
简介
该用户还未填写简介
擅长的技术栈
可提供的服务
暂无可提供的服务
本文主要解决在 ES 中如何处理空只或者 NULL 值,如检索值为空的文档,如何存储空值或 NULL 值等。

字段,而此时源数据和搜索词都会被分词,如果给出了 null_value,ES 就不知道应不应该给这个 null_value 的值分词了,null_value 替换的原本就是索引数据,如果分词可能会影响搜索结果的准确性,使用户得到意想不到的结果,但是如果部分词又违背了 text 类型的设计理念和规则,因此选择了不支持。:在全文检索中,空值本来就会被作为停用词处理,在分词过程中就会被“干掉”,即便我们

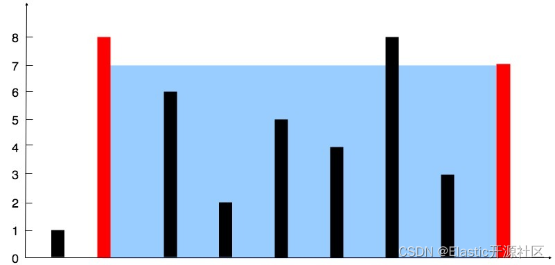
给定一个长度为 n 的整数数组 height。有 n 条垂线,第 i 条线的两个端点是 (i, 0) 和 (i, height[i])。解释:图中垂直线代表输入数组 [1,8,6,2,5,4,8,3,7]。在此情况下,容器能够容纳水(表示为蓝色部分)的最大值为 49。找出其中的两条线,使得它们与 x 轴共同构成的容器可以容纳最多的水。返回容器可以储存的最大水量。说明:你不能倾斜容器。

Elasticsearch 并没有直接提供一个 API 来返回当前系统时间,但可以通过以下方式间接获取或使用当前时间:使用 _ingest.timestamp 在 Ingest Pipeline 中获取当前时间。使用 Painless 脚本在查询或更新中获取当前时间。使用 now 关键字在查询中表示当前时间。利用 date 类型字段的默认值自动填充当前时间。使用 Kibana 的 Dev Tool

1、基于 TransportClient1.1 创建索引@SneakyThrowsprivate void create(TransportClient client) {List<Product> list = service.list();for (Product item : list) {System.out.println(item.getDate().toLocalDate
文章目录1、正排索引和倒排索引1.1 正排索引1.2 倒排&正排2、一张图看懂正排&倒排2.1 图解2.2 区别3、一个通俗易懂的比喻4、正排索引的数据结构4.1 doc values4.2 fielddata:5、总结1、正排索引和倒排索引1.1 正排索引从广义来说,doc values 本质上是一个序列化的 列式存储 。列式存储 适用于聚合、排序、脚本等操作,所有的数字、地理坐
1、基于 TransportClient1.1 创建索引@SneakyThrowsprivate void create(TransportClient client) {List<Product> list = service.list();for (Product item : list) {System.out.println(item.getDate().toLocalDate
1、语言无关性Elasticsarch支持的客户端种类:Java REST ClientJava APIPython APIGo API.Net APIPHP APIJavaScripts APIRuby APIPerl APIElandRustCommunity Contributed Clients2、Java API(TransportClient)2.1 生命周期(生卒年:ES 0.9 -
角色是ES节点的重要属性,属于Elasticsearch的重要基础概念。在高可用系统架构中,节点角色发挥着至关重要的作用。如果前期没有对业务系统和技术架构做足准备,没有充分考虑后期的扩展问题,势必会为将来的性能优化留下潜在问题。
Elasticsearch 高可用系统架构设计高可用性即:High Availability(HA),高可用性是分布式系统架构设计的重要因素之一,简单来说,可用性越高的集群在发生意外情况(如断电、节点宕机)的时候,服务发生故障而不可用的可能性越低,也就是降低了意外情况而对整体服务产生的影响的可能性。高可用性原理ES使用数据分片(shard)来提高服务的可用性,将数据分散保存在不同的节点上以降低当单








