
简介
该用户还未填写简介
擅长的技术栈
可提供的服务
暂无可提供的服务
一、Swiper 插件简介1、核心概念2、核心特点二、Swiper 插件使用方法1、下载 Swiper 插件2、Swiper 插件案例3、Swiper 插件案例源码查看4、Swiper 插件案例源码分析5、Swiper 插件 API 文档三、Swiper 插件使用步骤0、使用文档1、步骤一 : 加载插件2、步骤二 : 加载插件3、步骤三 : 设置 Swiper 轮播图大小4、步骤四 : 初始化 S

一、第四步:深度学习1、学习目标2、学习内容① 深度学习基础② 深度学习框架③ 核心网络结构二、第五步 : 机器视觉 应用方向1、学习目标2、计算机视觉基础3、核心任务与模型① 图像分类② 目标检测③ 图像分割④ 生成对抗网络

一、盘古大模型简介1、创建空间2、体验模型3、部署模型

一、宇宙模拟假说1、概念定义2、模拟三元困境二、支持模拟假说的论据1、像素化2、观测者效应3、光速上限三、算力、内存 与 规律穿透

一、参数提示词1、参数提示词简介2、画面文字设定3、图形界面设置参数4、不同版本参数取值范围二、图像二次编辑1、图像变化 ( 无意义 )2、图像高清 ( 无意义 )3、图像重塑 - 修改提示词 ( 重点 )4、图像延展 ( 使用报错 )5、图像编辑 ( 重点 )

一、能量模型1、能量概念2、能量模型组成3、能量交互二、能量模型使用法则1、能量循环 ( 重点 )2、能量的使用原则3、远离 " 能量吸血鬼 "4、避开因果

一、IntelliJ IDEA 创建 Gradle 工程二、导入数据库驱动依赖 jar 包1、为 Gradle 定义 Maven 仓库2、添加 MySQL 数据库驱动依赖3、添加 SQLServer 数据库驱动依赖4、Maven 工程添加数据库驱动依赖三、使用 JDBC 访问数据库

一、天庭组织架构二、佛门组织架构三、天庭的盘根错节四、西游记中的人情世故

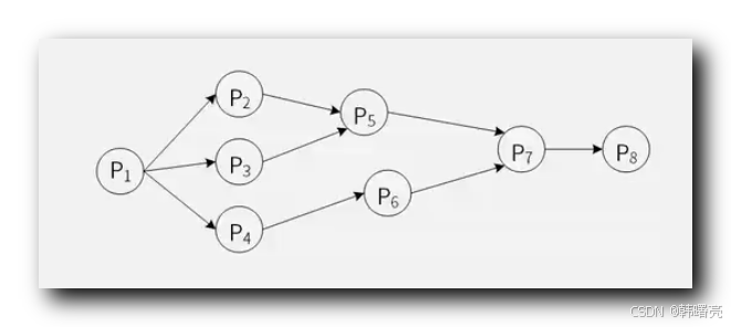
一、前驱图 与 PV 操作1、前驱图概念2、前驱图示例3、前驱图 的 PV 操作 - 简单版本4、前驱图 的 PV 操作 - 复杂版本5、前驱图 有向边 对应的 PV 操作二、软考考点1、前驱图表示形式2、并行操作分析① 并行操作分析② 直接制约关系分析③ 间接制约关系分析3、前驱图 与 PV 操作结合考察

一、总线1、总线概念2、总线宽度3、总线带宽二、总线分类1、总线分类 - 串行总线 / 并行总线2、总线分类 - 数据总线 / 地址总线 / 控制总线3、总线分类 - 单工 / 半双工 / 全双工








