
简介
该用户还未填写简介
擅长的技术栈
可提供的服务
暂无可提供的服务
也就是说,我们建立的,包含两个材质的对象是父对象,两个材质需要分别进一步设置,为子对象。比如我们绘制了一个球体,想要表示这是足球,但是没有黑白方块的贴图。除了绘制一个贴图外,我们可以用多维材质直接实现。有的时候,我们想在一个图形中添加两个材质。设置第一个子材质为物理材质,首先点击方框。在多边形层级,修改器可以改变材质的ID。首先打开材质编辑器,选择多维/子对象。也就是多维材质中的第一种、第二种,接

前两篇文章中我们完成了山地和山路的绘制,这里我们将光秃秃的山地种上树。选择AEC扩展对象中的植物,按照个人喜好选择树苗,调整大小。设置重复的数量,也就是分布的数量。在【复合对象】中选择【散布】选择树苗作为【分布对象】

在修改器中设置图形的高度(最开始生成的是平面)并按照需求选择是否需要倒角。

但是在软件中,这就是一整个长方体。在我们将它设置为【可编辑网格】等【可编辑图形】前,都不属于【面】的范畴。3dsMAX的图形认知和我们不同,我们认为这是长方体的一个面,也属于【面】的范围。这里,文字合并之后是一个面片,也就是整个图形唯一的【面】,自然面挤出就是针对文字。当然不止这一个方法啊,比如【挤出】特效等都是可以的。此时,长方体上应当出现文字的轮廓,系统自动完成合并。这里首先绘制了一个长方体(

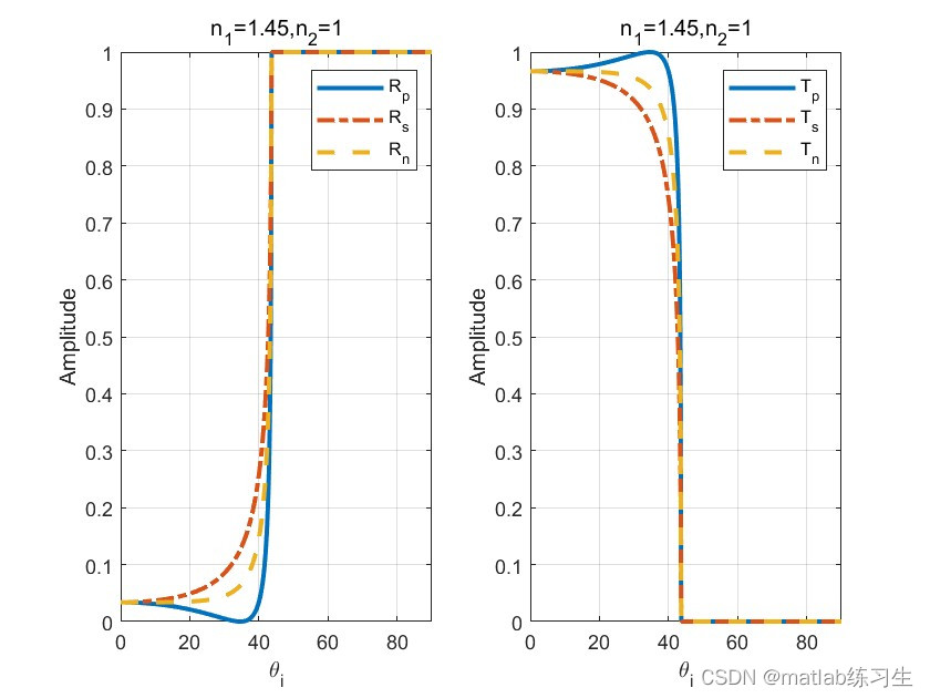
计算不同角度的能流反射率和能流透射率、相位变化。

csvread函数读取文件中的数值,但是只能读取数字,需要汉字会读取失败。这一系列就是科研用的真实程序了,也是对自己的一个备忘录。原数组长度:200000,改变后的长度:200000。1、用整张图的最大值减去整个图,得到吸收谱,归一化。同样是一张图两个y轴,注意这里用了一种新的方法。实验数据,当然是不会放效果图的,自己想象~这里用到了在同一张图中绘制两个y轴的数据。这里从第十三行开始读取,结果是一

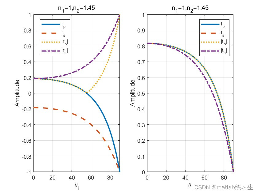
计算振幅反射率、透射率和对应的绝对值

做软件教程啥时候都不能少了切换中文版啊~点击setup 中的preference。在language的下拉窗口中选择,中文。

注意,此时还没有执行光线追迹,探测器上看不到光强。需要跟踪分析光线得到结果。陈列光线条数是图中蓝色光线的数目,分析光线条数是后续计算用到的光线条数。设置观测器的位置,跟随上一个物体的厚度变化,方便改变光纤的长度。匝数(圈数)和长度、曲率半径决定了灯丝光源的形状。参考物体为-1就等同于参考上一个物体。建立一个标准面,设置为抛物面,反射。可以看到基本是均匀分布,去除热点。(位置以第三个物体为参考)

origin自带的字符表(快捷键ctrl+M)也不能满足需求。注意这里的x\y轴都是简单的字母,想换成公式要怎么办呢?需要注意,我这里一开始什么插件都没有安装,网上有很多方法,一开始看的是大佬的介绍。这里放置在x轴中央,用对齐工具。用的是mathtype编辑器。可以拖拉改变大小和位置,这里不细说,总之换个路子。








