
简介
该用户还未填写简介
擅长的技术栈
可提供的服务
暂无可提供的服务
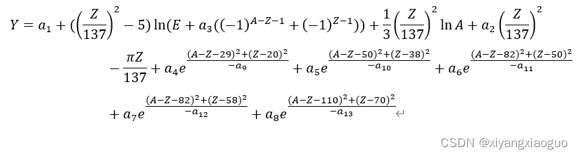
本文介绍了一个具有3个变量,14个参数的复杂多元函数的拟合实现,通过matlab的lsqnonlin方法实现,并分享了一些拟合的技巧心得。中间过程的脚本和数据,以及心得技巧在此分享给有需要的人,共勉链接:https://pan.baidu.com/s/1JO2DFQ5b1AP0GGtFErn19w?pwd=ptty提取码:ptty。

matlab的快速实现img=imread('ces6.bmp');figureimshow(img,[]);title('原始图');%关于img:img图像中进行了二值化,非零值(白色1),零值(黑色0)%其中图像元素为非零值(白色1),图像背景为零值(黑色0)%骨架提取imgo=bwmorph(img,'skel',Inf);figureimshow(imgo,[]);title('骨架')
本文介绍了一个具有3个变量,14个参数的复杂多元函数的拟合实现,通过matlab的lsqnonlin方法实现,并分享了一些拟合的技巧心得。中间过程的脚本和数据,以及心得技巧在此分享给有需要的人,共勉链接:https://pan.baidu.com/s/1JO2DFQ5b1AP0GGtFErn19w?pwd=ptty提取码:ptty。

软件开启界面:包含菜单、快捷、新建图像子窗口文件 已实现功能 :新建、打开、关闭、保存、另存为打开 可以打开jpg, png,txt或者自己添加其他格式的图像(可使用opencv打开图像的功能,或者自己编写打开各种文件的方法)实现了滚动条浏览大图像图像处理 通过添加opencv处理图像的一些功能,比如掩模,转灰度,缩放图像,各种滤波等等,或者自己实现各种功...
(1)rand()产生随机数,输出的随机数序列是确定的,即每次运行结果一致#include <iostream>int main(){int i, j;for (i = 0; i < 10; i++){j =10.0 * rand() /RAND_MAX;std::cout << j << "";}sys...
更改后会发现,当隐藏完所有的子窗体后,所有的按钮被均匀布局在了主窗体,如果想要的效果是按钮从主窗体从上往下紧密排列,可以在layout添加完所有的控件和窗口后,添加一个stretch,即在this->setCentralWidget(contentArea);第一个this->size()输出QSize(640, 480),即MainWindow具有默认的尺寸640*480。对于一个Qt的窗口(继

这里以Qt Creator 4.15.2版本的源码为示例进行分析源码结构如下,为了追溯其插件加载过程,从main.cpp入手Qt Creator的插件目录,生成的插件,好几十个呢。

本文介绍了一个具有3个变量,14个参数的复杂多元函数的拟合实现,通过matlab的lsqnonlin方法实现,并分享了一些拟合的技巧心得。中间过程的脚本和数据,以及心得技巧在此分享给有需要的人,共勉链接:https://pan.baidu.com/s/1JO2DFQ5b1AP0GGtFErn19w?pwd=ptty提取码:ptty。








