
简介
该用户还未填写简介
擅长的技术栈
未填写擅长的技术栈
可提供的服务
暂无可提供的服务
综述:超图神经网络 A Survey on Hypergraph Neural Networks: An In-Depth and Step-By-Step Guide
高阶交互(Higher-order Interactions, HOIs)在现实世界的复杂系统及应用中普遍存在。因此,针对高阶交互的深度学习研究已成为数据挖掘和机器学习领域的重要议题。由于高阶交互网络可通过超图进行数学表达,超图神经网络(Hypergraph Neural Networks, HNNs)已成为超图上表示学习的有力工具。鉴于这一新兴趋势,本文首次推出专门聚焦超图神经网络的综述,提供深

综述:深度学习中的图时间序列建模
时间序列被定义为由数据值组成的序列,这些数据值要么通过对连续空间采样获得,要么在离散空间中记录得到。我们令。

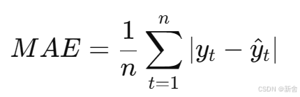
误差评估指标整理--MAE、RMSE、MASE、MAPE、SMAPE、OWA、RMSLE
其中,yt是真实值;yt是预测值;n是样本数量。

到底了







