
简介
该用户还未填写简介
擅长的技术栈
未填写擅长的技术栈
可提供的服务
暂无可提供的服务
统计学习方法第五章:决策树法(decision tree)
决策树(统计学习理论)

概率论与随机过程(人工智能)
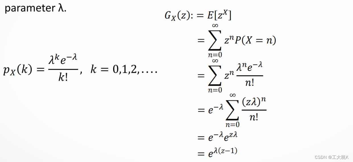
关于离散随机变量的更多信息

概率论与随机过程(人工智能)
关于离散随机变量的更多信息

统计学习方法第四章:朴素贝叶斯法(naive Bayes)
高斯朴素贝叶斯算法模型 编写与理解

到底了

该用户还未填写简介
暂无可提供的服务
决策树(统计学习理论)

关于离散随机变量的更多信息

关于离散随机变量的更多信息

高斯朴素贝叶斯算法模型 编写与理解
