
简介
该用户还未填写简介
擅长的技术栈
可提供的服务
暂无可提供的服务
主要目标:如何将不同格式的企业文档(Word/Excel/PPT等)高效转换为适用于RAG或模型微调的结构化数据集?如果是特殊的医疗表格、艺术字体、手写公式,基本上要自己 OCR 模型(YOLOX)训练。这个框架可以帮助任何需要将非结构化文档转换为结构化数据的场景,特别适合企业级应用。数据采集和预处理:文档格式统一化、图表数据结构化、文本化处理。解决手段:使用智能分类系统,自动识别文件类型并选择相

图中还展示了不同类型的节点(圆形代表段落,三角形代表页面,方形代表表格)以及它们之间的关系(绿色箭头表示结构关系,黑色双向箭头表示内容相似性或关键词共享)。答案生成 = 相关信息整合(因为需要汇总检索到的信息) + LLM推理(因为需要根据整合的信息得出答案) + 答案优化(因为需要确保答案的准确性和可读性)这种方法结合了结构化知识(知识图谱)和非结构化推理(LLM),以有效处理不同类型的问题,并

主要目标:如何将不同格式的企业文档(Word/Excel/PPT等)高效转换为适用于RAG或模型微调的结构化数据集?如果是特殊的医疗表格、艺术字体、手写公式,基本上要自己 OCR 模型(YOLOX)训练。这个框架可以帮助任何需要将非结构化文档转换为结构化数据的场景,特别适合企业级应用。数据采集和预处理:文档格式统一化、图表数据结构化、文本化处理。解决手段:使用智能分类系统,自动识别文件类型并选择相

整体解法(Mindful-RAG)旨在利用 LLM 的内置(参数化)知识与外部知识图谱(非参数化)相结合,增强在复杂问答任务中的准确度和可解释性。核心思路是:通过“意图识别 + 上下文对齐 + 约束处理 + 验证反馈”的一系列步骤,减少 LLM 产生的推理错误和不必要的“幻觉”。与传统的 KG-RAG 方法相比,更强调在检索过程中的“意图理解”与“上下文对齐”,而不仅仅依赖语义相似度来检索知识图谱

预训练包含1.35 百万张 的 MRI(磁共振成像)的髋关节正常图像、CT(计算机断层扫描)的腹部正常图像、MRI 的踝关节带骨折的图像、MRI 的正常脑部图像、超声波的甲状腺图像以及 MRI 的带有椎间盘病理的脊柱图像。扩散模型,生成既真实又多样的合成医学图像数据,同时保留原始医学图像的关键特征,并通过融入对象的边缘信息来指导合成过程。这些图像是由扩散模型根据原始图像和边缘图像生成的,旨在展示扩

如果有(“Yes”),则进一步判断是否是儿童肌阵挛发作,是的话(“Yes”),避免使用拉莫三嗪,否则(“No”),使用苯巴比妥或拉莫三嗪。首先,通过标准化和结构化的方法,我们定义出哪些文本片段表示条件判断(例如,病人年龄超过60岁),哪些表示决策(例如,使用药物A治疗)。最终,通过应用预训练模型和特定的算法流程,从文本中抽取出的信息被转化成一个结构化的MDT,明确显示了从条件判断到最终决策的完整路

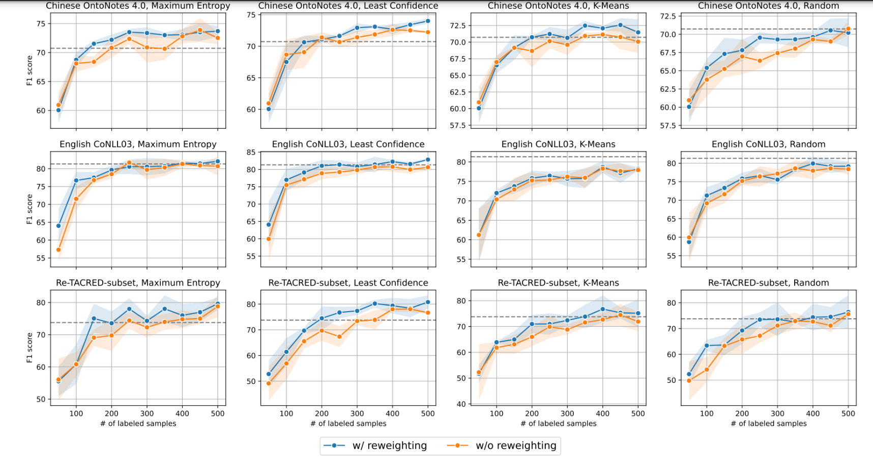
提示工程优化(Prompt Engineering Optimization)特征1:任务定制提示- 设计与特定任务紧密相关的提示,来引导LLM的输出。特征2:上下文示例- 提供与任务相关的上下文示例,辅助LLM理解任务目标。活跃数据获取策略(Active Data Acquisition Strategy)特征1:数据价值评估- 使用算法评估未标注数据的价值,以确定哪些数据可能最有助于提高模型性

然而,使用提及-邻居混合注意力机制,模型不仅识别这些实体,而且还考虑到“糖尿病”作为一个实体可能与“视网膜病变”有直接的临床关联,即“糖尿病”是“视网膜病变”的一个常见原因。同时,掩蔽提及建模任务鼓励模型从“糖尿病”与“视网膜病变”的关系中,反向学习到“糖尿病”本身的特性,如是什么类型的疾病,通常会引起哪些并发症等。在训练开始时,对于文本中提及的“糖尿病”,我们查询知识图谱以找到与之相关的实体,如









