
简介
该用户还未填写简介
擅长的技术栈
可提供的服务
暂无可提供的服务
前段时间尝试要用到的最近大火的SSM模型,Mamba模型。环境配置是当然是第一个难关,参考了github链接配置,但是因为很多环境什么的报了一堆奇怪的错,其实到最后发现和cuda环境有很大的关系。正好最近有个朋友也想用mamba,他在环境上也有一些问题,所以我就计划写一篇博客来大概说明一下我的环境是怎么配置的。What can I say?

首先的首先 排查问题切出cmd 进入python的命令环境(别去错了环境)像这样 import 一下看看有无报错如果有报错请看 1 2 方法如果没有报错请看3 方法方法一很有可能安装没装好或者少了什么文件,这种情况可以重新卸载matplotlib再安装一下,大概率就可以了,也可能就根本没装,就运行pip list 检查一下方法二可能你的matplotlib的版本过低,可以尝试升版本降版本,来看看能
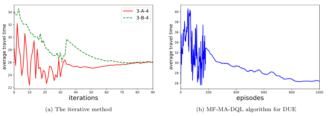
小灰一直在想,如何把强化学习和交通流分配结合起来,这份工作中感觉做得非常优秀。顶刊不愧是顶刊,感觉读别人的工作,感觉做得真的非常扎实,感觉作者应该做的方向是交通领域的,但是对于强化学习的相关知识感觉非常扎实,而且非常solid,自愧不如啊。继续努力吧!

这篇文章中文为时空图卷积网络: 用于交通预测的深度学习框架,归类于交通网络中的交通流预测

今天画板子遇见了一个间距报错,图片如下我当时想着,修改丝印的间距就可以了,查找了一些资料之后发现是这样修改并且我将其修改到了0但是结果还是如上图一样,报错。最后发现除此之外,我们还需要修改元件之间的电气距离修改完成之后就OK!...
不得不bb一句,玄学真玄学。注意看报错信息。首先我是遇见了这样的个问题其实问题就是cudnn库的软连接找不到,于是乎我就按照这篇教程https://blog.csdn.net/qq451882471/article/details/106967942这个博客老哥写的确实顶,不得不说。我按照他的步骤进行下去了,但是还是没办法成功。依旧是报错这个原因:那个老哥在使用locate这条指令之前没有更新数据
其实最近一直在搭建自己的博客和自己的图床,遇见了一些各种各样的问题,所以在这里总结一下如何利用宝塔面板来建立一个网站。1.网站在服务器中的形式其实网站虽然是网站我们能访问到,实际上我们访问到的都是服务器的某个文件,打个比方我们肯定都在本地看到过HTML文件,我们在本地可以用浏览器打开HTML,当然如果我们把这个文件放在服务器上面就能从远程访问到这个HTML,并且能将内容显示到远程也就是我们的浏..
前言DS1302作为时钟芯片,感觉是省赛的基础元件的使用的最后一个了,感觉可能比较复杂,但是其实也没多复杂,这里的代码是参考我朋友的,也没来得及仔细研究。这里就全当给大家参考了。代码详解其实我倒是遇见过,这个读出来全是165的,原因是因为板子的芯片没插牢,所以导致了这种现象。/*程序说明: DS1302驱动程序软件环境: Keil uVision 4.10硬件环境: CT107单片机综合实训平台
INA219可以作为功率计使用。可以采集电压,和电流值,并且内置一个乘法器,所以能得到功率供电3.3-5V电压采集范围0-26V电流最大值为40ma,可以使PGA设置为1/2,以采到80ma的电流值将Rshunt电阻串联在电源高端,通过采集Vin+和Vin-的区间来得到电流值。并且通过得到Vin-到GND之间的电压值来测量负载俩端的电压。芯片通过IIC通信,还有俩个地址位 A0 和A1决定了器件地
平衡车我相信很多电赛测控的入门的玩家都也玩过,很多朋友们也都听说过平衡小车之家这家淘宝店铺。而串级PID也是一个经典且牛批的方案而广为人知,所以在这样的比赛结束之后作为俩套方案都试过的我,谈一谈平衡小车之家的代码即并行的pid和串级pid的优缺点以及调参经验。废话少说正题开始我相信大家都应该很了解PID是什么,以及 P I D分别是干什么的,这里就不详细介绍了。反而我想谈一谈平衡小车的控制需要什么







