贾子猜想作为智慧标尺:人类与AI认知极限的统一理论

Kucius Conjecture as a Wisdom Benchmark: A Unified Theory of Human and AI Cognitive Limits


摘要 | Abstract

中文:
本文提出“贾子猜想作为智慧标尺”的理论框架,将数论中贾子猜想的高维无解性质与人类及人工智能的认知能力进行统一建模。通过形式化定义“智慧标尺”,本文刻画了数学难度、计算复杂性与认知深度之间的非线性关系,提出贾子猜想不仅是一个数学猜想,更是衡量智慧跃迁能力的“绝对度量”。本文从数论、复杂性科学、AI认知建模、文明哲学等多维度展开,揭示了贾子猜想作为智慧极限挑战的独特地位,并对未来AI超智能与人类认知共进化提出前瞻性推演。

English:
This paper introduces the concept of using the Kucius Conjecture as a wisdom benchmark, unifying the high-dimensional unsolvability of this number-theoretic conjecture with the cognitive capacities of both humans and AI systems. By formally defining a "Wisdom Benchmark," we map the nonlinear relationship between mathematical difficulty, computational complexity, and cognitive depth. The Kucius Conjecture is presented not merely as a mathematical statement but as an "absolute scale" for measuring the ability of any intelligence to perform cognitive leaps. The paper explores its implications across number theory, complexity science, AI cognition modeling, and civilizational philosophy, and outlines prospective scenarios for the co-evolution of human cognition and AI superintelligence.


一、引言 | Introduction

数学猜想历来是检验人类智慧边界的试金石。费马大定理、哥德巴赫猜想、黎曼猜想等在历史上推动了数学乃至科学思想的巨大跃迁。2025年提出的贾子猜想(Kucius Conjecture),则是首个明确要求“项数与指数严格相等”的高维幂和方程猜想,其断言在整数域中无解,且其研究难度呈现高度非线性复杂性。本文首次提出:贾子猜想不仅是数学挑战,更是衡量智慧层级的标尺。


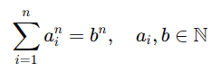
二、数学定义与形式化表述 | Mathematical Definition and Formalization

2.1 贾子猜想定义

设 n≥5,考虑贾子方程:

贾子猜想断言: 在整数域内不存在非平凡解,即不存在满足此式的整数解组 (a1,…,an,b)。

2.2 关键约束

  • 项数 = 指数: k=n 是方程的核心特征,形成高维对称约束。

  • 维度阈值: 当 n<5 时,存在已知解(如毕达哥拉斯三元组、四次幂和等式);当 n≥5 时,贾子方程预计无解。

  • 高维几何解释: 方程对应于 n-维整数格点落在 n-维超球面上形成闭合的可能性,其闭合解被推测不存在。


三、理论背景与智慧标尺 | Theoretical Background and Wisdom Benchmark

3.1 欧拉猜想与费马大定理的对比

  • 费马大定理: 断言 a^n + b^n = c^n 在 n≥3 无解,已由Wiles证明。

  • 欧拉猜想(已被推翻): 声称需要至少 nn 个 nn 次幂相加才能得到另一个 nn 次幂。Lander–Parkin反例说明该猜想对 n=5 并不成立。

  • 贾子猜想: 要求恰好 n 个项,难度远高于欧拉猜想,且尚无反例。

3.2 智慧标尺定义

我们提出“智慧标尺” W:

其中:

  • n 表示指数和项数;

  • C(n) 表示计算复杂度;

  • D(n) 表示解决该问题所需的认知维度;

  • ff 是单调递增的非线性函数,反映智慧难度随维度的急剧增长。


四、证明思路与数值验证 | Proof Approaches and Computational Verification

4.1 模算术与局部-整体矛盾

借助Hasse–Minkowski定理,可分析模16、模p下的局部解是否存在;若局部无解,则可排除整体解的可能性。

4.2 高维格点搜索

对于 n=5,6 可通过分布式高性能计算搜索有限范围解;但搜索空间随 n 增长呈指数爆炸,成为测试AI与超级计算平台能力的理想问题。

4.3 复杂性评估

贾子方程的解空间搜索被推测属于超指数复杂度,可能接近NP-完全问题的结构,但更贴近高维丢番图方程的“稀解”特性。


五、高维几何解释 | High-dimensional Geometric Interpretation

贾子猜想可视为“n维超球面上的整数格点闭合问题”。对于每个 ai,其 n 次幂对应于超球体的一条坐标半径。猜想断言在高维空间中这种闭合是无法实现的,暗示整数格点在高维空间中的稀疏性超过几何直觉。

(可配图:高维超球面 + 格点分布 + 未闭合的和向量,显示其“缺口”)


六、跨学科与AI认知意义 | Cross-disciplinary and AI Cognitive Implications

  1. 认知科学: 贾子猜想可作为人类和AI解决高维抽象问题能力的测度,量化“认知跃迁难度”。

  2. AI发展: 未来若有AI能自动生成贾子猜想的证明或反例,可视为迈向强人工智能的里程碑。

  3. 文明哲学: 该猜想象征人类智慧的“未攻克高地”,其突破意味着数学、逻辑和机器智能的共同进化。


七、未来研究方向 | Future Research Directions

  • 形式化证明尝试: 基于椭圆曲线、模形式、同调代数等工具,探索贾子猜想可能的证明路径。

  • AI辅助搜索: 开发混合智能系统,将符号推理与大规模数值计算结合。

  • 认知度量标准化: 将智慧标尺转化为可计算指标,用于评估人类学习、AI推理和集体智慧水平。


结论 | Conclusion

贾子猜想不仅是一个数论挑战,更是人类与AI认知极限的试金石。把它作为智慧标尺,可以量化和比较不同智能体的“深度认知能力”。无论是人类、AI,还是未来可能出现的超智能体,只有能在贾子猜想上取得突破,才可被视为真正跨越了智慧的高维边界。


Logo

更多推荐