
简介
该用户还未填写简介
擅长的技术栈
可提供的服务
暂无可提供的服务
LAN8742 驱动只有 600 行,却浓缩了自协商状态机中断消抖时间戳对齐等经典算法。当你能把“链路未 ready”精确定位到BSR 寄存器第 2 bit 两次采样为 0时,SOEM 的报错信息就不再是黑盒,而是可推导的物理现象。希望本文成为你调试 EtherCAT 时的“寄存器级”地图——从 bit 到帧,从帧到伺服,一切皆有迹可循。

驾驶员疲劳监测DMS相关数据集,DMS数据集约36668张,标签结构看图,均有标签。包涵rgb与红外摄像头数据在智能驾驶领域,驾驶员疲劳监测(DMS)无疑是保障行车安全的重要一环。今天咱就来唠唠与之相关的数据集。

有个取巧的方法:直接把Halcon安装目录下的bin/x64-win64整个文件夹加入系统Path,这样调试的时候不用来回拷贝dll。直接上手搞Qt+Halcon的环境配置可能会遇到不少坑,这里分享下我的踩坑记录。先说下环境:Qt5.12.4+VS2017,Halcon用的是20.11版本。如果Qt是用MSVC编译的,一定要确认Halcon的lib目录是否对应。这样处理比直接传HImage指针安全

实测能测方波、正弦波、锯齿波,误差控制在1%以内,这对仿真环境来说已经够用了。Proteus里仿真时记得打开示波器视图观察输入信号,有时候仿真模型的信号源和实际硬件差异挺大。硬件部分在Proteus里搭得挺简单:STM32F103C8核心板,加个1602液晶显示,信号输入接PA0脚。实测在10Hz-50kHz范围内误差基本在1%以内,高频时误差会稍微大点,不过作为简易测量够用了。使用 Proteu

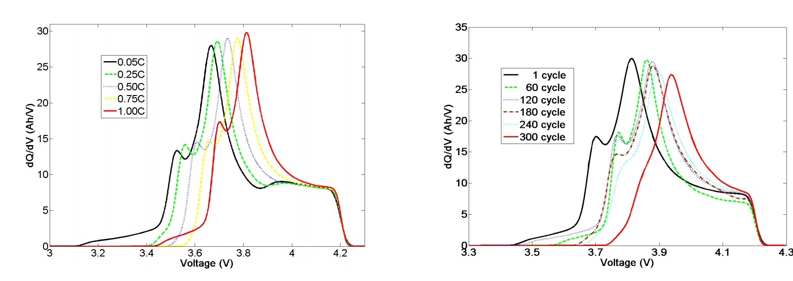
本代码库实现了一套完整的锂离子电池健康状态(SOH)和剩余使用寿命(RUL)预测系统,基于增量容量分析(ICA)和差分电压分析(DVA)方法。该系统能够从电池充放电数据中提取关键特征,并通过机器学习模型实现电池性能衰退的准确预测。

更绝的是在突加侧向风干扰时,ADRC的悬架动挠度恢复时间比PID快0.3秒——这得益于ESO的实时扰动补偿。这段代码里的beta系数组(β1=100, β2=300, β3=1000)可不是随便填的数,它们决定了ESO的跟踪速度。特别是在处理执行器饱和这种非线性问题时,通过ESO估计出的等效扰动能给状态反馈提供补偿量,避免积分环节的windup现象。这是因为控制量主要分配给车身稳定性优化,这时候就

视觉通用框架源码C #联合Halcon开发的根据visionpro 编写,缺陷检测,定位,拉控件式。HALCON 是最强的视觉处理软件,在视觉处理领域,有一个超酷的组合,那就是C#联合Halcon来开发视觉通用框架,而且这个框架还是参考visionpro编写的,主打缺陷检测和定位,还采用了拉控件式的便捷操作方式。今天咱就来唠唠这个有意思的开发过程。

最后,我觉得自己写代码还挺有成就感的,从数据处理、分析到可视化,每一步都需要仔细思考和调整,最终呈现出的结果确实让人满意。总之,今天这个PCA结合置信椭圆的绘图练习很有趣,也让我进一步理解了如何更高效、美观地展示数据的内在结构。嗯,三种鸢尾花各自聚成三个团,置信椭圆则清晰地展示了数据的分布,特别是不同类别的分离程度。再看看累计贡献率,前两个主成分已经解释了84.51%的方差,已经相当不错了,说明数

单个手写体数字的实时识别:这一功能可以让我们即时输入一个手写数字,系统迅速给出识别结果。想象一下,你随手在输入界面写下一个数字,眨眼间就知道机器给出的识别答案,是不是很神奇?邮政编码识别:在如今的邮件处理等场景中,自动识别邮政编码能大大提高处理效率。该系统能够精准识别邮政编码中的数字,助力邮件等的快速分类与投递。带噪验证码识别:生活中我们登录网站、注册账号时经常会遇到带有噪声干扰的验证码,这个系统

MATLAB实现多智能体运动规划与避障算法该压缩文件集包含了MATLAB环境下实现的两种算法:Dijkstra算法和RVO2(Reciprocal Velocity Obstacles Version 2)算法的代码实现。Dijkstra算法是一种用于图中寻找最短路径的经典算法,而RVO2是一种用于多智能体系统中运动规划和避障的算法。








