
简介
该用户还未填写简介
擅长的技术栈
可提供的服务
暂无可提供的服务
BP神经网络,即使用反向传播算法(BackPropagation algorithm)的神经网络该模型输入层有(100+1)中间层(25+1)输出层(10)以下为python语言实现的反向传播算法import numpy as npfrom scipy.io import loadmatfrom scipy.optimize import minimizefrom sklearn.preproce
集成方法(ensemble method)通过组合多个学习器来完成学习任务,颇有点“三个臭皮匠顶个诸葛亮”的意味。基分类器一般采用的是弱可学习(weakly learnable)分类器,通过集成方法,组合成一个强可学习(strongly learnable)分类器。所谓弱可学习,是指学习的正确率仅略优于随机猜测的多项式学习算法;强可学习指正确率较高的多项式学习算法。集成学习的泛化能力一般比单一的基
原生GAN(Generative Adversarial Nets)训练过程也是老三步了,再啰嗦一遍:使用真实图片训练辨别器,标签为真使用生成器生成的图片训练判别器,标签为假,此时图片使用生成器计算得来的,喂给判别器时要截断梯度,防止更新时把生成器也更新了训练生成器,使用生成的图片喂给判别器,标签为真,更新生成器论文地址:https://arxiv.org/abs/1406.2661GAN之父了可

一,功能简介除最基本的增,删,改,查,多加了一个导出为excel表格的功能。比较适合刚学完python练习基本语言用。代码中大部分都是使用基本语法来处理数据。新建和查看搜索时,界面确实不怎么美观,家庭住址这一栏也直接到了下一行,时间原因,也懒得修改了。修改:先选择要修改的信息改动:信息覆盖:删除和修改的界面几乎一样一个多选的对话框,这里不展示了。导出表格:其中C:/Users/acer/Deskt
天池数据分析学习赛https://tianchi.aliyun.com/notebook-ai/detail?spm=5176.12586969.1002.6.ca32e276PmUnaV&postId=254030百度网盘:链接:https://pan.baidu.com/s/1ZcpzpkNqfFvLT3TAK24NHw提取码:1igo参考资料:1,https://tianchi.al
一,必做部分import pandas as pdimport numpy as npimport scipy.optimize as optimport matplotlib.pyplot as pltfrom sklearn.metrics import classification_report#这个包是评价报告def get_X(df):#读取特征ones = pd.DataFrame({
一先看下数据的样子import pandas as pdimport matplotlib.pyplot as pltfrom scipy.io import loadmatfrom sklearn import svmraw_data = loadmat('data/ex6data1.mat')data = pd.DataFrame(raw_data['X'], columns=['X1', '

天池数据分析学习赛https://tianchi.aliyun.com/notebook-ai/detail?spm=5176.12586969.1002.6.ca32e276PmUnaV&postId=254030百度网盘:链接:https://pan.baidu.com/s/1ZcpzpkNqfFvLT3TAK24NHw提取码:1igo参考资料:1,https://tianchi.al
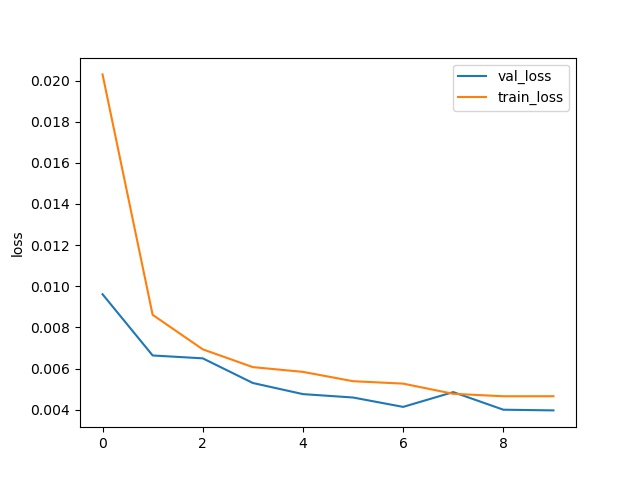
本文是《Pytorch深度学习入门与实战》,中国水利水电出版社一书中的例子数据集:链接:https://pan.baidu.com/s/1rODLa65Js4K5rZ1iMDQ2DA提取码:d8fc代码全连接神经网络(Multi-Layer Perception,MLP)或称多层感知机。以下实现了对垃圾邮件的分类训练代码:import numpy as npimport pandas as pdf

使用转置卷积对图像进行去噪处理,经过处理的图像平均PSNR上升5.32dB
