
简介
该用户还未填写简介
擅长的技术栈
可提供的服务
暂无可提供的服务
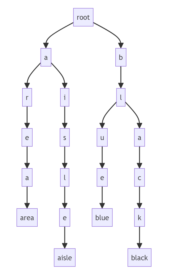
COCA20000 是美国当代语料库中最常见的 20000 个词汇,不过实际上有一些重复,去重之后大概是 17600+ 个,这些单词是很有用,如果能掌握这些单词,相信会对英语的能力有一个较大的提升。我很早就下载了这些单词,并且自己编写了一个背单词的简易工具,如果有需要的同学,可以去看我的博客中搜索。今天这篇博客是利用字典树来堆单词的一个可视化。

因为总是需要使用不同的参数传递方式,所以特地来总结一下SpringBoot中常用的传递参数的方式。SpringBoot参数传递注意:虽然Restful风格很流行,但是大部分还是主要是GET和POST的内容,所以这里只是列举GET和POST请求为例。GET请求方式01.单个键值对参数/*** GET 方式传递参数单个参数* */@GetMapping("/get01")public String g
这里大致的思路是:监听两个端口,一个是端口提供 http 服务(只有一个根路径),一个提供 https 服务(正常的应用服务路径),然后如果有人访问了 http 的根路径,那么将其转发到 https 服务的根路径上即可。因为之前访问过了,浏览器会记住你访问过的网址的,这里的区别在于匹配到网址后,出现了百度的 logo 图标。我并没有输入协议,所以浏览器默认是会访问 http 网站的,但是最终的结果

前言最近在看一些前端的知识,但是只是看了一些标签的用法,真正到了使用的时候,却又写不出来,学习的效率很低,但是我也发现了一个有意思的点,当我在HBuilder中启动项目时,我就可以在浏览器中访问它了——这说明HBuilder本身启动了一个静态web服务器。所以,本着对这个的兴趣,我准备来自己模仿实现一个简单的HBuilder——这里只是实现可以在浏览器中访问这个特性。浏览器实现效果demo的目录结
前言最近,因为需要在前端使用ajax调用后端接口,但是由于ajax是异步方式工作的,所以遇到了一些问题。我本身是一个Java程序员,所以使用Java的同步思维来处理这些问题,就遇到了麻烦。(PS:虽然Java也有异步编程,但是毕竟平时还是使用的同步方法来编程的。)举一个例子:三个ajax函数:fun1()、fun2()、fun3()假设它们是互相依赖的,必须是顺序执行的,即fun1、fun2、fu
元字符是一些在正则表达式里有着特殊含义的字符。英文句号.是一个元字符,它可以匹配任意单个字符。左方括号[也是一个元字符,它标志着一个字符集合的开始。因为元字符有着特殊的含义,所以这些字符就无法用来代表它们本身。...
对文本中特定位置进行匹配.
这个东西网上已经有很多相关的内容了, 我只是对这个过程感兴趣, 所以自己来做了一个. 网上, 大多数纯粹计算的, 对于我这种视觉型的人来说, 还是要看一下比较好. 这里我加入了 matplotlib 绘制散点图 (临时学的简单用法), 把这个过程用图片表示出来. 虽然已经理解了它计算的原理, 但是真的看到自己画出来的图示, 还是感觉满有意思的. 果然一图胜千言, 哈哈.

为了做这个东西,倒是花费了不少时间,学习了几个技术,不过做出来的东西还是感觉很丑。不过逻辑上是没有什么问题了,如果大家感兴趣的话,可以去看看视频演示的效果。

前言:最近写了几篇博客,讲解了几个HTTP首部,感觉自己对于知识的理解还行。现在让我们来了解以下分块传输和持久连接的概念吧。本来,我是不准备写关于持久连接的部分的,因为我都是使用socket模拟的短连接,基本用不上持久连接。但是当我使用分块传输的时候,它有一个特点。因为不适用分块连接的话,默认是有一个Content-Length首部的,但是使用了分块传输的话,就没有这个首部了。这样我的程序就很难终







