
简介
该用户还未填写简介
擅长的技术栈
未填写擅长的技术栈
可提供的服务
暂无可提供的服务
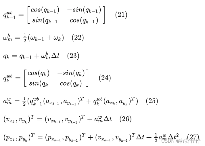
基于EKF的IMU和轮速计融合方法
自动泊车APA需要短程高精度的定位,受限于平台算力,找到一种基于EKF的IMU和轮速计融合方法。2、将加速度的零偏作为待估计量,不必时刻update,等脉冲发生变化后再进行update。因为后续项目中采用了基于标定的方法,该方案暂时搁置,待有空后再进行新的尝试。1、不再使用轮速,改用轮速脉冲和标定准确的轮胎直径。待估计量:横摆角、加速度、速度和位置。观测值:速度、相邻两帧的角度差、距离。求解雅可比

基于EKF的IMU和轮速计融合方法
自动泊车APA需要短程高精度的定位,受限于平台算力,找到一种基于EKF的IMU和轮速计融合方法。2、将加速度的零偏作为待估计量,不必时刻update,等脉冲发生变化后再进行update。因为后续项目中采用了基于标定的方法,该方案暂时搁置,待有空后再进行新的尝试。1、不再使用轮速,改用轮速脉冲和标定准确的轮胎直径。待估计量:横摆角、加速度、速度和位置。观测值:速度、相邻两帧的角度差、距离。求解雅可比

ORB_SLAM2新增稠密建图代码笔记
ORB_SLAM2新增稠密建图代码笔记
ORB_SLAM2+kinect稠密建图实战项目总结
ORB_SLAM2+kinect稠密建图实战项目总结在完成这个小项目的过程中,遇到了很多bug,每当出现编译和运行环节,我的屏幕上大概率都会出现红红的warnings和errors,一开始还能稳住心态,遇到问题就google,但后来发现很多博客或github上的issue并不会把修改code的原理讲清楚说明白且有些本身就有错误,尤其是对于新手小白,如果不求甚
到底了







