
简介
该用户还未填写简介
擅长的技术栈
可提供的服务
暂无可提供的服务
我的电脑系统是win10 ,今天早上用的好好的,不知道怎么回事很卡,然后就浏览器就打不开了,我以为是没网了。但是手机wifi还是可以正常访问的呀,一定是我电脑的问题!检测了半天,还是没有用,最终靠这个方法,我的网络又可以使用了。看看你们的电脑是不是也是这种情况呢?

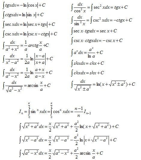
10. 分数:a/b,对应 LaTeX 表达式为 `\frac{a}{b}`。7. 开方:根号下x,对应 LaTeX 表达式为 `\sqrt{x}`。3. 乘法:x,对应 LaTeX 表达式为 `\times`。4. 除法:/,对应 LaTeX 表达式为 `\div`。8. 求和:,对应 LaTeX 表达式为 `\sum`。9. 积分:,对应 LaTeX 表达式为 `\int`。2. 减法:-,对

目前比较流行的UI组件库有Ant Design、Element UI、Bootstrap等,可以根据项目需求和团队技术水平选择合适的UI组件库。目前比较流行的构建工具有Webpack、Rollup等,可以根据项目需求和团队技术水平选择合适的构建工具。目前比较流行的状态管理库有Redux、Vuex等,可以根据项目需求和团队技术水平选择合适的状态管理库。综上所述,saas前端技术选型需要根据项目需求和

pnpm : 无法加载文件 C:\Program Files\nodejs\pnpm.ps1,因为在此系统上禁止运行脚本。有关详细信息,请参阅 https:/go.microsoft.com/fwlink/?pnpm : 无法将“pnpm”项识别为 cmdlet、函数、脚本文件或可运行程序的名称。请检查名称的拼写,如果包括路径,请确保路径正确,然后再试一次。然后再pnpm install 就可以安

发现替换了没有生效,就输入以下的命令:pyside6-rcc resources.qrc -o resources_rc.py。执行pyinstaller -F .\main.py或者pyinstaller -D .\main.py。教大家修改应用的标题和描述,打开main.py,找到如下代码就可以修改成自己想要的信息啦~就生成了这个文件,把这个文件移动到modules目录下替换就好了。现在想改改

编辑器有三种模式:命令行模式末行模式输入模式常用命令按Esc退出输入模式进入命令行模式也是系统默认模式。o,i,a都可以进入输入模式。在命令模式下键入ZZ或者:wq保存修改并且退出 。如果只想保存文件,则键入:w,回车后底行会提示写入操作结果,并保持停留在命令模式。放弃所有文件修改,按下Esc键进入命令模式,键入:q! 回车后放弃修改并退出。放弃所有文件修改,但不退出,即回退到文件打开后,最后一次

当我们克隆别人的项目出现以下提示信息时候。输入以下这段命令就好了。

运行npm run dev 报错,原因:node版本高于16,项目的版本不高于16。

这样可以指定Python的标准输入、输出和错误流的编码为UTF-8。尝试以上方法中的一种或多种,看看是否能够解决控制台输出乱码的问题。,这样可以指定Python在UTF-8编码下运行,例如。:在运行Python脚本时,可以尝试添加命令行参数。表示Unicode字符串,例如。:在打印中文字符时,可以使用。:在操作系统中设置环境变量。函数,并在字符串前加上。
最近在学习python,这个爬虫脚本是关于猫眼电影的,因为爬的时候存在验证码弹窗,所以额外写了一个验证码滑块的脚本,在实现自动化完成滑块的验证,和分页数据的采集。你们对这个成果打几分?猫眼滑块验证 +分页数据采集python。







