
简介
该用户还未填写简介
擅长的技术栈
可提供的服务
暂无可提供的服务
数量技术宅团队在CSDN学院推出了量化投资系列课程欢迎有兴趣系统学习量化投资的同学,点击下方链接报名:量化投资速成营(入门课程)Python股票量化投资Python期货量化投资Python数字货币量化投资C++语言CTP期货交易系统开发数字货币JavaScript语言量化交易系统开发更多精彩内容,欢迎关注公众号:数量技术宅,也可添加技术宅个人微信号:sljsz01,与我交流。引言不论在学术领域还是
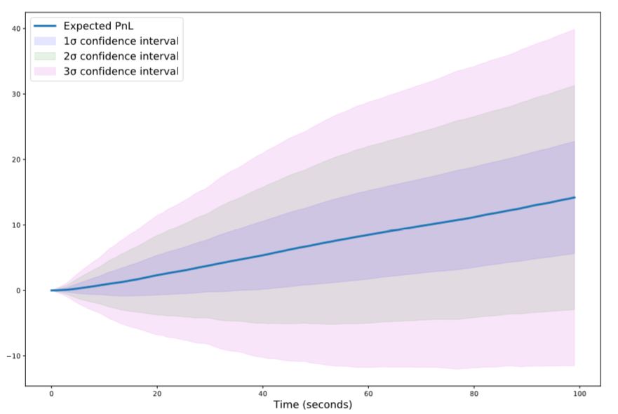
量化投资速成营(入门课程)Python股票量化投资Python期货量化投资Python数字货币量化投资C++语言CTP期货交易系统开发数字货币JavaScript语言量化交易系统开发最优做市 (MM) 是在限价订单簿 (LOB) 的两侧同时下达买订单和卖订单的问题,目的是最大化交易者的最终收益率,同时最小化相关风险。 可以说,其中最突出的是库存风险,它源于交易者(做市商)在其库存中持有的标的资产的

数量技术宅团队在CSDN学院推出了量化投资系列课程欢迎有兴趣系统学习量化投资的同学,点击下方链接报名:量化投资速成营(入门课程)Python股票量化投资Python期货量化投资Python数字货币量化投资C++语言CTP期货交易系统开发数字货币JavaScript语言量化交易系统开发引言我们到底应该怎么学会、灵活使用机器学习的方法?技术宅做过小小的调研,许多同学会选择一本机器学习的书籍,或是一门机
量化投资速成营(入门课程)Python股票量化投资Python期货量化投资Python数字货币量化投资C++语言CTP期货交易系统开发数字货币JavaScript语言量化交易系统开发最优做市 (MM) 是在限价订单簿 (LOB) 的两侧同时下达买订单和卖订单的问题,目的是最大化交易者的最终收益率,同时最小化相关风险。 可以说,其中最突出的是库存风险,它源于交易者(做市商)在其库存中持有的标的资产的

数量技术宅团队在CSDN学院推出了量化投资系列课程欢迎有兴趣系统学习量化投资的同学,点击下方链接报名:量化投资速成营(入门课程)Python股票量化投资Python期货量化投资Python数字货币量化投资C++语言CTP期货交易系统开发数字货币JavaScript语言量化交易系统开发更多精彩内容,欢迎关注公众号:数量技术宅。探讨数据分析、量化投资问题,请加技术宅微信:sljsz01季节性在大宗商品
交易商在证券市场中的作用是通过报价他愿意买卖特定数量资产的买入价和卖出价来提供交易所的流动性。传统上,这一角色由做市商或专业公司担任。近年来,随着纳斯达克Inet等电子交易所的发展,任何愿意在系统中提交限价订单的人都可以有效地扮演交易商的角色。事实上,限价订单簿上高频数据的可用性(参见)确保了公平的竞争环境,各个代理商可以按照他们选择的价格发布限价订单。在本文中,我们研究了这种限价订单簿中买卖订单

数量技术宅团队在CSDN学院推出了量化投资系列课程欢迎有兴趣系统学习量化投资的同学,点击下方链接报名:量化投资速成营(入门课程)Python股票量化投资Python期货量化投资Python数字货币量化投资C++语言CTP期货交易系统开发数字货币JavaScript语言量化交易系统开发微软QLib简介微软亚洲研究院发布了 AI 量化投资开源平台“微矿 Qlib”。Qlib 涵盖了量化投资的全过程,为
数量技术宅团队在CSDN学院推出了量化投资系列课程欢迎有兴趣系统学习量化投资的同学,点击下方链接报名:量化投资速成营(入门课程)Python股票量化投资Python期货量化投资Python数字货币量化投资C++语言CTP期货交易系统开发数字货币JavaScript语言量化交易系统开发更多精彩内容,欢迎关注公众号:数量技术宅。探讨数据分析、量化投资问题,请加技术宅微信:sljsz01(个人号快加满,
数量技术宅团队在CSDN学院推出了量化投资系列课程欢迎有兴趣系统学习量化投资的同学,点击下方链接报名:量化投资速成营(入门课程)Python股票量化投资Python期货量化投资Python数字货币量化投资C++语言CTP期货交易系统开发数字货币JavaScript语言量化交易系统开发本次股指策略分享,技术宅准备了Python版本、TB版本两个版本提供给大家学习。想得到完整策略的同学,欢迎关注公众号
数量技术宅团队在CSDN学院推出了量化投资系列课程欢迎有兴趣系统学习量化投资的同学,点击下方链接报名:量化投资速成营(入门课程)Python股票量化投资Python期货量化投资Python数字货币量化投资C++语言CTP期货交易系统开发数字货币JavaScript语言量化交易系统开发微软QLib简介微软亚洲研究院发布了 AI 量化投资开源平台“微矿 Qlib”。Qlib 涵盖了量化投资的全过程,为







