
简介
该用户还未填写简介
擅长的技术栈
可提供的服务
暂无可提供的服务
基于Matlab使用LQR实现车辆轨迹跟踪…在自动驾驶领域,车辆轨迹跟踪是一项核心技术,它关乎车辆能否按照预设路径安全、准确地行驶。今天咱们就来聊聊基于Matlab使用线性二次型调节器(LQR)实现车辆轨迹跟踪这一有趣的话题。

6个电池均衡,buckboost电路,精度高,均衡速度快在电池管理系统(BMS)的领域里,电池均衡一直是确保电池组性能与寿命的关键环节。今天咱们就唠唠 6 个电池均衡,以及背后核心的 Buck - Boost 电路,看看怎么做到精度高、均衡速度还快。

高斯过程回归是一种概率模型,通过构建输入数据的分布来进行预测。其核心在于核函数(Kernel Function),核函数决定了数据的相似度测量方式。常用的核函数包括常数核、线性核、多项式核和高斯核(RBF核)。高斯核因其平滑性和局部适应性,通常是GPR的首选核函数。基于粒子群优化算法优化高斯过程回归(PSO-GPR)的数据回归预测 PSO-GPR数据回归matlab代码注:暂无Matlab版本要求

差分升级是针对当前全量升级存在数据包大,不适合低功耗升级场景的问题,通过bsdiff差分算法来减少升级包大小的测试开发板,利用差分升级在代码改动不大时能将代码压缩到20%以内。差分升级是针对当前全量升级存在数据包大,不适合低功耗升级场景的问题,通过bsdiff差分算法来减少升级包大小的测试开发板,利用差分升级在代码改动不大时能将代码压缩到20%以内。本产品提供相应的测试电路和配套的演示代码,方便用

最后说点真心话:二阶模型在多数BMS场景够用了,但千万别迷信模型精度。先看模型结构:一个理想电压源(开路电压)串上欧姆电阻,后面接着两个RC并联网络。优化算法可能会在局部最优打转,这时候加些物理约束很重要,比如所有电阻电容必须为正数。两段代码对比着看很有意思:前者的odeint用了自适应步长,适合离线仿真;这段代码用了SciPy的微分方程求解器,但实际嵌入式系统里可能用不起这么高级的库。参数辨识才

图像缩放是图像处理中的基础操作,常见的缩放方法包括最近邻插值、双线性插值和双三次插值等。其中,双线性插值因其均衡的计算量和插值质量,广泛应用于各种场合。在FPGA上实现双线性插值,可以极大地提高图像处理的速度和效率,尤其是在实时处理和嵌入式系统中。双线性插值是一种简单有效的图像插值算法,在FPGA上实现能够充分发挥其并行处理能力。通过合理设计模块化结构,并充分利用FPGA资源,我们可以实现高效的双

资料包含:提供元件清单,(依照清单购买元件)提供程序源码(源码带注释,小白容易看懂),提供pcb原理图(依据画好的pcb原理图开打板子),提供电路原理图,提供产品使用到的传感器模块资料以及详细介绍(写文章可用)。最近用STM32F103C8T6整了个智能监控装置,成本压到200块以内,关键代码都是裸机写的,没有上RTOS照样跑得溜。(4)大棚内的环境参数低于或高于上下限值时,蜂鸣器启动报警功能,风

通过这次实战,我成功地在正点原子7寸RGB液晶屏上实现了基本的显示功能。从硬件连接到软件配置,再到代码编写,每一步都充满了挑战和收获。虽然过程中遇到了一些问题,但通过查阅资料和调试,最终都得到了解决。如果你也对嵌入式开发感兴趣,不妨尝试一下类似的项目。从零开始,一步步实现自己的想法,那种成就感是无法用语言形容的。

先看模型骨架:纵向、侧向、横摆三个核心运动,加上四个轮胎的旋转自由度,这结构就像给车装了七根神经,每条都得捋明白。方向打死的那刻,传统控制的车直接表演360度转体,咱们的控制器愣是让质心侧偏角控制在2度以内。咱的补偿策略怎么破的?仿真出图:车速,纵向加速度,侧向加速度,四个轮胎分别滑移率,质心侧偏角,横摆角速度,整车横摆力矩,纵向力,侧向力,轮胎模型,汽车转角,轮速。仿真出图:车速,纵向加速度,侧

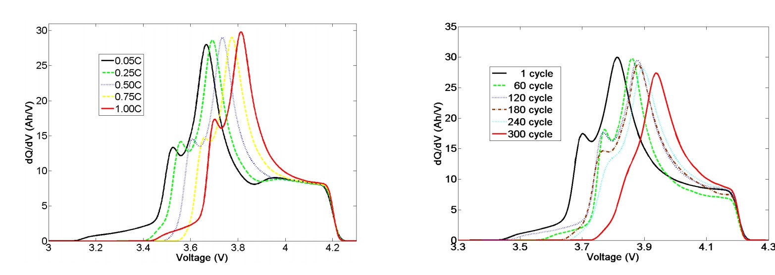
本系统是一套面向锂离子电池健康状态(State of Health, SOH)与剩余使用寿命(Remaining Useful Life, RUL)预测的 MATLAB 实现方案,基于马里兰大学公开电池数据集(Maryland Dataset)开发。系统核心方法融合了增量容量分析(Incremental Capacity Analysis, ICA)与差分电压分析(Differential Vol








