
简介
该用户还未填写简介
擅长的技术栈
未填写擅长的技术栈
可提供的服务
暂无可提供的服务
“傻瓜”学计量——随机效应模型
“傻瓜”学计量——面板数据7(随机模型)

“傻瓜”学计量——面板数据1(数据分类)(模型选择?混合vs固定vs随机)
”傻瓜“学计量——面板数据1:数据分类+模型的区别与选择

“傻瓜”学计量——多期双重差分1(是什么 TWFEDD错误原因及模型选用)
“傻瓜”学计量——多期双重差分1(是什么 TWFEDD错误原因及模型选用)

“傻瓜”学计量——面板数据5(混合模型)
“傻瓜”学计量——面板数据5(混合模型)

“傻瓜”学计量——主成分分析法PCA(原理+实操)
“傻瓜”学计量——主成分分析法PCA(原理+实操)

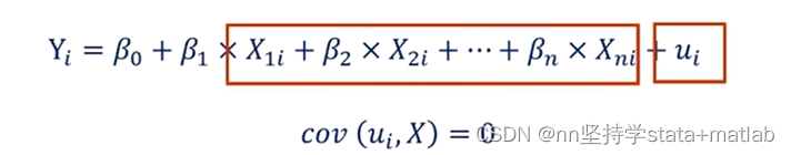
“傻瓜”学计量——内生性
“傻瓜”学计量——内生性

“傻瓜”学计量——双重差分DID 1(解决什么问题+传统DID原理)
“傻瓜”学计量——双重差分DID 1(解决什么问题+传统DID原理)

“傻瓜”学计量——固定效应模型
“傻瓜”学计量——面板数据6(固定效应模型)

国际贸易理论前沿——异质性企业模型
国际贸易理论前沿——异质性企业模型提纲:1是什么2可以用来做什么3未来的发展

“傻瓜”学计量——数据缺失如何解决?(插值法stata指令)
“傻瓜”学计量——线性插值法的stata操作适用于面板数据








