简介

文章介绍了GSPO算法,一种解决GRPO在长序列和MoE模型训练中失稳问题的强化学习方法。GSPO将优化粒度从token级提升到序列级,基于序列似然定义重要性比率,并在序列层面执行奖励与优化。实验表明,GSPO在训练稳定性、效率和性能方面显著优于GRPO,特别在大规模MoE架构中优势突出,无需额外稳定化技巧即可自然收敛。


今天一起来看看Qwen团队前段时间提出的GSPO算法吧!

这是一种强化学习后训练的新方法,可以看作是 DeepSeek 提出的 GRPO 的改良版。这个算法很可能成为后续的面试热点,也是回答"最近有没有关注前沿技术"这类问题的好素材。

**GSPO比GRPO好在哪里?一句话总结:**GSPO的提出正是为了解决 GRPO 在长序列和 MoE 模型训练中容易失稳的问题。GSPO 将优化粒度从 token 级 提升到 序列级,基于序列似然来定义重要性比率,并在序列层面执行奖励与优化。这样一来,训练信号更加一致,显著提升了训练的稳定性与效率,尤其在大规模 MoE 架构中优势突出。

本文的目录如下:

  • 为什么GRPO会不稳定?
  • 重要性比率:token-level or sequence-level?
  • GSPO的优化目标、梯度计算与Token-level变体
  • 实验验证:GSPO 更稳定、更高效
  • 工程层面的优势

为什么GRPO会不稳定?

在理解 GSPO 之前,我们先看看 GRPO 存在哪些缺陷。

在 Qwen3 和 Minimax-m1 的技术报告中,研究者们都指出:使用 GRPO 训练大模型时,常常会出现灾难性且不可逆的模型崩溃。其根本原因在于重要性比率的误用:

  • 高方差噪声:GRPO 在 token 级别计算重要性比率,用于修正新旧策略的偏差。但单个 token 的比率波动往往很大,训练中会引入高方差噪声;随着序列长度增加,这种噪声在链式乘积中逐步累积,问题愈发严重。

  • clip 机制放大问题:在高方差的权重基础上再做 clip,会强行截断有效梯度,破坏梯度方向的一致性,相当于把本就抖动的信号进一步“压扁”,从而放大了训练不稳定性。

  • MoE 模型尤为脆弱:在 MoE 架构中,同一个查询在不同训练轮次可能激活不同专家,导致重要性比率

    θ出现剧烈震荡,更容易触发训练崩溃。

GSPO(Group Sequence Policy Optimization)的核心创新在于:基于整个回复序列的似然来计算重要性比率,并将同一提示下多个回答的奖励做归一化后作为优势值,从而保证奖励与优化在序列级别上保持一致。

实验结果表明,GSPO 在训练稳定性、效率和性能方面都显著优于 GRPO,并且能够稳定 MoE 模型的训练,而无需借助诸如 Routing Replay 这类复杂的稳定化技巧(后文会详细介绍)。


回忆下PPO和GRPO

定义策略模型为,为查询集合,给定查询和响应,其似然表示为,其中表示响应中的token数,定义查询-响应对的奖励为。

  • PPO:使用旧策略的样本更新当前策略,利用clip将策略更新限制在旧策略附近,目标函数为:

其中token的重要性比率为

衡量新旧策略对同一个token的生成概率比率。优势是由评估模型计算得到,是clip范围。PPO比较的是当下行动和过去的行动哪个更优,PPO的核心问题在于过于依赖评估模型。

  • GRPO:为同一查询生成一组回复,计算组内回复的相对优势,省去了评估模型:

其中表示组的大小,重要性比率

,优势

,也就是所有一个回复中的所有token有相同的优势值。GRPO比较的是组内的相对优势,即高于平均水平的响应优势值为正。GRPO虽然省略了评估模型,但仍然使用token级重要性采样。


重要性比率:token-level or sequence-level?

在大模型强化学习训练中,由于模型规模庞大、MoE 模型存在稀疏性、响应长度不断增长,往往需要采用 大 batch 训练。为了提高样本效率,大 batch 会被拆分成 mini-batch 做梯度更新,这就引入了 off-policy 训练 —— 当前的响应来自旧策略,而非当前正在优化的策略 。

因此,PPO 和 GRPO 都需要依赖 clip 机制 来缓解 off-policy 带来的偏差。然而,即使引入了 clip,GRPO 在长序列任务上仍然可能发生模型崩溃,根源就在于 重要性比率的不合理定义。


回顾:重要性采样的原理

重要性采样的目标是纠正分布不匹配。设行为分布为 ,目标分布为 ,有:

当 能准确反映分布差异时,这个估计是无偏的。 在实践中,我们通过从行为分布 采样 N 个样本,并利用重要性比率加权,来近似估计目标分布下的期望。


而在GRPO中,单个 token 的重要性比率定义为:

,这种定义有两个问题:

  1. 它依赖于 下一个 token 的概率分布,并不能准确修正分布不匹配;
  2. 单个 token 的比率波动极大,直接在梯度中引入了高方差噪声。

再加上 clip 机制在高方差权重上进行非线性压缩,会进一步放大噪声,最终可能导致训练彻底崩溃。实验也表明,这种崩溃具有不可逆性,即使回退 checkpoint、调整超参或扩充数据也难以恢复。

核心原则:优化目标应与奖励的单位一致

奖励是针对 完整序列 的,因此重要性比率也应该在序列层面定义。

正确的做法是使用序列级权重:,它能直接衡量新旧策略在整个序列上的差异,从而与序列级奖励保持一致。GSPO 正是基于这一原则,把重要性比率和优化目标统一到序列级别。

GSPO

优化目标

GSPO 将优化粒度从 token 级 提升到 序列级,其目标函数为:

其中优势依旧基于组内相对奖励:

重要性比率定义在序列似然上,并引入长度归一化:

由此可以看到:

  • 序列级 clip:GSPO 对完整响应计算重要性比率并进行裁剪,从而削弱离群样本对梯度估计的影响。

  • 长度归一化:在 log 比率上除以 ,消除了长短序列之间的尺度差异,避免长序列天然劣势,同时减少了方差。

  • 尺度差异:由于 GSPO 在序列级别裁剪,裁剪范围与 GRPO 的 token 级别存在数量级上的差别。

梯度计算

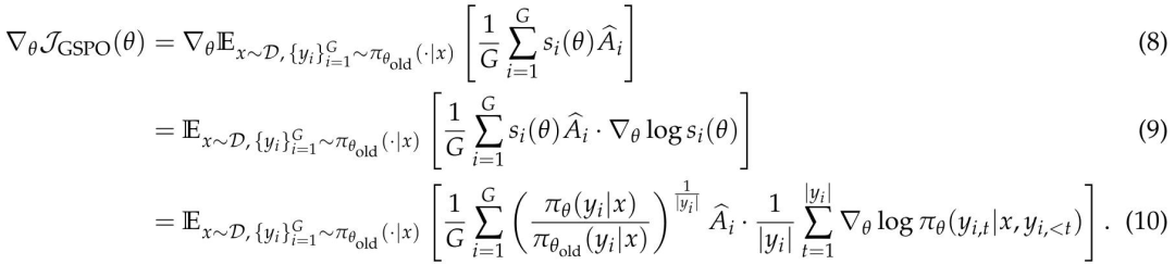
GSPO目标函数的梯度为(省略了clip):

🏕️

公式8到9的原理是:

与之对比的是GRPO目标函数的梯度为():

GSPO和GRPO的根本区别在于对token的对数似然梯度加权方式不同。

GRPO:

  • 同一响应中所有 token 共享相同优势值 ,但每个 token 的权重 差异很大。
  • 在奖励为正时,部分 token 的权重可能接近 0,几乎不更新;奖励为负时,某些 token 的权重可能过大,导致更新过度。
  • 这种 token 间差异 会在训练过程中不断累积,带来不可预测性,容易导致发散。

GSPO:

  • 同一响应内的所有 token 使用相同的序列级权重 。
  • 对于优秀的响应,所有 token 都会得到同等强度的正向更新,从而保证优化方向一致;对于差的响应,所有 token 都会被整体削弱。
  • 这种一致性消除了 token 间的差异,使训练更稳定可控。

GRPO 的更新粒度仍然停留在 token 级别。

虽然 GRPO 的奖励和优势函数都是基于 完整序列的,但优化时的单位却是单个 token,因为在梯度项<前面的权重是 token 级的重要性比率。 这种粒度不匹配带来了两个问题:

  1. 同一响应内的不一致性:一个序列的所有 token 共享相同的优势值 ,但不同 token 的重要性比率可能差异很大。结果是奖励信号和优化方向被割裂。
  2. 高方差噪声累积:token 级别的比率波动过大,不仅不能有效修正新旧策略的分布差异,反而引入额外噪声;随着序列长度增加,这种噪声会不断累积,最终可能导致训练发散。

在 MoE 模型 中,这一问题尤为突出,因为相同查询在不同训练轮次可能激活不同专家,使得重要性比率 出现剧烈震荡,更容易触发模型崩溃。


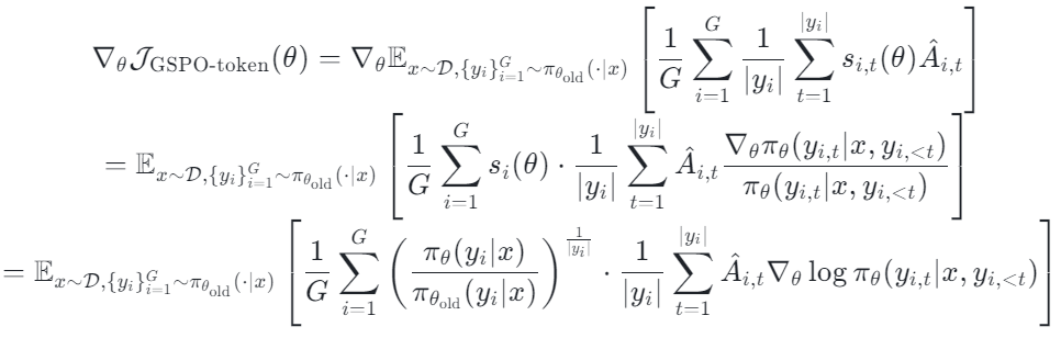
Token-level变体

在多轮强化学习场景中,有时需要比序列级更精细的优势调整(因为前面某一步可能对后续产生深远影响)。为此,作者提出了 GSPO 的 token-level 变体。

其优化目标为:

其中 token 级的重要性比率定义为:

表示取数值但停止梯度传播(即Pytorch 中的detach),进一步推导可得 GSPO-token 的梯度为:

这样设计GSPO-token有以下好处:

  • 数值等价性:对比GSPO和GSPO-token的梯度、优化目标和clip条件,作者发现当一个序列中所有token的优势都相同时(即ÂÂ),二者在数值上完全一致。具体表现为:
  • 序列重要性比率通过长度归一化将不同长度响应的控制在统一的数值范围内。
  • <<,因此有。
  • 细粒度优势控制:可以对每个token进行定制化调整,拥有比序列级重要性比率更细粒度的优势控制能力。
  • 稳定性和灵活性平衡:GSPO-token既保持了为每个token定制优势的灵活性,还通过梯度停止拥有GSPO的稳定性。

实验验证

训练稳定性与效率

研究者在从 Qwen3-30B-A3B-Base 微调得到的冷启动模型上开展实验,评估任务包括 AIME’24(数学)、LiveCodeBench(编程)和 CodeForces(编程)。训练设置为:每个 batch 划分为 4 个 mini-batch,GSPO 的 clip 范围为 ,GRPOclip范围为(clip-higher),并在 GRPO 中启用了 Routing Replay。

结果表明:

  • GSPO 训练稳定,性能能够随算力提升、查询集更新、生成长度延长而持续爬升;
  • GSPO 效率更高,在相同算力和查询消耗下,取得了更高的训练奖励和下游任务表现。

Clip行为对比

如下图所示,GSPO 会 clip 掉更多数据(约 15% token),并且调整 clip 范围不会改变数量级差异。

这意味着:

  • GRPO 的 token-level 更新中包含大量高方差噪声,即使保留了更多数据,训练信号仍然低效;
  • GSPO 的序列级更新虽然“更严格”,丢弃的数据更多,但保留下来的训练信号更可靠,因此整体样本利用率更高。

换句话说,GRPO 在噪声里屎海遨游,而 GSPO 提供了更干净的学习信号。

MoE模型的稳定性

MoE 模型的稀疏性使 GRPO 更容易失稳。实验发现,在 Qwen3-30B-A3B-Base 上,大约 10% 的查询会在新旧策略中激活不同的专家路径,在更深的 MoE 中比例更高。

  • GRPO 的应对方案:通过 Routing Replay 强制新策略沿用旧策略的专家路径,保证一致性。但这增加了显存与通信开销,相当于“给 MoE 套上镣铐”。
  • GSPO 的根本改进:只关注序列似然 ,而对单个 token 的似然不敏感。由于 MoE 保持整体语言建模能力,序列似然不会随专家切换剧烈波动,从根源上解决了训练震荡问题。

因此,GSPO 在 MoE 模型中无需额外稳定化技巧,就能自然收敛。

实际工程

在实际系统中,训练引擎(如 Megatron-LM)与推理引擎(如 SGLang、vLLM)往往存在精度差异。

  • 使用 GRPO 时,需要在训练引擎中重新计算旧策略的 token-level 似然,代价高昂;
  • GSPO 基于序列似然,对微小精度差异更具容忍度,可以直接使用推理引擎返回的序列似然,免去重算开销。

这一点在 部分 rollout、多轮 RL、训练-推理分离等场景下,能带来显著的效率提升。

AI大模型学习和面试资源

我在一线互联网企业工作十余年里,指导过不少同行后辈。帮助很多人得到了学习和成长。

我意识到有很多经验和知识值得分享给大家,也可以通过我们的能力和经验解答大家在人工智能学习中的很多困惑,所以在工作繁忙的情况下还是坚持各种整理和分享。但苦于知识传播途径有限,很多互联网行业朋友无法获得正确的资料得到学习提升,故此将并将重要的AI大模型资料包括AI大模型入门学习思维导图、精品AI大模型学习书籍手册、视频教程、实战学习等录播视频免费分享出来。

这份完整版的大模型 AI 学习和面试资料已经上传CSDN,朋友们如果需要可以微信扫描下方CSDN官方认证二维码免费领取【保证100%免费】
在这里插入图片描述

在这里插入图片描述

第一阶段: 从大模型系统设计入手,讲解大模型的主要方法;

第二阶段: 在通过大模型提示词工程从Prompts角度入手更好发挥模型的作用;

第三阶段: 大模型平台应用开发借助阿里云PAI平台构建电商领域虚拟试衣系统;

第四阶段: 大模型知识库应用开发以LangChain框架为例,构建物流行业咨询智能问答系统;

第五阶段: 大模型微调开发借助以大健康、新零售、新媒体领域构建适合当前领域大模型;

第六阶段: 以SD多模态大模型为主,搭建了文生图小程序案例;

第七阶段: 以大模型平台应用与开发为主,通过星火大模型,文心大模型等成熟大模型构建大模型行业应用。

在这里插入图片描述

👉学会后的收获:👈

• 基于大模型全栈工程实现(前端、后端、产品经理、设计、数据分析等),通过这门课可获得不同能力;

• 能够利用大模型解决相关实际项目需求: 大数据时代,越来越多的企业和机构需要处理海量数据,利用大模型技术可以更好地处理这些数据,提高数据分析和决策的准确性。因此,掌握大模型应用开发技能,可以让程序员更好地应对实际项目需求;

• 基于大模型和企业数据AI应用开发,实现大模型理论、掌握GPU算力、硬件、LangChain开发框架和项目实战技能, 学会Fine-tuning垂直训练大模型(数据准备、数据蒸馏、大模型部署)一站式掌握;

• 能够完成时下热门大模型垂直领域模型训练能力,提高程序员的编码能力: 大模型应用开发需要掌握机器学习算法、深度学习框架等技术,这些技术的掌握可以提高程序员的编码能力和分析能力,让程序员更加熟练地编写高质量的代码。

在这里插入图片描述

1.AI大模型学习路线图
2.100套AI大模型商业化落地方案
3.100集大模型视频教程
4.200本大模型PDF书籍
5.LLM面试题合集
6.AI产品经理资源合集

👉获取方式:
😝有需要的小伙伴,可以保存图片到wx扫描二v码免费领取【保证100%免费】🆓

在这里插入图片描述

Logo

更多推荐