
简介
该用户还未填写简介
擅长的技术栈
可提供的服务
暂无可提供的服务
无论是用超级终端登陆虚拟机或服务器,还是映射虚拟机或服务器的磁盘到本地,都需要安装openssh-server,命令如下:ning@ubuntu:~$ sudo apt install openssh-server下面进入正题。当然,你可以使用vmware tools来实现本地文件或磁盘的共享。我们需要的工具SFTP Net Drive 2017是一款免费软件?好像是……下载:点击

SoC(System on a Chip )中文名是系统级芯片。20世纪90年代中期,因使用ASIC实现芯片组受到启发,萌生应该将完整计算机所有不同的功能块一次直接集成于一颗硅片上的想法。SoC应由可设计重用的IP核组成,IP核是具有复杂系统功能的能够独立出售的VLSI块;IP核应采用深亚微米以上工艺技术;SoC中可以有多个MPU、DSP、MCU或其复合的IP核。IP核(I.........
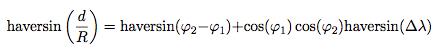
另一种算法,ubuntu测试没有问题,在项目硬件平台多次调用(如while中那样测试)总是死机(写文章时候还没找到原因)方法:#include "math.h"#include "stdio.h"#include "stdlib.h"#include "unis

源代码下载:http://download.csdn.net/detail/zn2857/9712711源代码分析:
源代码下载:http://download.csdn.net/detail/zn2857/9712710 http://download.csdn.net/detail/zn2857/9712712源代码分析:
软件:maplab x编译器:xc32开发框架:harmony建议安装时选择英文,此处省略上面三个软件安装过程。安装完毕后,tools -> plugins -> available plugin中选择maplab harmony configurator下载安装。
源代码下载:http://download.csdn.net/detail/zn2857/9712707源代码分析:
无论是用超级终端登陆虚拟机或服务器,还是映射虚拟机或服务器的磁盘到本地,都需要安装openssh-server,命令如下:ning@ubuntu:~$ sudo apt install openssh-server下面进入正题。当然,你可以使用vmware tools来实现本地文件或磁盘的共享。我们需要的工具SFTP Net Drive 2017是一款免费软件?好像是……下载:点击
linux U盘 sam9x60
源代码下载:http://download.csdn.net/detail/zn2857/9712711源代码分析:







