简介

本文系统解析了大模型核心技术,包括主流开源模型体系架构(Prefix/Causal/Encoder-Decoder)、Attention机制优化、训练目标选择、Layer normalization类型(Layer/RMS/Deep Norm)、激活函数比较(GeLU/Swish/GLU)以及推理加速技术(Multi-Query/Grouped-Query Attention和FlashAttention)。文章深入探讨了为何Decoder-only结构成为LLM主流选择,并分析了模型涌现能力的原因,为开发者提供了大模型设计与优化的全面技术参考。


一、主流开源模型体系

目前主流的开源大语言模型体系大致分为三类:

Prefix Decoder 系:

  • 输入端:双向注意力(类似 Encoder)
  • 输出端:单向注意力(类似 Decoder)
  • 代表模型:ChatGLM、ChatGLM2、U-PaLM
  • 特点:prefix 部分 token 互相可见,属于 Encoder-Decoder 折中方案
  • 缺点:训练效率低

Causal Decoder 系:

  • 注意力:严格自回归单向注意力,即从左到右
  • 代表模型:LLaMA 系列及衍生物
  • 特点:预训练和下游任务完全一致,zero-shot 表现最好
  • 优点:训练效率高、zero-shot 能力强,具备涌现能力
  • 缺点:输入语义理解能力相对不足

Encoder-Decoder 系:

  • 输入端:双向注意力(更充分的语义理解)
  • 输出端:单向注意力(生成时遵循因果性)
  • 代表模型:T5、Flan-T5、BART
  • 特点:在理解类任务表现好
  • 缺点:长文本生成表现差,训练效率低

二、Attention Mask 的区别

设输入序列长度为 n,attention mask 矩阵 M ∈ ℝⁿˣⁿ:

(1)Encoder(双向注意力)

所有 token 都能互相看到,语义理解。

(2)Causal Decoder(单向注意力)

当前位置只能看到自身与之前的 token,因果律。

(3)Prefix Decoder(折中)

三、大模型训练目标

(1)最大似然估计(MLE)

根据已出现的 token,预测下一个 token(作文):

如下:

  • Causal Decoder:在所有 token 上计算损失
  • Prefix Decoder:仅在输出部分计算损失

(2)去噪自编码器(Denoising Autoencoder)

随机替换/打乱文本段,让模型恢复原始文本(完形):

如下:

  • 其中 x̃ 表示被随机破坏的输入
  • 代表模型:T5、GLM-130B
  • 难点:实现更复杂,训练效率更低

四、涌现能力的原因(猜测)

复杂任务由多个子任务组成,子任务性能随模型规模平滑提升,但整体任务指标可能出现“跳变”,表现为涌现能力。

模型容量与表示能力的非线性增强,随着参数量增加,模型可能跨越某种“能力门槛”。

比如我们假设某个任务 T 有 5 个子任务 Sub-T 构成,每个 sub-T 随着模型增长,指标从 40% 提升到 60%,但是最终任务的指标只从 1.1% 提升到了 7%,也就是说宏观上看到了涌现现象,但是子任务效果其实是平滑增长的。

一直在更新,更多的大模型学习和面试资料已经上传带到CSDN的官方了,有需要的朋友可以扫描下方二维码免费领取【保证100%免费】👇👇

在这里插入图片描述

五、为何大多数 LLM 采用 Decoder-only 结构?

原因如下:

  • Zero-shot 能力强:无需大量标注数据,也能在自监督学习下发挥最好性能。
  • 训练效率高:与下游推理完全一致,工程更简洁。
  • 理论上更优:Encoder 的双向注意力在生成任务中可能引入低秩问题,削弱表达能力。
  • 参数利用效率:同等参数量下,Encoder-Decoder 结构分摊了参数;Decoder-only 全部用于生成,更高效。

六、Layer normalization

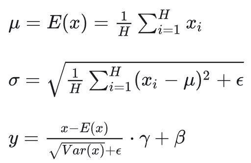
(1)Layer Norm

如下:

  • μ:特征的均值
  • σ:标准差,归一化的缩放因子
  • γ:可训练的缩放参数
  • β:可训练的偏移参数
  • ε:防止除零的小常数

Layer Norm 会对输入的每个 token 向量 按维度标准化,使其均值为 0、方差为 1,然后再通过 γ,β 学习恢复合适的分布。

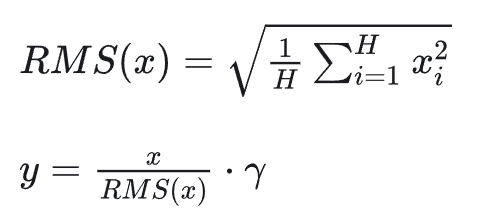
(2)RMS Norm

RMSNorm 移除了均值项,只保留均方根 (Root Mean Square):

如下:

  • 无 β 偏移项
  • 只保留缩放参数 γ
  • 计算更快,对训练稳定性也有帮助

RMS Norm 只控制输入的 尺度(scale),不调整均值,因此更轻量,常用于大型模型(如 GPT-3 变体、PaLM)。

RMS Norm 简化了 Layer Norm ,去除掉计算均值进行平移的部分。对比 LN,RMS Norm 的计算速度更快。效果基本相当,甚至略有提升。

(3)Deep Norm

Deep Norm 主要是为了解决训练非常深的 Transformer 时梯度不稳定的问题(比如 100+ 层):

  • 执行 Layer Norm 之前,up-scale 了残差连接(alpha>1);
  • 初始化阶段 down-scale 了模型参数(beta<1)

残差形式:

其中 α = 1/√(2N),N 为层数。在层与层之间的残差路径上控制信息流强度。这样可以避免残差累加过大导致梯度爆炸。

import torch.nn as nn

LN 在 LLMs 中的不同位置区别?

Post-LN:

  • 位置:layer norm 在残差链接之后
  • 缺点:Post-LN 在深层的梯度范式逐渐增大,导致使用 post-LN 的深层 transformer 容易出现训练不稳定的问题
  • 输出质量高,深层训练难

Pre-LN:

  • 位置:layer norm 在残差链接中
  • 优点:相比于 Post-LN,Pre-LN 在深层的梯度范式近似相等,所以使用 Pre-LN 的深层 transformer 训练更稳定,可以缓解训练不稳定问题
  • 缺点:相比于 Post-LN,Pre-LN 的模型效果略差
  • 深层稳定,略牺牲输出质量

Sandwich-LN:

  • 位置:在 pre-LN 的基础上,额外插入了一个 layer norm
  • 优点:Cogview 用来避免值爆炸的问题
  • 缺点:训练不稳定,可能会导致训练崩溃。
  • 极深防爆,普通训练易崩

LLMs 各模型分别用了哪种 Layer normalization?

一直在更新,更多的大模型学习和面试资料已经上传带到CSDN的官方了,有需要的朋友可以扫描下方二维码免费领取【保证100%免费】👇👇

在这里插入图片描述

七、LLMs 激活函数

FFN(前馈层)基本计算公式:

如下:

  • 输入:向量 x ∈ ℝᵈ
  • 权重:
  • W₁ ∈ ℝᵈˣᵈᶠᶠ
  • W₂ ∈ ℝᵈᶠᶠˣᵈ
  • 偏置:b₁, b₂
  • 激活函数:f(·) 可以是 ReLU / GeLU / Swish 等
  • 中间维度:dᶠᶠ = 4d(通常 Transformer 默认 4 倍扩展)

FFN 是在每个 token 上独立应用的两层 MLP。先升维(扩展到更高维度空间),再激活,再降维回去。

GeLU 激活函数:

如下:

  • 特点:平滑版本的 ReLU,不是硬性截断,而是概率化地保留输入。
  • 效果:对小值衰减,对大值接近线性。让模型既保留微弱信号,又对强信号线性响应,从而提高表达力和训练稳定性。
  • 应用:BERT、GPT 系列广泛采用 GeLU。

Swish 激活函数:

如下:

  • 特点:平滑、非单调激活函数,比 ReLU/GeLU 更灵活。
  • 效果:根据输入大小平滑放大或抑制信号,使信息流更灵活且梯度传播更稳定。
  • 特殊情况:当 β=1 时就是常见的 Swish。
  • 应用:在 EfficientNet、部分 LLM 变种中使用。

GLU(门控线性单元):

如下:

  • ⊗ 表示逐元素乘法
  • W, V ∈ ℝᵈˣᵈᶠᶠ
  • 输出由“值部分”和“门控部分”组合而成。

用 GLU 替换 FFN 的写法:

引入门控机制可以选择性地传递信息,类似 LSTM 的思想。允许重要信息通过,提高表达能力同时控制计算冗余。

GeLU-GLU 变体:

如下:

  • 值路径:xW 经过 GeLU 激活
  • 门路径:xV 直接作为调制因子
  • 应用:T5(Google 的大规模预训练模型)采用 GeGLU。
  • 把平滑激活和门控结合,在 FFN 中既筛选重要特征,又可调节信息流,让模型表达力增强且训练稳定。

Swish-GLU 变体:

如下:

  • 值路径:xW 经过 Swish 激活
  • 门路径:xV 直接作为调制因子
  • 应用:PaLM(Google 超大规模 LLM)采用 SwiGLU。
  • 将柔性调节(Swish)与门控结合,使 FFN 在保留细微信号的同时有选择性地传递信息,优化梯度流和训练稳定性,尤其适合超大模型。

参数量比较:

  • 标准 FFN:2 个权重矩阵(W₁, W₂),中间维度通常是 4d。
  • GLU 变体:需要 3 个权重矩阵(W, V, W₂),为了控制参数量,中间维度通常改为 (2/3) · 4d = 8/3 d。这样总体参数和计算量与标准 FFN 大致持平。

LLMs 中常用的激活函数选择:

八、Attention

传统 Attention 存在哪些问题?

  • 传统 Attention 存在 上下文长度 约束问题;
  • 传统 Attention 速度慢,内存占用大;

Attention 优化方向:

  • 提升上下文长度
  • 加速、减少内存占用

Attention 变体有哪些?

  • 稀疏 attention。将稀疏偏差引入 attention 机制可以降低了复杂性;
  • 线性化 attention。解开 attention 矩阵与内核特征图,然后以相反的顺序计算 attention 以实现线性复杂度;
  • 原型和内存压缩。这类方法减少了查询或键值记忆对的数量,以减少注意力矩阵的大小;
  • 低阶 self-Attention。这一系列工作捕获了 self-Attention 的低阶属性;
  • Attention 与先验。该研究探索了用先验 attention 分布来补充或替代标准 attention;
  • 改进多头机制。该系列研究探索了不同的替代多头机制。

Multi-head Attention 存在什么问题?

  • 训练:不会显著影响训练过程,训练速度不变,会引起非常细微的模型效果损失;
  • 推理:反复加载 KV cache , 导致内存开销大,性能是内存受限;

介绍 Multi-Query Attention?

Multi-Query Attention 在所有注意力头上共享 key 和 value。

对比 Multi-head Attention 和 Multi-Query Attention?

  • Multi-head Attention:每个注意力头都有各自的 query、key 和 value。
  • Multi-query Attention:在所有的注意力头上共享 key 和 value。

PaLM:直接使用 Multi-query Attention,保持 hidden size 和 FFN 结构 不变。

Falcon:为了保持总参数量一致,将隐藏维度从 4096 增大到 4544,多余参数分配给 Attention 和 FFN。

ChatGLM2-6B:采用 MQA / GQA 混合策略,将 FFN 中间维度从 11008 增加到 13696,多余参数分配给 FFN。

Multi-Query Attention 这样做的好处是什么?

减少 KV cache 的大小,减少显存占用,提升推理速度。

有哪些模型是使用 Multi-Query Attention?

代表模型:PaLM、ChatGLM2、Falcon 等

什么是 Grouped-query Attention?

介于 multi head 和 multi query 之间,多个 key 和 value。

有哪些大模型使用 Grouped-query Attention?

ChatGLM2,LLaMA2-34B/70B 使用了 Grouped query attention。

FlashAttention:

  • 核心:用分块 softmax 等价替代传统 softmax
  • 优点:节约 HBM,高效利用 SRAM,省显存,提速度
  • 代表模型:Meta 推出的开源大模型 LLaMA,阿联酋推出的开源大模型 Falcon 都使用了 Flash Attention 来加速计算和节省显存
  • 关键词:HBM、SRAM、分块 Softmax、重计算、Kernel 融合。

并行 transformer block:

  • 用并行公式替换了串行,提升了 15%的训练速度。
  • 在 8B 参数量规模,会有轻微的模型效果损失;在 62B 参数量规模,就不会损失模型效果。
  • Falcon、PaLM 都使用了该技术来加速训练

九、如何学习大模型 AI ?

由于新岗位的生产效率,要优于被取代岗位的生产效率,所以实际上整个社会的生产效率是提升的。

但是具体到个人,只能说是:

“最先掌握AI的人,将会比较晚掌握AI的人有竞争优势”。

这句话,放在计算机、互联网、移动互联网的开局时期,都是一样的道理。

我在一线互联网企业工作十余年里,指导过不少同行后辈。帮助很多人得到了学习和成长。

我意识到有很多经验和知识值得分享给大家,也可以通过我们的能力和经验解答大家在人工智能学习中的很多困惑,所以在工作繁忙的情况下还是坚持各种整理和分享。但苦于知识传播途径有限,很多互联网行业朋友无法获得正确的资料得到学习提升,故此将并将重要的AI大模型资料包括AI大模型入门学习思维导图、精品AI大模型学习书籍手册、视频教程、实战学习等录播视频免费分享出来。

一直在更新,更多的大模型学习和面试资料已经上传带到CSDN的官方了,有需要的朋友可以扫描下方二维码免费领取【保证100%免费】👇👇

在这里插入图片描述

01.大模型风口已至:月薪30K+的AI岗正在批量诞生

在这里插入图片描述

2025年大模型应用呈现爆发式增长,根据工信部最新数据:

国内大模型相关岗位缺口达47万

初级工程师平均薪资28K(数据来源:BOSS直聘报告)

70%企业存在"能用模型不会调优"的痛点

真实案例:某二本机械专业学员,通过4个月系统学习,成功拿到某AI医疗公司大模型优化岗offer,薪资直接翻3倍!

02.大模型 AI 学习和面试资料

1️⃣ 提示词工程:把ChatGPT从玩具变成生产工具
2️⃣ RAG系统:让大模型精准输出行业知识
3️⃣ 智能体开发:用AutoGPT打造24小时数字员工

📦熬了三个大夜整理的《AI进化工具包》送你:
✔️ 大厂内部LLM落地手册(含58个真实案例)
✔️ 提示词设计模板库(覆盖12大应用场景)
✔️ 私藏学习路径图(0基础到项目实战仅需90天)

在这里插入图片描述
在这里插入图片描述
在这里插入图片描述

在这里插入图片描述
在这里插入图片描述
在这里插入图片描述

第一阶段(10天):初阶应用

该阶段让大家对大模型 AI有一个最前沿的认识,对大模型 AI 的理解超过 95% 的人,可以在相关讨论时发表高级、不跟风、又接地气的见解,别人只会和 AI 聊天,而你能调教 AI,并能用代码将大模型和业务衔接。

  • 大模型 AI 能干什么?
  • 大模型是怎样获得「智能」的?
  • 用好 AI 的核心心法
  • 大模型应用业务架构
  • 大模型应用技术架构
  • 代码示例:向 GPT-3.5 灌入新知识
  • 提示工程的意义和核心思想
  • Prompt 典型构成
  • 指令调优方法论
  • 思维链和思维树
  • Prompt 攻击和防范

第二阶段(30天):高阶应用

该阶段我们正式进入大模型 AI 进阶实战学习,学会构造私有知识库,扩展 AI 的能力。快速开发一个完整的基于 agent 对话机器人。掌握功能最强的大模型开发框架,抓住最新的技术进展,适合 Python 和 JavaScript 程序员。

  • 为什么要做 RAG
  • 搭建一个简单的 ChatPDF
  • 检索的基础概念
  • 什么是向量表示(Embeddings)
  • 向量数据库与向量检索
  • 基于向量检索的 RAG
  • 搭建 RAG 系统的扩展知识
  • 混合检索与 RAG-Fusion 简介
  • 向量模型本地部署

第三阶段(30天):模型训练

恭喜你,如果学到这里,你基本可以找到一份大模型 AI相关的工作,自己也能训练 GPT 了!通过微调,训练自己的垂直大模型,能独立训练开源多模态大模型,掌握更多技术方案。

到此为止,大概2个月的时间。你已经成为了一名“AI小子”。那么你还想往下探索吗?

  • 为什么要做 RAG
  • 什么是模型
  • 什么是模型训练
  • 求解器 & 损失函数简介
  • 小实验2:手写一个简单的神经网络并训练它
  • 什么是训练/预训练/微调/轻量化微调
  • Transformer结构简介
  • 轻量化微调
  • 实验数据集的构建

第四阶段(20天):商业闭环

对全球大模型从性能、吞吐量、成本等方面有一定的认知,可以在云端和本地等多种环境下部署大模型,找到适合自己的项目/创业方向,做一名被 AI 武装的产品经理。

  • 硬件选型
  • 带你了解全球大模型
  • 使用国产大模型服务
  • 搭建 OpenAI 代理
  • 热身:基于阿里云 PAI 部署 Stable Diffusion
  • 在本地计算机运行大模型
  • 大模型的私有化部署
  • 基于 vLLM 部署大模型
  • 案例:如何优雅地在阿里云私有部署开源大模型
  • 部署一套开源 LLM 项目
  • 内容安全
  • 互联网信息服务算法备案

学习是一个过程,只要学习就会有挑战。天道酬勤,你越努力,就会成为越优秀的自己。

如果你能在15天内完成所有的任务,那你堪称天才。然而,如果你能完成 60-70% 的内容,你就已经开始具备成为一名大模型 AI 的正确特征了。

这份完整版的大模型 AI 学习资料已经上传CSDN,朋友们如果需要可以微信扫描下方CSDN官方认证二维码免费领取【保证100%免费

在这里插入图片描述

Logo

更多推荐