
简介
该用户还未填写简介
擅长的技术栈
可提供的服务
暂无可提供的服务
CLHLS是中国老年健康影响因素跟踪调查数据,由北京大学主持,覆盖1998-2018年全国23个省市,包含11.3万人次调查数据,重点关注高龄老人健康。数据可用于计算虚弱指数(由40个变量组成),支持纵向分析和轨迹分析。通过R语言的clhls.frailtyindex函数可快速提取虚弱指数,并支持多年度数据分析和全变量导出。该数据与CHARLS数据库有相通性,适合双库交叉验证研究。研究团队还开发了

交互作用效应(p for Interaction)在SCI文章中可以算是一个必杀技,几乎在高分的SCI中必出现,因为把人群分为亚组后再进行统计可以增强文章结果的可靠性,进行可视化后可以清晰的表明变量之间的关系。2. SPSS联合Excel进行logistic回归亚组交互效应(交互作用)的可视化分析,不用代码操作也能做出交互效应图。编写NHANES亚组交互函数,可以一键生存亚组分析交互效应表并绘制森

数据解释如下:low 是否是小于2500g早产低体重儿,age 母亲的年龄,lwt 末次月经体重,race 种族,smoke 孕期抽烟,ptl 早产史(计数),ht 有高血压病史,ui 子宫过敏,ftv 早孕时看医生的次数,bwt 新生儿体重数值。假设咱们想race为研究目标,因为它是分类变量,咱们最好把它转成因子,因为scitb包有一定对数据类型的判定能力,如果你的分类变量类别大于5个,而你不转

这是一个有关于老年人护理的数据,我介绍一下等会我要用到的变量,neg_c_7:7个项目的负面影响,c12hour:每周平均护理时数,BARTHTOT:总分 BARTHEL INDEX,c161sex :照顾者的性别,得出不同性别,在不同barthtot 分数段中,护理时间和负面影响的关系,我们可以看到barthtot 分数70分这段,护理时间越长,负面影响越高,男女都是一样,儿30分这段随着护理时

建立任务后第二部就是定义一个学习器(Learner),其实就等于选哪个R包来分析,学习器将数据传给模型进行训练并返回结果,就等于把数据传给R包,R包得出结果在返回来,回归模型使用的是 regr.rpart等于使用rpart包来分析。从上可知,这个学习器只要用3个R包, mlr3, mlr3learners, stats,其实就是主要用mlr3learners包,把数据放入学习器,就是把数据放入R包

生成表,和1.4版本一样data是你的数据,必须是数据框形式,x是你研究的目标变量,y是你的结局变量,Interaction是你的分层变量,这个必须是分类变量并转成因子,cov是你的协变量,在我的设定中cov是要包含Interaction的,这也符合我们的习惯。数据解释如下:low 是否是小于2500g早产低体重儿,age 母亲的年龄,lwt 末次月经体重,race 种族,smoke 孕期抽烟,p

在既往文章《scitb5函数1.6版本(交互效应函数P for interaction)发布----用于一键生成交互效应表》中,我发布了本人编写的scitb5函数1.6版本,反应还不错,没有发现很大的问题,本期发布最新的1.7版本scitb5函数,1.7版本修复了1.6版本的一些小问题,最主要的一个是当结果变量Y是连续变量时,生成的表格应该是β而不是OR,虽然结果没错,但是列名没有改,1.7版本修

我们做临床研究常见的烦恼为没有好的数据,目前气象网站上有很多关于气象因素和空气质量数据,但是没有系统的整理和格式等问题,我们使用起来非常不方便,而且很费时间,我们可以使用R语言爬虫工具对网站上的数据进行抓取,然后对数据进行整合,最后进行分析,达到事半功倍的效果,先申明一下,爬取工具不是病毒,原理我就不废话这么多了,主要是对实际操作进行讲解。今天我们要爬取的网站是PM2.5网,为什么选这个网站,因为
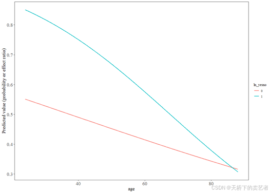
age表示年龄,pathsize表示病理肿瘤大小(厘米),lnpos表示腋窝淋巴结阳性,histgrad表示病理组织学等级,er表示雌激素受体状态,pr表示孕激素受体状态,status结局事件是否死亡,pathscat表示病理肿瘤大小类别(分组变量),ln_yesno表示是否有淋巴结肿大,time是生存时间,后面的agec是我们自己设定的,不用管它。这里我指出一下,函数默认是做有交互影响的结果,如

scitb5函数我来解释一下data就是你的数据,必须是数据框形式,x是你的目标变量,目前必须是连续变量,y是你的结局变量,Interaction输入:交互变量,cov输入:协变量,family定义你的模型,逻辑回归就定义为logit。接下来我们就是要定义交互也就是分层变量,cov1表示在你模型出现的协变量,Interaction表示你要交互也就是分层的变量,我在函数中设定交互变量必须包含在协变量








