过读取矢量磁位进入python,绘制矢量磁位图和磁场矢量图

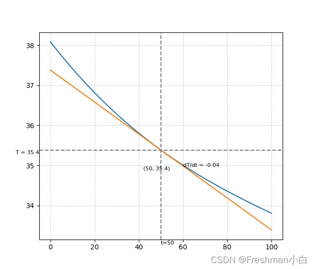
三种用python进行线性/非线性拟合的方法
介绍了三种线性回归方法和对应的python代码,可以实现不同数据集的曲线拟合

神经网络激活函数大盘点!(速度对比!)
神经网络激活函数大盘点!包含速度对比,优缺点分析

AI智能体Manus邀请码炒至5万,它凭什么引爆科技圈?
3月6日凌晨中国AI创业公司Monica推出了一款名为Manus的通用AI智能体(AI Agent),彻底引爆了科技圈。体验邀请码在二手平台炒至5万!

三种用python进行线性/非线性拟合的方法
介绍了三种线性回归方法和对应的python代码,可以实现不同数据集的曲线拟合

《创课十讲》慕课最新答案2025
《创课十讲》雨课堂、慕课,最新2025年导出答案
《沟通心理学》慕课答案2025(含期末)
《沟通心理学》慕课答案,含期末试题,仅供参考








