
简介
该用户还未填写简介
擅长的技术栈
可提供的服务
暂无可提供的服务
引言:近几年来人工智能的发展很火热,尤其是AI游戏决策方面。像王者荣耀的高级人机等等都得益于人工智能的发展。今天我们就将把一个游戏改成AI自动玩取得。本文就将利用DQN算法玩转小时候经典的游戏-俄罗斯方块游戏。其中代码分为下面几个步骤:1、预准备:import cv2import numpy as np2、定义初始函数奖励机制:def __init__(self):...
Python训练自己的语音识别系统引言: 近几年来语音识别技术得到了迅速发展,从手机中的Siri语音智能助手、微软的小娜以及各种平台的智能音箱等等,各种语音识别的项目得到了广泛应用。语音识别属于感知智能,而让机器从简单的识别语音到理解语音,则上升到了认知智能层面,机器的自然语言理解能力如何,也成为了其是否有智慧的标志,而自然语言理解正是目前难点。同时考虑到目前大多数的语音识别平台都是借助于智能云,
【代码】python机器学习项目-验证码识别【源码分享】

什么是图像风格转换?如上图可见,一键变成艺术大师。所谓图片风格迁移,是指利用程序算法学习著名画作的风格,然后再把这种风格应用到另外一张图片上的技术。基本原理如下图可见:我们知道,卷积神经网络(CNN)具有很强的图像特征(feature/representation)提取能力,如上图所示。对于内容图片,深层网络(d和e)提取的是高维特征,同时也丢弃了细节信息;浅层网络(a, b和c)提...
想用神经网络做一个AI五子棋吗?文末有源码和演示视频哦没错,今天我们这个项目又是免费给出源代码的例子。有的人说为什么我的很多文章都没有细讲代码,反而把所有代码共享呢!原因很简单,因为我懒,哈哈。。。。当然我觉得我当初在学习的时候经常发现网上很多例子实战项目都只是讲解,要么代码没给全,要么代码就是错的,根本不能运行。所以我就特例独行,给出源代码,具体原理,网上很多无需赘述。拿到了源代码,...
Python深度学习实现DIY专属个人表情包

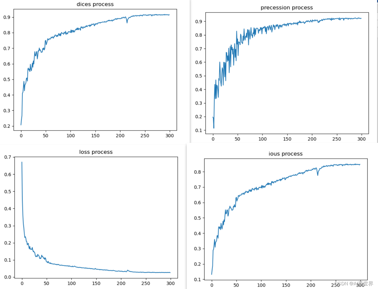
【代码】Unet图像分割实战代码-以植物病虫害分割为例训练测试【源码分享】

目标检测+行人追踪等源码

机器学习算法项目【源码分享】

人体姿态估计、OpenPose、Keras训练,包含技术文档介绍








