
简介
该用户还未填写简介
擅长的技术栈
可提供的服务
暂无可提供的服务
文章首发来源公号:汽车学堂Automooc汽车发展距今一百多年,汽车最初是为了满足代步需求,现在,人们希望通过汽车获得更多例如生活、办公、娱乐等丰富体验。智能座舱俨然已经成为了用户移动的第三生活空间。电动车的兴起后,“软件定义汽车”的概念进入市场,智能座舱与自动还驾驶、智能网联成为被广泛认同的未来发展趋势。未来决定汽车差异的关键将会是软件及软件迭代所带来的性能和功能升级。受限于法律法规和基建发展的

基于模型的设计为工程师们提供了一种通用的开发与测试平台,使具有不同工程背景的工程师之间建立起更好的联系,使开发具有高集成度的复杂系统成为可能。在基于模型的设计方法中,系统工程师首先要建立一个系统模型,即通过数学模型来精确、无歧义地描述用户的需求,创建一个可执行、可跟踪的技术规范。相对于用传统的纸质或电子文档来描述的需求与技术规范,这种方法具有明显的优势,它使得开发团队中的每个成员都能够无歧义地理解
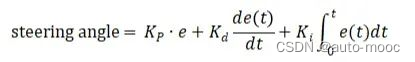
PID及其衍生算法,是目前工业应用最为广泛的算法之一,是当之无愧的万能算法!对于研发人员来讲,熟练掌握了PID算法的设计与实现过程,就足够应对一般的研发问题了。

车道变换行为是日常行车中最常见的驾驶行为之一,车辆换道轨迹的规划是自主车辆能否安全而又高效地完成换道任务的关键,因此对换道轨迹规划的研究逐渐成为自主车辆技术研究的重点。基于几何的轨迹规划通常采用参数化的曲线来描述轨迹,这种方法较为直观、精确,且运算量较小,因此是目前采用的较为广泛的轨迹规划方法。文中根据换道过程中对换道轨迹平稳性和效率性的要求,基于五次多项式轨迹采样提出了一种考虑驾驶风格的换道轨迹

本篇文章介绍一种简单的方法:基于车辆侧向路径位移偏差用PID算法来控制小车的方向盘转角。








