
简介
该用户还未填写简介
擅长的技术栈
可提供的服务
暂无可提供的服务
峰度是反映曲线尖峭程度的指标。峰度一般可表现为三种形态: 标准峰度(正态峰度)、尖顶峰度、 平顶峰度。

当我们在使用WebView时,如果加载的网友比较大,这加载速度将非常慢。现总结几种加速WebView加载的方法1、提高渲染的优先级webView.getSettings().setRenderPriority(RenderPriority.HIGH);2、使用webView.getSettings().setBlockNetworkImage,把图片加载放在最后来加载渲染。参照示例
接上文六、通过JSONObject与JSONArray来解析json我们可以通过JSONObject与JSONArray的getInt,getString,getDouble,getJSONArray,getJSONObject等函数来解析json.以下是一个通过网络取得json文本,然后解析的示例。示例3 public AppGuessResponse getApp
Android手机中如果想以GMT形式(GMT+08:00)得到当前时区,可以参照如下代码所示:public static String getCurrentTimeZone(){TimeZone tz = TimeZone.getDefault();return createGmtOffsetString(true,true,tz.getRawOf
android.app.KeyguardManager类用于对Keyguard进行管理,即对锁屏进行管理Class OverviewClass that can be used to lock and unlock the keyboard. Get an instance of this class by calling getSystemService(java.lang.St
小蓝最近学习了一种神奇的队列: 分布式队列。简单来说,分布式队列包含N 个节点(编号为 0 至N−1,其中 0 号为主节点),其中只有一个主节点,其余为副节点。主/副节点中都各自维护着一个队列,当往分布式队列中添加元素时,都是由主节点完成的(每次都会添加元素到主节点对应的队列的尾部);副节点只负责同步主节点中的队列。可以认为主/副节点中的队列是一个长度无限的一维数组,下标为 0,1,2,3…,同时

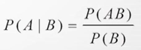
贝叶斯公式也称为贝叶斯法则。尽管它是一个数学公式,但其原理毋需数字也可明了。如果你看到一个人总是做一些好事,则那个人多半会是一个好人。这就是说,当你不能准确知悉一个事物的本质时,你可以依靠与事物特定本质相关的事件出现的多少去判断其本质属性的概率。 用数学语言表达就是:支持某项属性的事件发生得愈多,则该属性成立的可能性就愈大。

1.什么是ContentProvider 数据库在Android当中是私有的,当然这些数据包括文件数据和数据库数据以及一些其他类型的数据。 不能将数据库设为WORLD_READABLE,每个数据库都只能创建它的包访问, 这意味着只有由创建数据库的进程可访问它。如果需要在进程间传递数据, 则可以使用AIDL/Binder或创建一个ContentProvider,但是不能跨越进程/包边
阅读原文隐马尔可夫模型(Hidden Markov model, HMM)是一种结构最简单的动态贝叶斯网的生成模型,它也是一种著名的有向图模型。它是典型的自然语言中处理标注问题的统计机器学模型,本文将重点介绍这种经典的机器学习模型。一、引言假设有三个不同的骰子(6面、4面、8面),每次先从三个骰子里面选择一个,每个骰子选中的概率为1/3,如下图所示,重复上述过程,得到一串数...
阅读原文隐马尔可夫模型(Hidden Markov model, HMM)是一种结构最简单的动态贝叶斯网的生成模型,它也是一种著名的有向图模型。它是典型的自然语言中处理标注问题的统计机器学模型,本文将重点介绍这种经典的机器学习模型。一、引言假设有三个不同的骰子(6面、4面、8面),每次先从三个骰子里面选择一个,每个骰子选中的概率为1/3,如下图所示,重复上述过程,得到一串数...







