
简介
该用户还未填写简介
擅长的技术栈
可提供的服务
暂无可提供的服务
Spring Expression Language(简称 SpEL)
实际场景中,也需要研究两个变量的关系.检验也可能出现两个以上的总体.

机器学习(Machine Learning, ML)是一个总称,用于解决由各位程序员自己基于 if-else 等规则开发算法而导致成本过高的问题,想要通过帮助机器 「发现」 它们 「自己」 解决问题的算法来解决 ,而不需要程序员将所有规则都输入机器,明确告诉机器该怎么做。

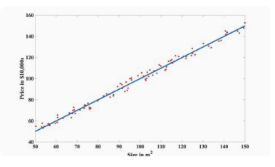
与预测的输出为离散型不同. 在机器学习中,回归任务是用于预测连续数值型变量的任务。回归任务在很多领域都有着广泛的应用.

线性空间定义了空间,这章节来研究空间与空间的关联性。

正则表达式的基本运算正则表达式有三种基本的运算:连接(Concatenation), 例如 abc, 由a, b, c组成联合(Union), 例如 a|b|c, 表示a或者b或者cKleene闭包(Kleene *), 例如 (ab)*, 表示ab串不出现,或者出现1次或一次以上其它的运算如+, {}等都可以用以上三种基本运算或者运算的组合来表示。正则表达式转换成NFA...
从前文《openjdk1.8工程结构》我知道makefile如何编译出我的java命令,同时也告知了程序入口main.cmain.c作用:程序入口位置:openjdk\jdk\src\share\bin\main.c/** Entry point.*///java虚拟机启动入口函数#ifdef JAVAW//window平台入口char **__initenv;...
栈每个线程私有的内存空间由多个栈帧组成,每个栈帧代表一个方法无法满足内存,需求的时候,会报栈溢出异常:StackOverflowError它分为四个部份:局部变量表,操作栈,动态连接,返回地址。局部变量表:局部变量表用于存储方法参数和方法内部定义,最小单位是Slot(虚拟机中没有明确规范该内存空间大小)64位的数据会存放两个Slot对象方法的局部变量表 第0位Slot通常为thi...







