
简介
该用户还未填写简介
擅长的技术栈
可提供的服务
暂无可提供的服务
本文介绍了在VS Code中配置Python虚拟环境的完整流程。首先通过conda创建并激活base环境,安装nb_conda_kernels。随后在虚拟环境中安装Jupyter内核和ipykernel,确保Jupyter能正确识别环境。重点解决了gymnasium库与box2d的兼容性问题:先卸载冲突包,再通过conda-forge安装预编译的box2d-py,最后重新安装gymnasium[b

本文系统介绍了强化学习的基本理论框架及其在大语言模型(LLM)中的应用。主要内容包括: 强化学习基础概念:定义了智能体的状态、动作、策略、奖励函数等核心要素,阐述了马尔可夫决策过程(MDP)和贝尔曼最优方程。 价值估计方法:详细讲解了动态规划(DP)、蒙特卡洛(MC)和时序差分(TD)三种方法,分析了各自的优缺点和适用场景。 策略优化算法:从策略梯度出发,逐步推导出REINFORCE、Actor-

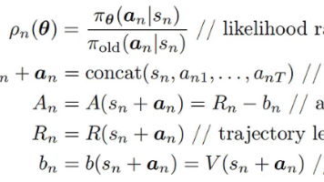
摘要:本文系统探讨了大语言模型(LLM)强化学习框架,重点解析了状态-动作-奖励三元组在文本生成中的映射关系,并提出三种改进算法:GRPO通过组内相对奖励替代价值网络,降低计算成本;DAPO采用不对称剪贴机制鼓励探索;GSPO将优化粒度细化到Token级别解决信用分配问题。研究揭示了传统PPO在LLM应用中的局限性,并通过蒙特卡洛采样、KL散度约束等技术创新,构建了更高效的文本生成优化体系,为资源

小智AI烧录/ESP32切换目标板报错的处理 Failed to set target esp32s3:non zero exit code 2

策略梯度算法通过直接优化策略参数θ来最大化期望回报,避免了基于价值的方法在连续动作空间中的局限性。核心思想是使用梯度上升更新策略,但原始方法存在高方差问题。为此提出两个改进:1)用未来回报Gt替代全程回报,减少历史噪声;2)引入状态价值函数V(s)作为基线,通过优势函数A(s,a)衡量动作相对优势。进一步发展为Actor-Critic框架,其中策略模型(Actor)和价值模型(Critic)交替更

运动控制先导课(三)——搓机器人就要涉及运动控制系统。为什么要求模态?如何求模态?传递函数与模态有什么关系?模态反映了系统的什么特性,有什么规律?

摘要:本文系统介绍了强化学习中的动态规划(DP)、蒙特卡洛(MC)和时序差分(TD)方法。DP需要完整环境模型,MC通过完整轨迹采样更新,TD则结合两者优势进行单步更新。重点讨论了基于状态价值V和动作价值Q的更新策略,包括SARSA(on-policy)和Q-learning(off-policy)算法。通过比较不同方法在模型需求、更新时机和偏差方差等方面的特性,阐明了从理论推导到实际应用的演进逻

本文介绍了使用STM32CubeMX进行STM32项目开发的配置流程。主要内容包括:1)芯片型号选择与工程创建;2)引脚配置(烧录方式、晶振连接);3)外设接口配置(UART、I2C、SPI等通信接口);4)时钟源设置与分频处理;5)代码生成方法。文中还详细解释了STM32芯片型号的命名规则,并阐述了底层I/O库(特别是HAL库)的作用与优势,包括提高开发效率、增强可读性、提升可移植性等,同时对比

本节从聚类问题入手,介绍KMeans算法的流程以及异常点检测的拓展,同时提供质心敏感问题的解决思路,从原理到代码实现都讲懂!









