
简介
该用户还未填写简介
擅长的技术栈
可提供的服务
暂无可提供的服务
【代码】【Python小游戏】面向对象编程,使用tkinter制作一个俄罗斯方块小游戏。

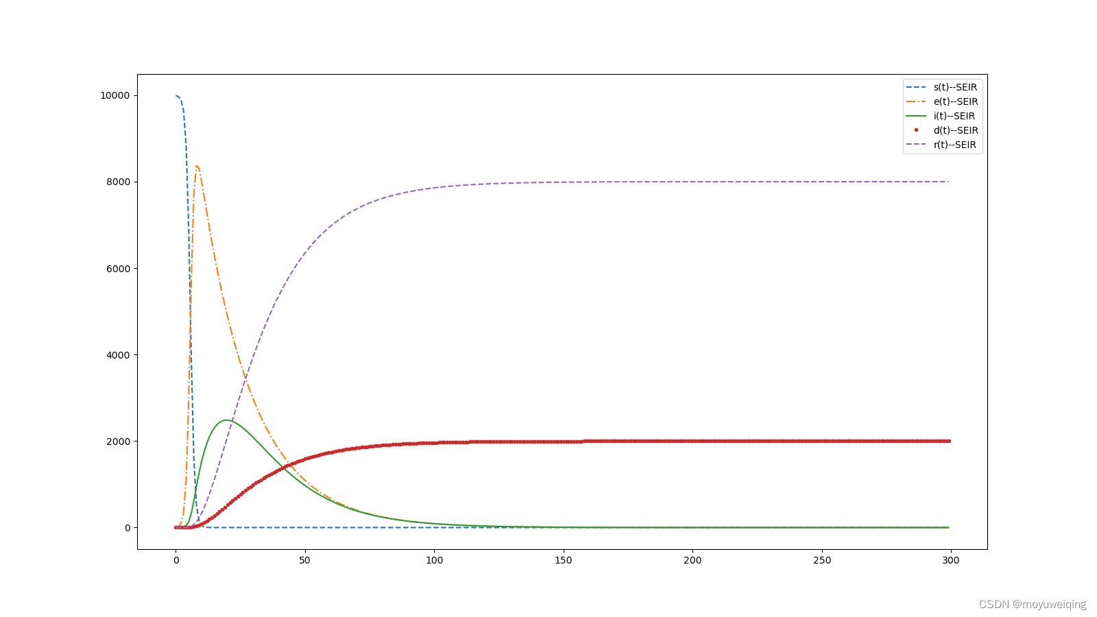
【Python数学建模】SEIR传染病模型模型延伸-SEIDR模型(二),加入外部输入等因素的影响,延伸模型

在去年下半年,网页版有道翻译上新,使得原来的爬虫接口失效,目前最新的接口用的是,接口情况如下图所示:接口的请求看似简单,但里面加密请求和返回值解密却非常复杂,本文将会介绍该新版有道翻译的爬虫破解过程。

由于球员退役后需要一定的时间才能进入到名人堂,故近期退役的球员可能够得上名人堂的入选,但由于时间还没够,暂没有入选(如文斯卡特),该部分少量数据亦会影响模型本身的效果。所有数据通过球员id进行数据关联,本模型将使用所有nba历史及现役的且在nba有过常规赛和季后赛数据的球员作为建模样本,共计2800位球员,即2800条建模数据。将上面已处理完的特征进行woe转换,将特征情况转换为woe值。使用逻辑

SIWR-GC模型,疫情发展和经济发展的影响模型,带你理解国家的防疫措施。

【Python数学建模】SEIR传染病模型模型延伸-SEIDR模型(二),加入外部输入等因素的影响,延伸模型

【Python网络爬虫】企查查高级搜索及批量查询接口爬虫

在去年下半年,网页版有道翻译上新,使得原来的爬虫接口失效,目前最新的接口用的是,接口情况如下图所示:接口的请求看似简单,但里面加密请求和返回值解密却非常复杂,本文将会介绍该新版有道翻译的爬虫破解过程。

SEIR传染病模型模型延伸-SEIDR模型,加入疫苗影响、政府管控、病毒变异等因素的影响。代码地址: https://github.com/moyuweiqing/SEIR-Model-extension
在http请求中,主要包含两种方式,一种是get请求另一种是post请求,在post请求中,请求headers中的哈希加密参数的生成a_default()函数和r_default()函数中生成,函数中的其中一个参数名为data,此时,data为post请求中的数据,为字典类型;但在get请求中,由于和post请求不一样,数据中并没有data部分的内容,因此,在get请求中,headers中哈希加密








